







所属成套资源:全套人教版八年级数学上册课时教学课件
人教版八年级上册15.2.2 分式的加减教学ppt课件
展开
这是一份人教版八年级上册15.2.2 分式的加减教学ppt课件,共24页。PPT课件主要包含了知识重点,对点范例,典型例题,举一反三,从左到右,有意义等内容,欢迎下载使用。
分式的混合运算法则:(1)式与数有相同的混合运算顺序:先_______,再______,然后_______.如果有括号,先算括号里面的;(2)同级运算应按____________的顺序依次进行;(3)在运算过程中,可灵活运用交换律、结合律、分配律,注意最后结果必须是最简分式或整式.
(1)解决分式化简求值问题时,关键是利用分式的运算法则进行化简;(2)化简过程中可以按运算顺序进行,也可以适当运用运算律简化计算;(3)在取字母的值代入计算时,要注意所取字母的值要使所有分式_________.
思路点拨:根据分式的加减乘除混合运算,先算乘方,再算乘除,然后算加减.
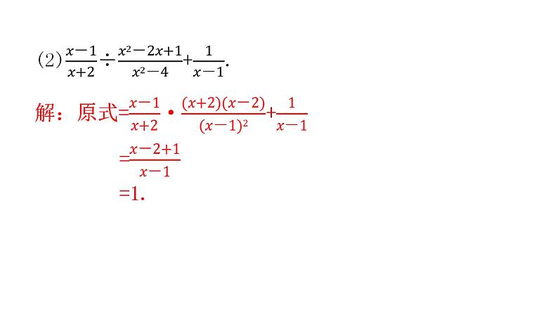
思路点拨:根据分式的加减乘除混合运算法则,先算括号里面的,再把除法转化为乘法计算.
思路点拨:正确运用分式的加减乘除混合运算法则进行化简,注意运算顺序;选择合适的x值时,要考虑到分式有意义的条件.
思路点拨:根据数字的变化规律等知识点求出的结果得出规律是解此题的关键.
相关课件
这是一份初中数学人教版八年级上册15.2.2 分式的加减优秀课件ppt
这是一份人教版八年级上册第十五章 分式15.2 分式的运算15.2.2 分式的加减完整版ppt课件,共20页。PPT课件主要包含了学习目标1分钟,自学指导一3分钟,自学检测一3分钟,解原式,自学指导二1分钟,自学检测二6分钟,点拨运用二2分钟,课堂小结2分钟,分式的加减法法则,当堂训练15分钟等内容,欢迎下载使用。
这是一份数学八年级上册15.2.2 分式的加减授课ppt课件,共25页。PPT课件主要包含了复习引入,分式的运算法则,分式的混合运算顺序,要点归纳,例1计算,解原式,典例精析,做一做,例2计算,用两种方法计算等内容,欢迎下载使用。
