2020-2021学年3.3 从函数观点看一元二次方程和一元二次不等式课文内容课件ppt
展开3.3.2 从函数观点看一元二次不等式
第1课时 一元二次不等式及其解法
学 习 任 务 | 核 心 素 养 |
1.掌握一元二次不等式的解法.(重点) 2.能根据“三个二次”之间的关系解决简单问题.(难点) | 通过一元二次不等式的学习,培养数学运算素养. |
2022年,冬季奥运会将在中国举行,跳台滑雪是其中最具有观赏性的项目之一,一位跳台滑雪运动员在90 m级跳台滑雪时,想使自己的飞行距离超过68 m.他若以自身体重从起滑台起滑,经助滑道于台端飞起时的初速度最快为110 km/h.那么他能实现自己的目标吗?
知识点1 一元二次不等式的概念
只含有一个未知数,并且未知数的最高次数是2的整式不等式,叫作一元二次不等式.
1.不等式x2-y2>0是一元二次不等式吗?
[提示] 此不等式含有两个变量,根据一元二次不等式的定义,可知不是一元二次不等式.
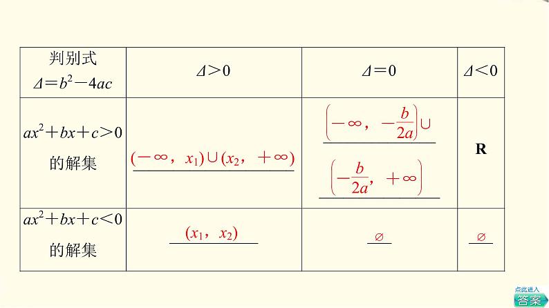
知识点2 三个“二次”的关系
设二次函数y=ax2+bx+c(a>0),一元二次方程ax2+bx+c=0.
判别式 Δ=b2-4ac | Δ>0 | Δ=0 | Δ<0 |
方程 ax2+bx+c=0的根 | 有两个相异的实数根 x1,x2(x1<x2) | 有两个相等的实数根 x1=x2=- | 没有实数根 |
二次函数 y=ax2+bx+c 的图象 | |||
ax2+bx+c>0 的解集 | (-∞,x1)∪(x2,+∞) | ∪ | R |
ax2+bx+c<0 的解集 | (x1,x2) | ∅ | ∅ |
2.若一元二次不等式ax2+x+1>0的解集为R,则实数a应满足什么条件?
[提示] 结合二次函数图象可知,若一元二次不等式ax2+x+1>0的解集为R,则解得a>,所以a∈使不等式ax2+x+1>0的解集为R.
思考辨析(正确的画√,错误的画×)
(1)mx2-5x<0是一元二次不等式.( )
(2)若a>0,则一元二次不等式ax2+1>0无解.( )
(3)x=1是一元二次不等式x2-2x+1≥0的解.( )
(4)x2->0为一元二次不等式.( )
[提示] (1)× 当m=0时,是一元一次不等式;
当m≠0时,它是一元二次不等式.
(2)× 因为a>0,所以不等式ax2+1>0恒成立,即原不等式的解集为R.
(3)√ 因为x=1能使不等式x2-2x+1≥0成立.故该说法正确.
(4)× 因为一元二次不等式是整式不等式,而不等式中含有,故该说法错误.
[答案] (1)× (2)× (3)√ (4)×
类型1 一元二次不等式的解法
【例1】 解下列不等式.
(1)x2-5x>6;
(2)4x2-4x+1≤0;
(3)-x2+7x>6;
(4)-2x2+3x-2<0.
[解] (1)由x2-5x>6得x2-5x-6>0,方程x2-5x-6=0的解为x1=-1,x2=6.根据y=x2-5x-6的图象.可得原不等式的解集为.
(2)方程4x2-4x+1=0有两个相同的解x1=x2=.
根据y=4x2-4x+1的图象可得原不等式的解集为.
(3)不等式两边同乘以-1,得x2-7x+6<0.
方程x2-7x+6=0的解为x1=6,x2=1.
根据y=x2-7x+6的图象,可得原不等式的解集为.
(4)不等式两边同乘以-1,得2x2-3x+2>0,因为Δ<0,
所以方程2x2-3x+2=0无实数解.
根据y=2x2-3x+2的图象,可得原不等式的解集为R.
解不含参数的一元二次不等式的一般步骤
(1)化标准.通过对不等式的变形,使不等式右侧为0,使二次项系数为正.
(2)判别式.对不等式左侧因式分解,若不易分解,则计算对应方程的判别式.
(3)求实根.求出相应的一元二次方程的根或根据判别式说明方程有无实根.
