搜索
      上传资料 赚现金
      点击图片退出全屏预览

      人教版数学(2025秋)七年级上册 4.2.2 去括号 课件

      • 175.92 KB
      • 2026-01-20 08:59:53
      • 33
      • 1
      • 花之舞
      加入资料篮
      立即下载
      17276269第1页
      点击全屏预览
      1/17
      17276269第2页
      点击全屏预览
      2/17
      17276269第3页
      点击全屏预览
      3/17
      17276269第4页
      点击全屏预览
      4/17
      17276269第5页
      点击全屏预览
      5/17
      17276269第6页
      点击全屏预览
      6/17
      17276269第7页
      点击全屏预览
      7/17
      17276269第8页
      点击全屏预览
      8/17
      还剩9页未读, 继续阅读

      人教版(2024)七年级上册(2024)整式的加减示范课ppt课件

      展开

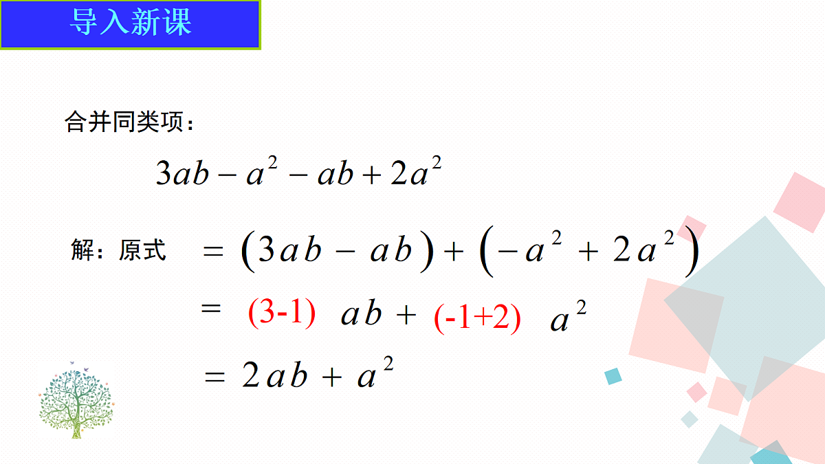
      这是一份人教版(2024)七年级上册(2024)整式的加减示范课ppt课件,共17页。PPT课件主要包含了导入新课,合并同类项,探究新知,-73y-4,x+16,-9x-12,-49y+35,x+3×8,-3x+24,-12-8x等内容,欢迎下载使用。
      1.能运用运算律探究去括号法则.(重点)2.会利用去括号法则将整式化简.(难点)3.进一步掌握合并同类项。
      利用乘法分配律计算:你有几种方法?
      用类似方法计算下列各式:
      (1)2(x+8)=(2)-3(3x+4)=(3)-7(7y-5)=
      (1)3(x+8)=3x+8
      (2)-3(x-8)=-3x-24
      (4)-2(6-x)=-12+2x
      (3)4(-3-2x)=-12+8x
      错因:分配律,漏乘3.
      错因:括号前面是负数,去掉负号和括号后每一项都变号.
      错因:括号前面是正数,去掉正号和括号后每一项都不变号.
      如果括号外的因数是 ,去括号后原括号内各项的符号与原来的符号 ;
      如果括号外的因数是 ,去括号后原括号内各项的符号与原来的符号 ;
      +(x-3)与 -(x-3)的区别?
      +(x-3)与-(x-3)可以分别看作1与-1分别乘(x-3).利用分配律,可以将式子中的括号去掉,得 +(x-3)=x-3, -(x-3)=-x+3
      注意:准确理解去括号的规律,去括号时括号内的每一项的符号都要考虑,做到要变都变,要不变,则都不变;另外,括号内原有几项去掉括号后仍有几项.
      例1 化简下列各式:
      (1)8a+2b+(5a-b);(2)(5a-3b)-3(a2-2b);
      解:(1)原式=8a+2b+5a-b =13a+b;
      (2)原式=(5a-3b)-(3a2-6b) =5a-3b-3a2+6b =-3a2+5a+3b;
      1.当括号前面有数字因数时,可应用乘法分配律将这个数字因数乘以括号内的每一项,切勿漏乘.2.当含有多重括号时,可以由内向外逐层去括号,也可以由外向内逐层去括号.每去掉一层括号,若有同类项可随时合并,这样可使下一步运算简化,减少差错.
      例5 两船从同一港口出发反向而行,甲船顺水,乙船逆水,两船在静水中速度都是50千米/时,水流速度是a千米/时.
      问: (1)2小时后两船相距多远? (2)2小时后甲船比乙船多航行多少千米?
      解:顺水速度=船速+水速=(50+a)km/h,逆水速度=船速-水速=(50-a)km/h. (1) 2小时后两船相距(单位:km) 2(50+a)+2(50-a)=100+2a+100-2a=200. (2)2小时后甲船比乙船多航行(单位:km) 2(50+a)-2(50-a)=100+2a-100+2a=4a.
      1.下列去括号中,正确的是( )
      2.不改变代数式的值,把代数式 括号前的“-”号变成“+”号,结果应是( )
      3.已知a-b=-3,c+d=2,则(b+c)-(a-d)的值为( ) A.1 B.5 C.-5 D.-1
      4.化简下列各式:(1)8m+2n+(5m-n); (2)(5p-3q)-3(   ).
      5.先化简,再求值:2(a+8a2+1-3a3)-3(-a+7a2-2a3),其中a=-2.
      解:原式= -5a2+5a+2.
      a=-2时,原式=-8.
      (1)去括号时要将括号前的符号和括号一起去掉;
      (2)去括号时首先弄清括号前是“+”还是“-”;
      (3)去括号时当括号前有数字因数应用乘法分配律, 切勿漏乘.

