【最新版】高中数学(新苏教版)习题+同步课件午练23 正弦、余弦、正切函数的图象与性质
展开午练23 正弦、余弦、正切函数的图象与性质
1.函数f(x)=xsin x的图象大致是( )
答案 A
解析 ∵f(x)=xsin x,x∈R,∴f(-x)=-x·sin(-x)=f(x),∴f(x)为偶函数,排除B,C;显然x=2kπ(k∈Z)时,f(x)=0,故排除D,故选A.
2.下列函数中,最小正周期为π的函数的个数为( )
①y=|sin 2x|;②y=cos;③y=cos 2x;④y=esin(2x-)
A.0 B.1
C.2 D.3
答案 C
解析 由题意③④最小正周期为π,②最小正周期=4π,①最小正周期×=,故选C.
3.函数y=2sin(ω>0)的周期为π,则其单调递增区间为( )
A.(k∈Z)
B.(k∈Z)
C.(k∈Z)
D.(k∈Z)
答案 C
解析 由题意=π,∴ω=2,∴y=2sin.令2kπ-≤2x+≤2kπ+,k∈Z,则kπ-≤x≤kπ+,k∈Z.
故所求单调递增区间为 (k∈Z).
4.函数f(x)=-2sin2x+2cos x的最大值和最小值分别是( )
A.2,-2 B.2,-
C.2,- D.,-2
答案 B
解析 f(x)=-2sin2x+2cos x=-2(1-cos2x)+2cos x=2cos2x+2cos x-2.
令t=cos x∈[-1,1],
∴y=2t2+2t-2
=2-(-1≤t≤1),
显然当t=-时,ymin=-,
当t=1时,ymax=2.
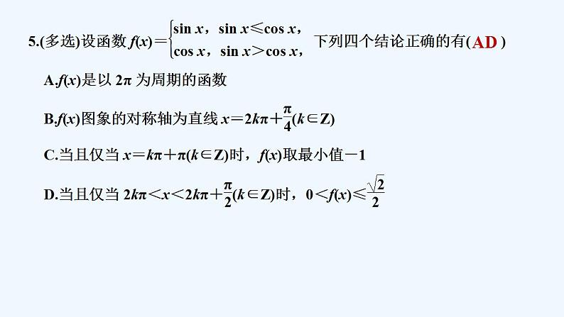
5.(多选)设函数f(x)=下列四个结论正确的有( )
A.f(x)是以2π为周期的函数
B.f(x)图象的对称轴为直线x=2kπ+(k∈Z)
C.当且仅当x=kπ+π(k∈Z)时,f(x)取最小值-1
D.当且仅当2kπ<x<2kπ+(k∈Z)时,0<f(x)≤
答案 AD
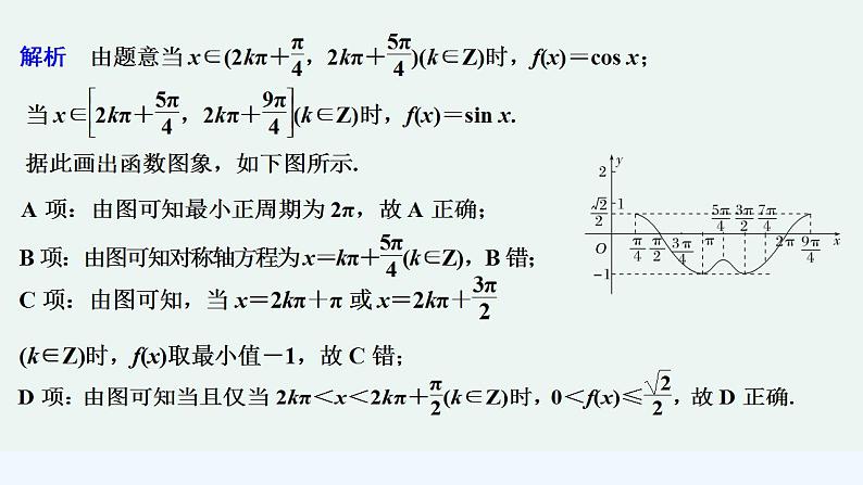
解析 由题意当x∈(2kπ+,2kπ+)(k∈Z)时,f(x)=cos x;
当x∈(k∈Z)时,f(x)=sin x.
据此画出函数图象,如下图所示.
A项:由图可知最小正周期为2π,故A正确;
B项:由图可知对称轴方程为x=kπ+(k∈Z),B错;
C项:由图可知,当x=2kπ+π或x=2kπ+(k∈Z)时,f(x)取最小值-1,故C错;
D项:由图可知当且仅当2kπ<x<2kπ+(k∈Z)时,0<f(x)≤,故D正确.
6.设函数f(x)=tan(ωx+φ)(ω>0,0<φ<).已知函数y=f(x)的图象与x轴相邻两个交点的距离为,且图象关于点M对称,则f(x)的单调递增区间为________.
答案 (k∈Z)
解析 由题意f(x)最小正周期T=,∴ω=2,∴f(x)=tan(2x+φ),
又图象关于点M对称,
∴2·+φ=,k∈Z,又0<φ<,
∴φ=,∴f(x)=tan.
令kπ-<2x+<kπ+,k∈Z,
得-+π<x<+π,k∈Z.
故函数f(x)的单调递增区间为(k∈Z).
7.函数y=2cos在上的最大值为________,最小值为________.
答案 2 -
解析 令t=2x+.∵-≤x≤,∴-≤2x+=t≤,∴-≤cos t≤1,
∴-≤2cos t≤2,即-≤y≤2.
8.已知x∈,则不等式tan x≥1的解集为________.
答案
解析 ∵x∈,tan x≥1,∴≤x<.
9.设函数f(x)=的最大值为M,最小值为m,则M+m=________.
答案 2
解析 f(x)=
==1+.
令g(x)=,则g(x)为奇函数,
∴g(x)的最大值与最小值的和为0,
又g(x)=f(x)-1,
∴M-1+m-1=0,∴M+m=2.
10.函数f(x)=3sin的部分图象如图所示.
(1)写出f(x)的最小正周期及图中x0,y0的值;
(2)求f(x)在区间上的最大值和最小值.
解 (1)f(x)的最小正周期为π,x0=,y0=3.
(2)因为x∈,
所以2x+∈.
于是,当2x+=0,即x=-时,f(x)取得最大值0;
当2x+=-,即x=-时,f(x)取得最小值-3.
【最新版】高中数学(新苏教版)习题+同步课件午练7 双曲线: 这是一份【最新版】高中数学(新苏教版)习题+同步课件午练7 双曲线,文件包含午练7双曲线pptx、午练7双曲线doc等2份课件配套教学资源,其中PPT共13页, 欢迎下载使用。
【最新版】高中数学(新苏教版)习题+同步课件午练6 椭圆: 这是一份【最新版】高中数学(新苏教版)习题+同步课件午练6 椭圆,文件包含午练6椭圆pptx、午练6椭圆doc等2份课件配套教学资源,其中PPT共16页, 欢迎下载使用。
【最新版】高中数学(新苏教版)习题+同步课件午练4 圆的方程: 这是一份【最新版】高中数学(新苏教版)习题+同步课件午练4 圆的方程,文件包含午练4圆的方程pptx、午练4圆的方程doc等2份课件配套教学资源,其中PPT共13页, 欢迎下载使用。

