苏教版 (2019)必修 第一册第6章 幂函数、指数函数和对数函数6.1 幂函数习题课件ppt
展开午练17 幂函数
1.已知函数f(x)=(a2-a-1)x为幂函数,则实数a的值为( )
A.2 B.-2
C.-1 D.1
答案 C
解析 由题意a2-a-1=1,∴a=2或a=-1,又a-2≠0,∴a≠2.∴a=-1.
2.幂函数y=x2,y=x-1,y=x,y=x-在第一象限内的图象依次是图中的曲线( )
A.C1,C2,C3,C4 B.C1,C4,C3,C2
C.C3,C2,C1,C4 D.C1,C4,C2,C3
答案 D
解析 由于在第一象限直线x=1的右侧,幂函数y=xα的图象从上到下相应指数α由大到小即“指大图高”,故幂函数y=x2在第一象限的图象为C1,y=x-1在第一象限的图象为C4,y=x在第一象限的图象为C2,y=x-在第一象限的图象为C3.
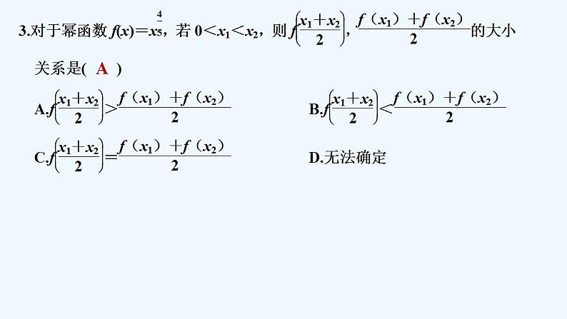
3.对于幂函数f(x)=x,若0<x1<x2,则f,的大小关系是( )
A.f>
B.f<
C.f=
D.无法确定
答案 A
解析 幂函数f(x)=x在(0,+∞)上单调递增,大致图象如图所示.
设A(x1,0),C(x2,0),其中0<x1<x2,则AC的中点E的坐标为,AB=f(x1),CD=f(x2),EF=f.
∵EF>(AB+CD),
∴f>,故选A.
4.给出下面四个条件:①f(m+n)=f(m)+f(n);②f(m+n)=f(m)·f(n);③f(mn)=f(m)·f(n);④f(mn)=f(m)+f(n).如果m,n是幂函数y=f(x)定义域内的任意两个值,那么幂函数y=f(x)一定满足的条件的序号为( )
A.①② B.①③
C.③ D.④
答案 C
解析 设f(x)=xα,则f(m+n)=(m+n)α,f(m)+f(n)=mα+nα,f(m)·f(n)=ma·nα=(mn)α,f(mn)=(mn)α,所以f(mn)=f(m)·f(n)一定成立,其他三个不一定成立,故选C.
5.(多选)已知幂函数f(x)=x(m,n∈N*,m,n互质),下列关于f(x)的结论正确的是( )
A.m,n是奇数时,幂函数f(x)是奇函数
B.m是偶数,n是奇数时,幂函数f(x)是偶函数
C.m是奇数,n是偶数时,幂函数f(x)是偶函数
D.0<<1时,幂函数f(x)在(0,+∞)上是减函数
答案 AB
解析 f(x)=x=,当m,n是奇数时,幂函数f(x)是奇函数,故A中的结论正确;当m是偶数,n是奇数,幂函数f(x)是偶函数,故B中的结论正确;当m是奇数,n是偶数时,幂函数f(x)在x<0时无意义,故C中的结论错误;0<<1时,幂函数f(x)在(0,+∞)上是增函数,故D中的结论错误;故选AB.
6.若幂函数f(x)=x3m-5(m∈N)在(0,+∞)上单调递减,且f(-x)=f(x),则m=________.
答案 1
解析 因为f(x)=x3m-5(m∈N)在(0,+∞)上单调递减,所以3m-5<0,故m<.又m∈N,所以m=0或1.当m=0时,f(x)=x-5,f(-x)≠f(x),不符合题意;当m=1时,f(x)=x-2,f(-x)=f(x),符合题意.综上,知m=1.
7.已知函数f(x)=且b=f(f(f(0))).若y=xa-b是偶函数,且在(0,+∞)上单调递减,则自然数a的值是________.
答案 1或3
解析 由已知,可得b=f(f(f(0)))=f(f(-2))=f(1)=5.由于y=xa-5在(0,+∞)上单调递减,所以a-5<0,解得a<5,因为a为自然数,所以a=0,1,2,3,4.又函数y=xa-5为偶函数,所以a=1或3.
8.若α∈R,函数f(x)=(x-1)α+3的图象恒过定点P,则点P的坐标为________.
答案 (2,4)
解析 令x-1=1,得x=2,∴f(2)=4,∴P(2,4).
9.已知幂函数f(x)=xα的图象过点,且f(a+1)<f(2),则实数a的取值范围是________.
答案 (-∞,-3)∪(1,+∞)
解析 因为幂函数f(x)=xα的图象过点,所以8α=,即23α=2-2,解得α=-.易知f(x)=x-是偶函数,且在(0,+∞)上单调递减,在(-∞,0)上单调递增,故由f(a+1)<f(2),得|a+1|>2,解得a<-3或a>1.
10.已知幂函数f(x)的图象过点P.
(1)求函数f(x)的解析式;
(2)画出函数f(x)的图象,并指出其单调区间.
解 (1)设f(x)=xα.
∵f(x)的图象过点P,
∴8α=,即23α=2-1,
∴3α=-1,即α=-,∴函数f(x)的解析式为f(x)=x-(x≠0).
(2)函数f(x)的图象如下:
由图象,知函数f(x)的单调递减区间为(-∞,0),(0,+∞),无单调递增区间.
【最新版】高中数学(新苏教版)习题+同步课件午练17 导数的运算: 这是一份【最新版】高中数学(新苏教版)习题+同步课件午练17 导数的运算,文件包含午练17导数的运算pptx、午练17导数的运算doc等2份课件配套教学资源,其中PPT共14页, 欢迎下载使用。
【最新版】高中数学(新苏教版)习题+同步课件午练6 椭圆: 这是一份【最新版】高中数学(新苏教版)习题+同步课件午练6 椭圆,文件包含午练6椭圆pptx、午练6椭圆doc等2份课件配套教学资源,其中PPT共16页, 欢迎下载使用。
【最新版】高中数学(新苏教版)习题+同步课件午练4 圆的方程: 这是一份【最新版】高中数学(新苏教版)习题+同步课件午练4 圆的方程,文件包含午练4圆的方程pptx、午练4圆的方程doc等2份课件配套教学资源,其中PPT共13页, 欢迎下载使用。

