







数学八年级上册第十五章 分式15.2 分式的运算15.2.1 分式的乘除教学课件ppt
展开(1)分式乘除法混合运算应统一为_______运算,然后利用分式的______法则进行计算,其中要注意先确定运算结果的符号;(2)分式的乘方与乘除混合运算时,先乘方,再乘除,同级运算按____________的顺序依次进行;(3)分式乘除法混合运算能约分的要先约分,运算结果必须是_______分式.
思路点拨:运用分式的乘方法则,把分子、分母分别乘方.负数的偶(奇)次方,结果为正(负);当分子或分母是多项式时,要给多项式加上括号,作为一个整体再乘方.
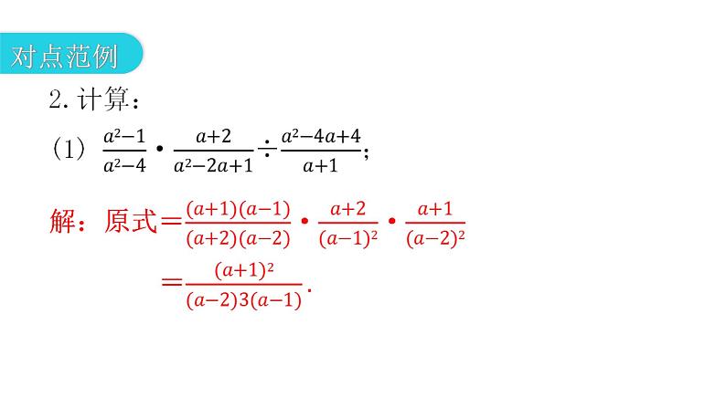
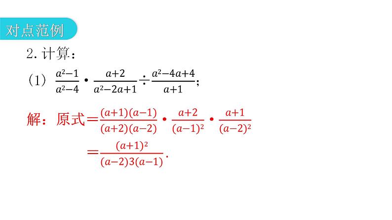
思路点拨:分式的乘除混合运算要利用分式的乘法法则和除法法则,先确定运算结果的符号,有多项式的要进行因式分解,然后按从左往右的顺序依次进行运算.
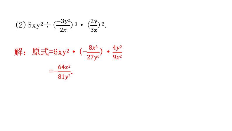
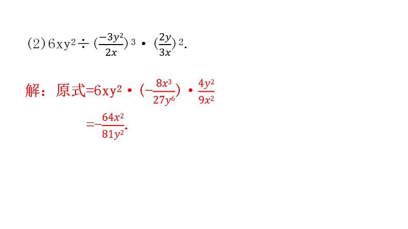
思路点拨:分式的乘方与乘除混合运算时,先乘方,再乘除,同级运算顺序是从左往右.
思路点拨:正确运用分式的乘除混合运算法则进行化简,注意运算顺序;选择合适的x值时,要考虑到分式有意义的条件.
人教版八年级上册15.2.1 分式的乘除习题课件ppt: 这是一份人教版八年级上册15.2.1 分式的乘除习题课件ppt,共23页。
初中《分式的乘除》试讲课PPT课件: 这是一份初中《分式的乘除》试讲课PPT课件,共26页。PPT课件主要包含了小试牛刀,情境,合作学习,你很了不起!你做对了吗?正确!你真棒,你比我想像的还要棒等内容,欢迎下载使用。
数学人教版15.2.1 分式的乘除教课ppt课件: 这是一份数学人教版15.2.1 分式的乘除教课ppt课件,共12页。PPT课件主要包含了回顾与思考,也可交叉约分,例1计算,例题讲解,试一试计算,试一试等内容,欢迎下载使用。