搜索
      上传资料 赚现金
      点击图片退出全屏预览

      湘教版(2024)数学七年级上册 1.4.2有理数的减法(同步课件}

      • 590.93 KB
      • 2025-07-19 16:35:18
      • 35
      • 0
      • 教习网用户1640150
      加入资料篮
      立即下载
      湘教版(2024)数学七年级上册 1.4.2有理数的减法(同步课件}第1页
      点击全屏预览
      1/21
      湘教版(2024)数学七年级上册 1.4.2有理数的减法(同步课件}第2页
      点击全屏预览
      2/21
      湘教版(2024)数学七年级上册 1.4.2有理数的减法(同步课件}第3页
      点击全屏预览
      3/21
      湘教版(2024)数学七年级上册 1.4.2有理数的减法(同步课件}第4页
      点击全屏预览
      4/21
      湘教版(2024)数学七年级上册 1.4.2有理数的减法(同步课件}第5页
      点击全屏预览
      5/21
      湘教版(2024)数学七年级上册 1.4.2有理数的减法(同步课件}第6页
      点击全屏预览
      6/21
      湘教版(2024)数学七年级上册 1.4.2有理数的减法(同步课件}第7页
      点击全屏预览
      7/21
      湘教版(2024)数学七年级上册 1.4.2有理数的减法(同步课件}第8页
      点击全屏预览
      8/21
      还剩13页未读, 继续阅读

      湘教版(2024)有理数的加法和减法背景图课件ppt

      展开

      这是一份湘教版(2024)有理数的加法和减法背景图课件ppt,共21页。PPT课件主要包含了做一做,-1--9,--2=5+2,有理数减法法则,减号变加号,减数变其相反数,被减数不变,归纳总结,减法计算过程演示,你学会了吗等内容,欢迎下载使用。
      1.理解、掌握有理数的减法法则,会将有理数的减法运算转化为加法运算.(重点、难点)2.通过把有理数的减法运算转化为加法运算,渗透转化思想,培养运算能力.
      阅读教材P23-P24。用5分钟的时间看谁又快又好地解决以下问题:1、完成P23的做一做,掌握有理数的减法法则2、看P23议一议,进一步理解有理数的减法法则,有理数减法运算与加法运算的联系?3、看P24例5和例6,运用有理数减法法则进行计算以及解决实际问题,并掌握做题格式与步骤。
      1、 某天北京市的最高气温是-1℃,最低气温是-9℃,这天北京市的气温日较差(最高气温-最低气温)是多少?
      从图中的温度计可以看出:-1℃比-9℃高8 ℃,因此 (-1)-(-9)=8。而(-1)+9=8 .
      可列式为 -1-(-9)
      所以-1-(-9)=-1+9. 
      (1)12-6=6,12+(-6)= 6 ; 
      (2)5-(-2)=7,5+2= 7 ; 
      (3)-3-(-9)=6,-3+9= 6 . 
      【思考】通过比较各组算式的结果,你发现什么?:
      12-6=12+(-6)
      -3-(-9)=-3+9
      减法运算可以转化为加法运算,那怎样转化的呢?
      减去一个数,等于加上这个数的相反数.
      表达式为: a - b = a + (-b)
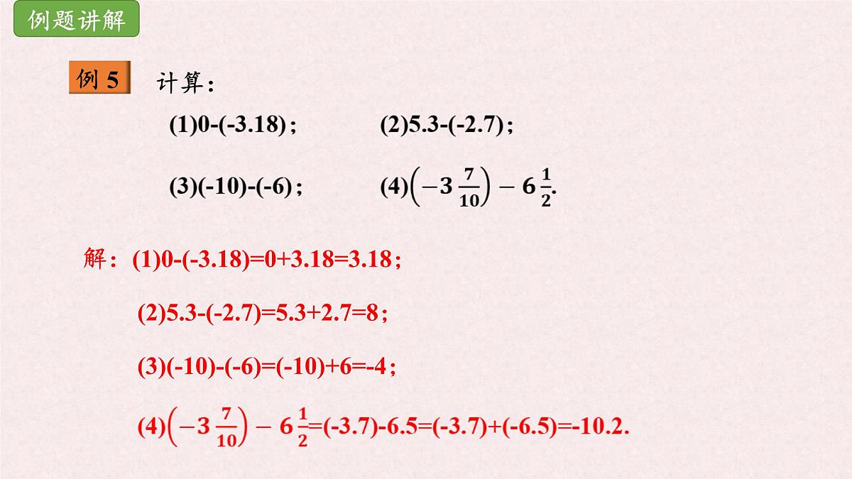
      解:(1)0-(-3.18)=0+3.18=3.18;
      (2)5.3-(-2.7)=5.3+2.7=8;
      (3)(-10)-(-6)=(-10)+6=-4;
      月球表面的温度在白昼可升到127℃,在黑夜可降到-183℃。月球表面温度昼夜相差多少?
      解:127-(-183) =127+183 =310(℃)答:月球表面温度昼夜相差310℃.
      议一议:在运用有理数的减法解决实际问题的过程中,通常需要经历 哪些步骤?
      有理数减法在实际应用中的四个步骤:1.审:审清题意;
      2.列:列出正确的算式;
      3.算:按照减法运算法则,进行正确的计算;
      4.答:写出实际问题的答案.
      1.填空:(1)(-2)-(-3)=(-2)+( );(2) 0 - (-4)= 0 +( );(3)(-6)- 3 =(-6)+( );(4) 1-(+39)= 1 +( ).
      2.下面哪个式子可以用来验证小明的计算3-(-1)=4是否正确?( B )
      3.下面等式正确的是( )A.a-b=(-a)+ b B.a-(-b)=(-a)+(-b) C.(-a)-(-b)=(-a)+(-b) D.a-(-b)=a+b
      总结:1.任何数减零仍得原数; 2.零减去一个数等于这个数的相反数.
      (1)0 –8= (2)(-5 )– 0= (3)30 – 0 = (4)0 – (–15) =
      5.判断并说明理由(1)在有理数的加法中,两数的和一定比加数大( )(2)两个数相减,被减数一定比减数大( )(3)两数之差一定小于被减数( )(4)0减去任何数,差都为负数( )(5)较大的数减去较小的数,差一定是正数( )
      6.冰箱冷冻室的温度为-6 ℃,此时房屋内的温度为20 ℃,则房屋内的温度比冰箱冷冻室的温度高( )A.26 ℃ B.14 ℃ C.-26 ℃ D.-14 ℃7.某粮店出售的三种品牌的面粉袋上分别标有质量为(25±0.1)kg、(25±0.2)kg、(25±0.3)kg的字样,从中任意拿出两袋,它们的质量最多相差( )A.0.8 kg B.0.6 kg C.0.5 kg D.0.4 kg
      (1) 7-(-4); (2) (-3)-(-5);(3)( -3)-0; (4)0-(-7).
      (1) 7-(-4)=7+(+4)=11;
      (2)(-3)-(-5)=-3+(+5)=2;
      (3) (-3)-0=-3+0=-3;
      (4) 0-(-7)=0+(+7)=7.
      (1) 2.53-(-2.47)=2.53+(+2.47)=5;
      (2)(-1.7)-(-2.5)=-1.7+(+2.5)=0.8;
      3、在标准大气压下,酒精凝固的温度约-117℃,水银凝固的温度约-39℃。酒精凝固的温度比水银凝固的温度低多少?
      解:-39-(-117) =-39+117 =78(℃)答:酒精凝固的温度比水银凝固的温度低78℃.
      1.以地面为基准,A处高+2.5 m,B处高-17.8 m,C处高-32.4 m.问:(1)A处比B处高多少?(2)B处和C处哪个地方高?高多少?(3)A处和C处哪个地方低?低多少?
      解:(1)(+2.5)-(-17.8)=2.5+17.8=20.3(m).(2)B处高,(-17.8)-(-32.4)=-17.8+32.4=14.6(m).(3)C处低,(+2.5)-(-32.4)=2.5+32.4=34.9(m).
      2、已知|a|=3,|b|=2且a<b,求a-b的值.
      解:∵|a|=3,|b|=2,∴a=±3,b=±2,∵a<b,∴a=-3,b=±2,∴a-b=-3-2=-5,或a-b=-3-(-2)=-3+2=-1.综上所述,a-b的值为-5或-1.

