搜索
      上传资料 赚现金
      点击图片退出全屏预览

      第四章整式的加减 单元测试 2025-2026学年人教版数学七年级上册(含答案)

      • 109.29 KB
      • 2025-12-16 15:02:40
      • 78
      • 1
      • 教习网会员12666
      加入资料篮
      立即下载
      第四章整式的加减 单元测试 2025-2026学年人教版数学七年级上册(含答案)第1页
      点击全屏预览
      1/8
      第四章整式的加减 单元测试 2025-2026学年人教版数学七年级上册(含答案)第2页
      点击全屏预览
      2/8
      第四章整式的加减 单元测试 2025-2026学年人教版数学七年级上册(含答案)第3页
      点击全屏预览
      3/8
      还剩5页未读, 继续阅读

      第四章整式的加减 单元测试 2025-2026学年人教版数学七年级上册(含答案)

      展开

      这是一份第四章整式的加减 单元测试 2025-2026学年人教版数学七年级上册(含答案),共8页。
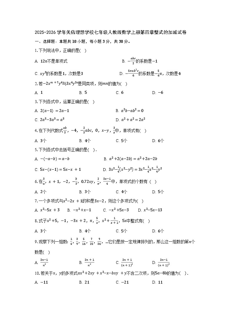
      2025-2026学年关店理想学校七年级人教版数学上册第四章整式的加减试卷 一、选择题:本题共10小题,每小题3分,共30分。 1.下列说法中,正确的是(    ) A. 12π不是单项式 B. −abc2的系数是−1 C. xy3的系数是1,次数是3 D. −5πab2c6的系数是−56π,次数是4 2.若−2xm+7y4与3x4y2n是同类项,则mn的值为(    ) A. 1 B. 5 C. 6 D. −6 3.下列各式中,运算正确的是(    ) A. 2(a−1)=2a−1 B. a2b−ab2=0 C. 2a3−3a3=a3 D. a2+a2=2a2 4.在下列代数式ab3,−4,−23abc,0,x−y,3x中,单项式有(    ) A. 3个 B. 4个 C. 5个 D. 6个 5.下列各式中去括号正确的是(    ). A. −−a−b=a−b B. a2+2a−2b=a2+2a−2b C. 5x−x−1=5x−x+1 D. 3x2−14x2−y2=3x2−14x2−14y2 6.在3a,x+1,−2,−b3,0.72xy,2π,3x−14中,单项式的个数有  (    ) A. 2个 B. 3个 C. 4个 D. 5个 7.一个多项式与x2−2x+1的和是3x−2,则这个多项式为(    ) A. x2−5x+3 B. −x2+x−1 C. −x2+5x−3 D. x2−5x−13 8.式子x2+5,−1,−3x+2,π,5x,x2+1x+1,5x中整式有(    ) A. 3个 B. 4个 C. 5个 D. 6个 9.观察下列一组数:14,39,516,725,936,…它们是按一定规律排列的,那么这一组数的第n个数是(    ) A. 2n−1n2 B. 2n+1n2 C. 2n+1(n+1)2 D. 2n−1(n+1)2 10.若关于x,y的多项式ax2+2xy+x2−x−bxy+y不含二次项,则5a−8b的值为(    ). A. −11 B. 21 C. −21 D. 11 二、填空题:本题共5小题,每小题3分,共15分。 11.【开放性问题】请写出一个含字母m,n的单项式,使它的系数为−2,次数为3:          . 12.已知(m−4)xy|m|是关于x,y的五次单项式,则m的值是          . 13.定义运算“△”:对于两个有理数a,b,有a△b=ab−a+b,例如:3△2=3×2−3+2=6−5=1,则−1△m+1=           . 14.按一定规律排列的单项式:−14a2,18a3,−116a4,132a5,−164a6,…,第100个单项式是          . 15.一列火车原有(6a−2b)人,中途有一半人下车,又有若干人上车,现在车上有(10a−5b)人,则上车的人数是          人. 三、解答题:本题共8小题,共75分。 16.(12分)化简: (1)3x+(4−2x)−(x−1); (2)7m−5n+2(n+3)−3(m+2). (3) 2x−(5x−2y)+3(2x−y). (4) −(x2−2x−3)−2(−x2+x+1). 17.(7分)先化简,再求值:12x−2x−13y2+−32x+13y2,其中x=−2,y=23. 18.(8分)已知a,b,c在数轴上的位置如图所示,且|a| < > 【小题2】 原式=a+c−(a−b)−(c−b)=a+c−a+b−c+b=2b. 19.【答案】【小题1】 解:阴影部分的面积为ab−12πb2. 【小题2】 ab−12πb2中的项为ab,−12πb2,次数为2,这是一个二次二项式.   20.【答案】【小题1】 解:4A−(3A−2B) =4A−3A+2B =A+2B =2a2+3ab−2a−1+2(−a2+ab−1) =2a2+3ab−2a−1−2a2+2ab−2 =5ab−2a−3, 当a=−1,b=15时, 原式=5×(−1)×15−2×(−1)−3=−2; 【小题2】 解:A+2B =2a2+3ab−2a−1+2(−a2+ab−1) =2a2+3ab−2a−1−2a2+2ab−2 =5ab−2a−3 =(5b−2)a−3, 因为A+2B的值与a的取值无关, 所以5b−2=0, 所以b=25.  21.【答案】【小题1】 解:(1)证明:因为343=100×3+10×4+3,100和10都能被5整除,3不能被5整除, 所以100×3+10×4+3不能被5整除, 即343不能被5整除; (2)因为abcd=1000a+100b+10c+d, 1000,100和10都能被5整除, 所以当d能被5整除时,1000a+100b+10c+d能被5整除, 所以只有d等于5或0时,四位数abcd才能被5整除; 【小题2】 【迁移】证明: ∵abcd=1000a+100b+10c+d =(999+1)a+(99+1)b+(9+1)c+d =(999a+99b+9c)+(a+b+c+d) =3(333a+33b+3c)+(a+b+c+d), 因为3(333a+33b+3c)能被3整除, 所以当a+b+c+d能被3整除时,abcd能被3整除.  22.【答案】【小题1】 n+3 n+2 【小题2】 y=(n+3)(n+2) 【小题3】 506 【小题4】 1184元. 23.【答案】【小题1】 十字框中的5个数的和是中间数24的5倍. 【小题2】 5x. 【小题3】 当5x=2005时,解得x=401,中间数不可能是奇数,所以十字框中的5个数的和不可能是2005; 当5x=1000时,解得x=200,此时十字框中的5个数分别为184,198,200,202,216; 当5x=2000时,解得x=400,此时400在数表的最后一列,所以十字框中的5个数的和不可能是2000.  

