还剩7页未读,
继续阅读
所属成套资源:全套北师大版高中数学必修第一册课时教学课件
成套系列资料,整套一键下载
北师大版高中数学必修第一册第3章章末综合提升课件
展开
这是一份北师大版高中数学必修第一册第3章章末综合提升课件,共13页。
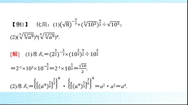
章末综合提升第三章 指数运算与指数函数巩固层·知识整合提升层·题型探究类型1 指数的运算指数运算应遵循的原则指数式的运算首先注意化简顺序,一般负指数先转化成正指数,根式化为分数指数幂运算,其次若出现分式则要注意分子、分母因式分解,以达到约分的目的. 类型2 函数图象及其应用指数函数图象是研究指数函数性质的工具,所以要能熟练画出指数函数图象,并会进行平移、伸缩、对称、翻折等变换.√ A B C D √ 类型3 指数函数的性质及应用角度1 比较大小1.当需要比较大小的两个实数均是指数幂时,可将其看成某个指数函数或幂函数的函数值,然后利用该函数的单调性比较.2.比较多个数的大小时,先利用“0”和“1”作为分界点,即把它们分为“小于0”“大于等于0小于等于1”“大于1”三部分,再在各部分内利用函数的性质比较大小. √ 角度2 函数性质综合应用1.关于指数型函数y=a f(x)(a>0,且a≠1)的单调性由两点决定,一是底数a>1还是0
章末综合提升第三章 指数运算与指数函数巩固层·知识整合提升层·题型探究类型1 指数的运算指数运算应遵循的原则指数式的运算首先注意化简顺序,一般负指数先转化成正指数,根式化为分数指数幂运算,其次若出现分式则要注意分子、分母因式分解,以达到约分的目的. 类型2 函数图象及其应用指数函数图象是研究指数函数性质的工具,所以要能熟练画出指数函数图象,并会进行平移、伸缩、对称、翻折等变换.√ A B C D √ 类型3 指数函数的性质及应用角度1 比较大小1.当需要比较大小的两个实数均是指数幂时,可将其看成某个指数函数或幂函数的函数值,然后利用该函数的单调性比较.2.比较多个数的大小时,先利用“0”和“1”作为分界点,即把它们分为“小于0”“大于等于0小于等于1”“大于1”三部分,再在各部分内利用函数的性质比较大小. √ 角度2 函数性质综合应用1.关于指数型函数y=a f(x)(a>0,且a≠1)的单调性由两点决定,一是底数a>1还是0
相关资料
更多