(4)画草图.根据一元二次方程根的情况画出对应的二次函数的草图.
(5)写解集.根据图象写出不等式的解集.
[跟进训练]
1.解下列不等式.
(1)x2-4x+4>0;
(2)-x2+2x-3<0;
(3)2x2+7x+3>0.
[解] (1)方程x2-4x+4=0有两个相同的解x1=x2=2,
根据y=x2-4x+4的图象,可得原不等式的解集为{x|x≠2}.
(2)不等式两边同乘以-1,得x2-2x+3>0,
方程x2-2x+3=0中Δ<0,所以方程x2-2x+3=0无解.
根据y=x2-2x+3的图象,可得原不等式的解集为R.
(3)方程2x2+7x+3=0的解x1=-3,x2=-,根据y=2x2+7x+3的图象,可得原不等式的解集为.
类型2 含参数的一元二次不等式的解法
【例2】 解关于x的不等式ax2-(a+1)x+1<0.
[思路点拨] ①对于二次项的系数a是否分a=0,a<0,a>0三类进行讨论?②当a≠0时,是否还要比较两根的大小?
[解] 当a=0时,原不等式可化为x>1.
当a≠0时,原不等式可化为(ax-1)(x-1)<0.
当a<0时,不等式可化为(x-1)>0,
∵<1,
∴x<或x>1.
当a>0时,原不等式可化为(x-1)<0.
若<1,即a>1,则<x<1;
若=1,即a=1,则x∈∅;
若>1,即0<a<1,则1<x<.
综上所述,当a<0时,原不等式的解集为;
当a=0时,原不等式的解集为{x|x>1};
当0<a<1时,原不等式的解集为;
当a=1时,原不等式的解集为∅;
当a>1时,原不等式的解集为.
解含参数的一元二次不等式的一般步骤
提醒:对参数分类讨论的每一种情况是相互独立的一元二次不等式的解集,不能合并.
[跟进训练]
2.解关于x的不等式ax2-(2a+1)x+2<0(a>0).
[解] 不等式ax2-(2a+1)x+2<0可化为(ax-1)·(x-2)<0.
由于a>0,故不等式可化为(x-2)<0.
(1)若0<a<,则>2,此时不等式的解集为.
(2)若a=,则不等式为(x-2)2<0,此时不等式的解集为∅.
(3)若a>,则<2,此时不等式的解集为.
综上可知,
当0<a<时,不等式的解集为;
当a=时,不等式的解集为∅;
当a>时,不等式的解集为.
类型3 三个“二次”的关系
【例3】 已知关于x的不等式ax2+bx+c>0的解集为{x|2<x<3},求关于x的不等式cx2+bx+a<0的解集.
[解] 法一:由不等式ax2+bx+c>0的解集为{x|2<x<3}可知,a<0,且2和3是方程ax2+bx+c=0的两根,由根与系数的关系可知=-5,=6.由a<0知c<0,=,故不等式cx2+bx+a<0,即x2+x+>0,即x2-x+>0,解得x<或x>,所以不等式cx2+bx+a<0的解集为.
法二:由不等式ax2+bx+c>0的解集为{x|2<x<3}可知,a<0,且2和3是方程ax2+bx+c=0的两根,所以ax2+bx+c=a(x-2)(x-3)=ax2-5ax+6a⇒b=-5a,c=6a,故不等式cx2+bx+a<0,即6ax2-5ax+a<0⇒6a<0,故原不等式的解集为.
1.(变结论)本例中的条件不变,求关于x的不等式cx2-bx+a>0的解集.
[解] 由根与系数的关系知=-5,=6且a<0.
∴c<0,=-,故不等式cx2-bx+a>0,
即x2-x+<0,即x2+x+<0.
解得.
2.(变条件)若将本例中的条件“关于x的不等式ax2+bx+c>0的解集为{x|2<x<3}”变为“关于x的不等式ax2+bx+c≥0的解集是”.求不等式cx2+bx+a<0的解集.
[解] 法一:由ax2+bx+c≥0的解集为知a<0.
又×2=<0,则c>0.
又-,2为方程ax2+bx+c=0的两个根,
∴-=,∴=-.
又=-,∴b=-a,c=-a,
∴不等式变为x2+x+a<0,
即2ax2+5ax-3a>0.
又∵a<0,∴2x2+5x-3<0,
所求不等式的解集为.
法二:由已知得a<0 且+2=-,×2=知c>0,
设方程cx2+bx+a=0的两根分别为x1,x2,
则x1+x2=-,x1·x2=,
其中==-,
-===-,
∴x1=-3,x2=.∴不等式cx2+bx+a<0的解集为.