      相关课件

      人教版(2024)七年级上册(2024)整式的加减示范课ppt课件:

      这是一份人教版(2024)七年级上册(2024)整式的加减示范课ppt课件,共17页。PPT课件主要包含了导入新课,合并同类项,探究新知,-73y-4,x+16,-9x-12,-49y+35,x+3×8,-3x+24,-12-8x等内容,欢迎下载使用。

      初中数学人教版(2024)七年级上册(2024)整式的加减图片课件ppt:

      这是一份初中数学人教版(2024)七年级上册(2024)整式的加减图片课件ppt,共19页。PPT课件主要包含了问题1计算,解法1,解法2,b-015,需要先去括号等内容,欢迎下载使用。

      人教版(2024)七年级上册(2024)整式的加减优秀ppt课件:

      这是一份人教版(2024)七年级上册(2024)整式的加减优秀ppt课件,共31页。

      资料下载及使用帮助
      版权申诉
      • 1.电子资料成功下载后不支持退换,如发现资料有内容错误问题请联系客服,如若属实,我们会补偿您的损失
      • 2.压缩包下载后请先用软件解压,再使用对应软件打开;软件版本较低时请及时更新
      • 3.资料下载成功后可在60天以内免费重复下载
      版权申诉
      若您为此资料的原创作者,认为该资料内容侵犯了您的知识产权,请扫码添加我们的相关工作人员,我们尽可能的保护您的合法权益。
      入驻教习网,可获得资源免费推广曝光,还可获得多重现金奖励,申请 精品资源制作, 工作室入驻。
      版权申诉二维码
      初中数学人教版(2024)七年级上册(2024)电子课本 新教材

      4.2 整式的加减

      版本: 人教版(2024)

      年级: 七年级上册(2024)

      切换课文
      • 同课精品
      • 所属专辑53份
      • 课件
      • 教案
      • 试卷
      • 学案
      • 更多
      欢迎来到教习网
      • 900万优选资源,让备课更轻松
      • 600万优选试题,支持自由组卷
      • 高质量可编辑,日均更新2000+
      • 百万教师选择,专业更值得信赖
      微信扫码注册
      手机号注册
      手机号码

      手机号格式错误

      手机验证码 获取验证码 获取验证码

      手机验证码已经成功发送,5分钟内有效

      设置密码

      6-20个字符,数字、字母或符号

      注册即视为同意教习网「注册协议」sky星空娱乐
      QQ注册
      手机号注册
      微信注册

      注册成功

      返回
      顶部
      添加客服微信 获取1对1服务
      微信扫描添加客服
      Baidu
      map