      相关课件

      湘教版(2024)有理数的加法和减法背景图课件ppt:

      这是一份湘教版(2024)有理数的加法和减法背景图课件ppt,共21页。PPT课件主要包含了做一做,-1--9,--2=5+2,有理数减法法则,减号变加号,减数变其相反数,被减数不变,归纳总结,减法计算过程演示,你学会了吗等内容,欢迎下载使用。

      数学七年级上册(2024)有理数的加法和减法教课ppt课件:

      这是一份数学七年级上册(2024)有理数的加法和减法教课ppt课件,共15页。PPT课件主要包含了学习目标,新课导入,做一做,被减数不变,议一议,例题讲解,补充练习等内容,欢迎下载使用。

      初中数学湘教版(2024)七年级上册(2024)有理数的加法和减法课文内容课件ppt:

      这是一份初中数学湘教版(2024)七年级上册(2024)有理数的加法和减法课文内容课件ppt,共23页。PPT课件主要包含了减数变相反数,减号变加号,有理数减法法则,变成相反数,转化的思想等内容,欢迎下载使用。

      资料下载及使用帮助
      版权申诉
      • 1.电子资料成功下载后不支持退换,如发现资料有内容错误问题请联系客服,如若属实,我们会补偿您的损失
      • 2.压缩包下载后请先用软件解压,再使用对应软件打开;软件版本较低时请及时更新
      • 3.资料下载成功后可在60天以内免费重复下载
      版权申诉
      若您为此资料的原创作者,认为该资料内容侵犯了您的知识产权,请扫码添加我们的相关工作人员,我们尽可能的保护您的合法权益。
      入驻教习网,可获得资源免费推广曝光,还可获得多重现金奖励,申请 精品资源制作, 工作室入驻。
      版权申诉二维码
      初中数学湘教版(2024)七年级上册(2024)电子课本 新教材

      1.4 有理数的加法和减法

      版本: 湘教版(2024)

      年级: 七年级上册(2024)

      切换课文
      欢迎来到教习网
      • 900万优选资源,让备课更轻松
      • 600万优选试题,支持自由组卷
      • 高质量可编辑,日均更新2000+
      • 百万教师选择,专业更值得信赖
      微信扫码注册
      手机号注册
      手机号码

      手机号格式错误

      手机验证码 获取验证码 获取验证码

      手机验证码已经成功发送,5分钟内有效

      设置密码

      6-20个字符,数字、字母或符号

      注册即视为同意教习网「注册协议」sky星空娱乐
      QQ注册
      手机号注册
      微信注册

      注册成功

      返回
      顶部
      添加客服微信 获取1对1服务
      微信扫描添加客服
      Baidu
      map