      资料下载及使用帮助
      版权申诉
      • 1.电子资料成功下载后不支持退换,如发现资料有内容错误问题请联系客服,如若属实,我们会补偿您的损失
      • 2.压缩包下载后请先用软件解压,再使用对应软件打开;软件版本较低时请及时更新
      • 3.资料下载成功后可在60天以内免费重复下载
      版权申诉
      若您为此资料的原创作者,认为该资料内容侵犯了您的知识产权,请扫码添加我们的相关工作人员,我们尽可能的保护您的合法权益。
      入驻教习网,可获得资源免费推广曝光,还可获得多重现金奖励,申请 精品资源制作, 工作室入驻。
      版权申诉二维码
      初中数学人教版(2024)七年级上册(2024)电子课本 新教材

      小结

      版本: 人教版(2024)

      年级: 七年级上册(2024)

      切换课文
      • 同课精品
      • 所属专辑65份
      • 课件
      • 教案
      • 试卷
      • 学案
      • 更多
      欢迎来到教习网
      • 900万优选资源,让备课更轻松
      • 600万优选试题,支持自由组卷
      • 高质量可编辑,日均更新2000+
      • 百万教师选择,专业更值得信赖
      微信扫码注册
      手机号注册
      手机号码

      手机号格式错误

      手机验证码 获取验证码 获取验证码

      手机验证码已经成功发送,5分钟内有效

      设置密码

      6-20个字符,数字、字母或符号

      注册即视为同意教习网「注册协议」sky星空娱乐
      QQ注册
      手机号注册
      微信注册

      注册成功

      返回
      顶部
      添加客服微信 获取1对1服务
      微信扫描添加客服
      Baidu
      map