数学2 指数幂的运算性质备课课件ppt
展开必备知识·情境导学探新知
指数幂的运算性质有哪些?
指数幂的运算性质已知a>0,b>0,α∈R,β∈R,1.aα·aβ=_____;2.(aα)β=____;3.(ab)α=_______.
关键能力·合作探究释疑难
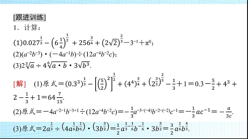
反思领悟 在进行幂和根式的化简时,一般先将根式化成幂的形式,并化小数指数幂为分数指数幂,再利用幂的运算性质进行化简.
[母题探究]在本例条件不变的情况下,则a2-a-2=________.
反思领悟 条件求值的步骤
学习效果·课堂评估夯基础
高中北师大版 (2019)2 指数幂的运算性质背景图课件ppt: 这是一份高中北师大版 (2019)2 指数幂的运算性质背景图课件ppt,共41页。PPT课件主要包含了目录索引,探究点四条件求值,本节要点归纳等内容,欢迎下载使用。
高中数学北师大版 (2019)必修 第一册2 指数幂的运算性质说课课件ppt: 这是一份高中数学北师大版 (2019)必修 第一册2 指数幂的运算性质说课课件ppt,共43页。
高中数学北师大版 (2019)必修 第一册1 指数幂的拓展精品课件ppt: 这是一份高中数学北师大版 (2019)必修 第一册1 指数幂的拓展精品课件ppt,文件包含北师大版高中数学必修第一册31指数幂的拓展2指数幂的运算性质课件pptx、北师大版高中数学必修第一册31指数幂的拓展2指数幂的运算性质同步练习含答案docx等2份课件配套教学资源,其中PPT共25页, 欢迎下载使用。

