所属成套资源:苏教版数学必修第一册PPT课件+导学案+试卷全套
苏教版 (2019)必修 第一册第3章 不等式3.2 基本不等式教课课件ppt
展开
这是一份苏教版 (2019)必修 第一册第3章 不等式3.2 基本不等式教课课件ppt,文件包含苏教版高中数学必修第一册第3章32322基本不等式的应用课件ppt、苏教版高中数学必修第一册第3章32322基本不等式的应用学案doc、苏教版高中数学必修第一册课后素养落实11基本不等式的应用含答案doc等3份课件配套教学资源,其中PPT共51页, 欢迎下载使用。
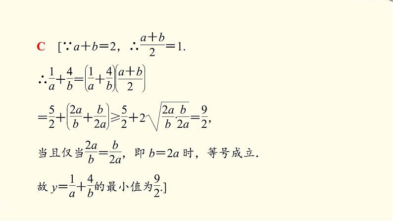
类型1 利用基本不等式变形求最值
类型2 利用基本不等式求参数取值范围
类型3 利用基本不等式解决实际问题
相关课件
这是一份高中数学湘教版(2019)必修 第一册2.1 相等关系与不等关系教课内容ppt课件,文件包含湘教版高中数学必修第一册第2章21213基本不等式的应用课件ppt、湘教版高中数学必修第一册第2章21213基本不等式的应用学案doc、湘教版高中数学必修第一册课后素养落实13基本不等式的应用含答案doc等3份课件配套教学资源,其中PPT共45页, 欢迎下载使用。
这是一份苏教版 (2019)必修 第一册6.1 幂函数课文ppt课件,文件包含苏教版高中数学必修第一册第6章61幂函数课件ppt、苏教版高中数学必修第一册第6章61幂函数学案doc、苏教版高中数学必修第一册课后素养落实24幂函数含答案doc等3份课件配套教学资源,其中PPT共44页, 欢迎下载使用。
这是一份苏教版 (2019)必修 第一册2.1 命题、定理、定义课文配套ppt课件,文件包含苏教版高中数学必修第一册第2章21命题定理定义课件ppt、苏教版高中数学必修第一册第2章21命题定理定义学案doc、苏教版高中数学必修第一册课后素养落实6命题定理定义含答案doc等3份课件配套教学资源,其中PPT共43页, 欢迎下载使用。

