所属成套资源:新苏教版数学必修第一册课件PPT+教案+同步训练题全册
苏教版 (2019)必修 第一册第1章 集合1.3 交集、并集习题课件ppt
展开
这是一份苏教版 (2019)必修 第一册第1章 集合1.3 交集、并集习题课件ppt,文件包含午练3交集并集pptx、午练3交集并集doc等2份课件配套教学资源,其中PPT共12页, 欢迎下载使用。
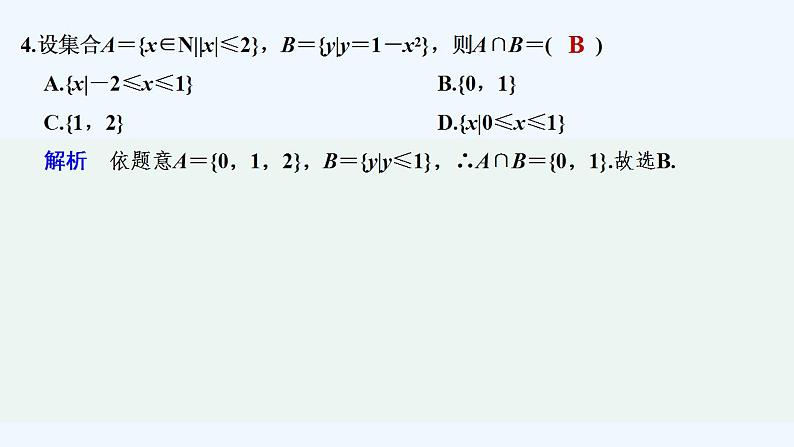
午练3 交集、并集1.已知集合A={x|x2-x+1=0}.若A∩R=∅,则实数m的取值范围为( )A.{m|0≤m≤4} B.{m|m<4}C.{m|0<m<4} D.{m|0≤m<4}答案 D解析 ∵A∩R=∅,∴A=∅,∴关于x的方程x2-x+1=0无实根,即Δ=m-4<0,又m≥0,∴0≤m<4.2.设A,B是非空集合,定义A★B={x|x∈(A∪B)且x∉(A∩B)}.已知A={x|0≤x≤3},B={x|x≥1},则A★B=( )A.{x|1≤x<3}B.{x|1≤x≤3}C.{x|0≤x<1或x>3}D.{x|0≤x≤1或x≥3}答案 C解析 由题意A∪B={x|x≥0},A∩B={x|1≤x≤3},则A★B={x|0≤x<1或x>3}.故选C.3.已知全集U=R,集合M=,N={x|x=2k,k∈Z},则在如下Venn图中阴影部分所表示的集合的元素共有( )A.1个 B.2个C.3个 D.无穷个答案 C解析 由图知阴影部分表示M∩N,由于符合条件-<x<5且为偶数的x为0,2,4,故M∩N={0,2,4}.故选C.4.设集合A={x∈N||x|≤2},B={y|y=1-x2},则A∩B=( )A.{x|-2≤x≤1} B.{0,1}C.{1,2} D.{x|0≤x≤1}答案 B解析 依题意A={0,1,2},B={y|y≤1},∴A∩B={0,1}.故选B.5.(多选)已知非空集合A,B满足以下两个条件:①A∪B={1,2,3,4,5,6},A∩B=∅;②A的元素个数不是A中的元素,B的元素个数不是B中的元素,则有序集合对(A,B)的个数不可能为( )A.10 B.12 C.14 D.16答案 BCD解析 ①当集合A中只有1个元素时,集合B中有5个元素,则1∉A且5∉B,此时A={5},B={1,2,3,4,6};②当集合A中有2个元素时,集合B中有4个元素,则2∉A且4∉B,此时集合A中必有一个元素为4,集合B中必有一个元素为2,所以A={1,4},B={2,3,5,6}或A={3,4},B={1,2,5,6}或A={4,5},B={1,2,3,6}或A={4,6},B={1,2,3,5},共4种可能;③易知集合A中不可能有3个元素;④当集合A中有4个元素时,集合B中有2个元素,此情况与情况②相同,只需A,B互换,共4种可能;⑤当集合A中有5个元素时,集合B中只有1个元素,此情况与情况①相同,只需A,B互换,共1种可能.综上,有序集合对(A,B)的个数为10.故选BCD.6.对于集合M,N,定义M-N={x|x∈M且x∉N},M⊕N=(M-N)∪(N-M).设A={y|y=|x|,x∈R},B={y|y=-(x-1)2+2,x∈R},则A⊕B=________.答案 {y|y<0或y>2}解析 由题意得A={y|y≥0},B={y|y≤2},故A-B={y|y>2},B-A={y|y<0},所以A⊕B={y|y<0或y>2}.7.已知集合A={x|x2-8x+15=0},B={x|x2-ax-b=0},a,b为实数.若A∪B={2,3,5},A∩B={3},则a=________,b=________.答案 5 -6解析 因为A={3,5},A∪B={2,3,5},A∩B={3},所以3∈B,2∈B,所以2,3是关于x的方程x2-ax-b=0的两个实数根,所以a=2+3,-b=2×3,即a=5,b=-6.8.已知集合A={x|x<1或x>5},B={x|a≤x≤b}且A∪B=R,A∩B={x|5<x≤6},则2a-b=________.答案 -4解析 由题意,结合数轴知B={x|1≤x≤6},∴a=1,b=6,∴2a-b=2×1-6=-4.9.已知集合A={x|2a+1≤x≤3a-5},B={x|x<-1或x>16}.若A⊆(A∩B),则实数a的取值范围为________.答案 解析 ∵A⊆(A∩B),(A∩B)⊆A,∴A=A∩B,∴A⊆B.显然A=∅满足,此时2a+1>3a-5,∴a<6;若A≠∅,则①或②由①知,a∈∅;由②知,a>;综上a>或a<6.10.已知集合A={x|x2+2x-3=0},B={x|x2+2(a+1)x+a2-3=0}.如果A∩B=B,求实数a的取值范围.解 由A∩B=B,知B⊆A.A={x|x2+2x-3=0}={-3,1}.对于方程x2+2(a+1)x+a2-3=0,当Δ=8a+16<0,即a<-2时,B=∅,满足B⊆A;当Δ=8a+16=0,即a=-2时,B={1},满足B⊆A;当Δ=8a+16>0,即a>-2时,B中有两个元素,且B⊆A,所以B={-3,1},此时可得a=0,符合题意.综上,可知实数a的取值范围是{a|a≤-2或a=0}.
相关课件
这是一份【最新版】高中数学(新苏教版)习题+同步课件午练7 双曲线,文件包含午练7双曲线pptx、午练7双曲线doc等2份课件配套教学资源,其中PPT共13页, 欢迎下载使用。
这是一份【最新版】高中数学(新苏教版)习题+同步课件午练6 椭圆,文件包含午练6椭圆pptx、午练6椭圆doc等2份课件配套教学资源,其中PPT共16页, 欢迎下载使用。
这是一份【最新版】高中数学(新苏教版)习题+同步课件午练4 圆的方程,文件包含午练4圆的方程pptx、午练4圆的方程doc等2份课件配套教学资源,其中PPT共13页, 欢迎下载使用。