已知以a,b,c为参数的不等式(如ax2+bx+c>0)的解集,求解其他不等式的解集时,一般遵循:
(1)根据解集来判断二次项系数的符号;
(2)根据根与系数的关系把b,c用a表示出来并代入所要解的不等式;
(3)约去 a, 将不等式化为具体的一元二次不等式求解.
[跟进训练]
3.若不等式ax2+bx+c>0的解集为{x|-3<x<4}.求不等式bx2+2ax-c-3b<0的解集.
[解] 因为不等式ax2+bx+c>0的解集为{x|-3<x<4}.
所以a<0,且-3,4是方程ax2+bx+c=0的两根.
由根与系数的关系得∴
所以不等式bx2+2ax-c-3b<0可化为
-ax2+2ax+15a<0,由-a>0得x2-2x-15<0.
令x2-2x-15=0得x1=-3,x2=5.由函数y=x2-2x-15的图象知原不等式的解为{x|-3<x<5}.
1.不等式x2≤1的解集为( )
A.{x|x≥1或x≤-1} B.∅
C.{x|-1≤x≤1} D.R
C [方程x2-1=0的解为x1=-1,x2=1.根据y=x2-1的图象知不等式的解集为{x|-1≤x≤1}.]
2.不等式3+5x-2x2≤0的解集为( )
A. B.
C. D.R
C [3+5x-2x2≤0⇒2x2-5x-3≥0⇒(x-3)(2x+1)≥0⇒x≥3或x≤-.]
3.不等式(x-1)2<x+5的解集为________.
{x|-1<x<4} [不等式(x-1)2<x+5可化为x2-3x-4<0即(x-4)(x+1)<0,解得-1<x<4,所以不等式的解集为{x|-1<x<4}.]
4.设a<-1,则关于x的不等式a(x-a)<0的解集为________.
[因为a<-1,所以a(x-a)·<0⇔(x-a)·>0.又a<-1,所以>a,所以x>或x<a.]
5.已知关于x的不等式ax2+bx+c<0的解集是,则ax2-bx+c>0的解集为________.
[由题意知-2,-是方程ax2+bx+c=0的两个根且a<0,
故解得a=c,b=a.
所以不等式ax2-bx+c>0,即为2x2-5x+2<0,
解得<x<2,即不等式ax2-bx+c>0的解集为.]
回顾本节知识,自我完成以下问题.
1.你是怎样解一元二次不等式的?
[提示] (1)图象法.步骤:①化标准形式②解方程③结合图象求解.
(2)代数法.借助因式分解或配方法求解.当m<n时,
(x-m)(x-n)>0可得{x|x>n或x<m}.若(x-m)(x-n)<0可得{x|m<x<n}.口诀:大于取两边,小于取中间.
2.解含参不等式要注意哪些问题?具体步骤是什么?
[提示] 正确分类不重不漏.
步骤:(1)讨论二次项系数a>0,a<0,a=0;
(2)讨论对应方程的根;
(3)讨论根的大小.
苏教版 (2019)必修 第一册5.1 函数的概念和图象教课内容课件ppt: 这是一份苏教版 (2019)必修 第一册5.1 函数的概念和图象教课内容课件ppt,文件包含苏教版高中数学必修第一册第5章51第1课时函数的概念课件ppt、苏教版高中数学必修第一册第5章51第1课时函数的概念学案doc、苏教版高中数学必修第一册课后素养落实18函数的概念含答案doc等3份课件配套教学资源,其中PPT共52页, 欢迎下载使用。
高中苏教版 (2019)3.3 从函数观点看一元二次方程和一元二次不等式集体备课ppt课件: 这是一份高中苏教版 (2019)3.3 从函数观点看一元二次方程和一元二次不等式集体备课ppt课件,文件包含苏教版高中数学必修第一册第3章33332第2课时一元二次不等式的应用课件ppt、苏教版高中数学必修第一册第3章33332第2课时一元二次不等式的应用学案doc、苏教版高中数学必修第一册课后素养落实14一元二次不等式的应用含答案doc等3份课件配套教学资源,其中PPT共44页, 欢迎下载使用。
苏教版 (2019)必修 第一册1.2 子集、全集、补集课前预习课件ppt: 这是一份苏教版 (2019)必修 第一册1.2 子集、全集、补集课前预习课件ppt,文件包含苏教版高中数学必修第一册第1章12第2课时全集补集课件ppt、苏教版高中数学必修第一册第1章12第2课时全集补集学案doc、苏教版高中数学必修第一册课后素养落实4全集补集含答案doc等3份课件配套教学资源,其中PPT共34页, 欢迎下载使用。

