


第二章有理数的运算计算题专题训练--2025-2026学年人教版七年级上册数学期末提升专题训练习题(含答案)
展开 这是一份第二章有理数的运算计算题专题训练--2025-2026学年人教版七年级上册数学期末提升专题训练习题(含答案),共21页。试卷主要包含了计算,计算题等内容,欢迎下载使用。
1.计算:
(1); (2);
(3); (4).
2.计算
(1) (2)
(3) (4)
3.计算:
(1). (2)
4.计算:
(1); (2);
(3); (4).
5.计算:
(1); (2)
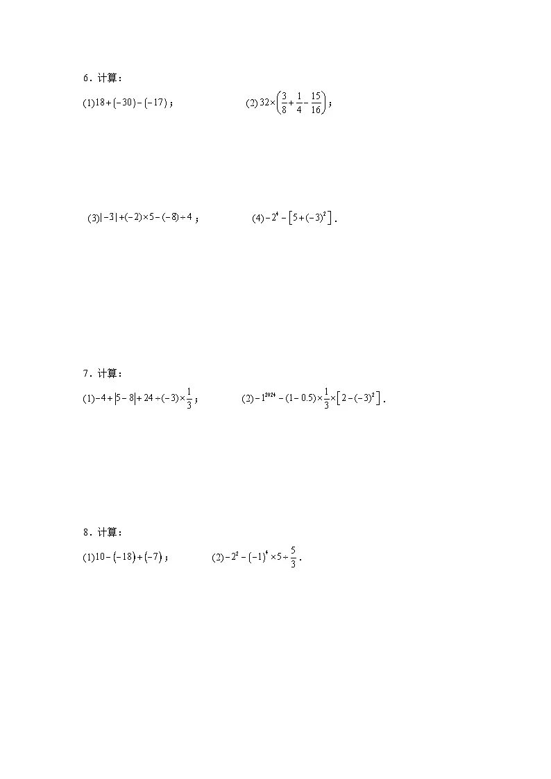
6.计算:
(1); (2);
(3); (4).
7.计算:
(1); (2).
8.计算:
(1); (2).
9.计算题:
(1); (2);
(3); (4).
10.计算
(1); (2).
11.计算:
(1); (2).
12.计算.
(1) (2).
13.计算:
(1) (2)
14.计算:
(1); (2).
15.计算
(1) (2)
(3) (4)
16.计算:
(1) (2)|
(3) (4)
17.计算:
(1) (2)
18. 计算题
(1) (2)
(3) (4)
参考答案:
1.(1)1
(2)39
(3)
(4)
【分析】本题考查了有理数的混合运算,解题的关键是掌握运算法则和运算顺序.
(1)根据有理数的加减混合运算法则求解即可;
(2)首先将除法转化成乘法,然后利用有理数的乘法分配律求解即可;
(3)根据有理数的四则混合运算法则求解即可;
(4)先计算乘方,然后计算乘除,最后计算加减.
【详解】(1)解:
;
(2)解:
;
(3)解:
;
(4)解:
.
2.(1)
(2)
(3)
(4)
【分析】本题主要考查了有理数的混合计算:
(1)根据有理数加法计算法则求解即可;
(2)根据有理数乘除法计算法则求解即可;
(3)按照先计算乘方,再计算乘除法,最后计算加减法,有括号先计算括号的运算顺序求解即可;
(4)根据乘法分配律的逆运算法则求解即可.
【详解】(1)解:
;
(2)解:
;
(3)解:
;
(4)解:
.
3.(1)
(2)
【分析】本题主要考查了有理数的加减计算,含乘方的有理数混合计算:
(1)根据有理数加减计算法则求解即可;
(2)先计算乘方和绝对值,再计算乘除法,最后计算加减法即可.
【详解】(1)解:
;
(2)解:
.
4.(1)
(2)
(3)
(4)
【分析】本题主要考查了有理数的混合计算:
(1)根据有理数加减计算法则求解即可;
(2)先计算乘除法,再计算加减法即可;
(3)先把除法变成乘法,再利用乘法分配律求解即可;
(4)按照先计算乘方,再计算乘除法,最后计算加减法,有括号先计算括号的运算顺序求解即可.
【详解】(1)解:
;
(2)解:
;
(3)解:
;
(4)解:
.
5.(1)8
(2)3
【分析】本题考查了有理数的混合运算,熟练掌握运算法则和顺序是解题的关键.
(1)先去括号,直接进行加减运算即可;
(2)先算乘方和绝对值,再算乘法,最后算加法即可.
【详解】(1)解:原式
;
(2)解:原式
.
6.(1)
(2)
(3)
(4)
【分析】本题考查有理数的混合运算,掌握运算法则和运算顺序是解题的关键.
(1)利用有理数的加减法的法则运算即可;
(2)利用乘法分配律解题即可;
(3)先运算绝对值和乘除法,然后运算加减解题;
(4)先运算乘方,然后运算括号,再运算减法解题.
【详解】(1)解:
;
(2)解:
;
(3)解:
;
(4)解:
.
7.(1)
(2)
【分析】本题考查了有理数的混合运算,熟练掌握有理数的混合运算是解题的关键.
(1)先计算绝对值和有理数的乘除,再计算有理数的加减,即得答案;
(2)先计算有理数的乘方,然后计算两个括号中的加减,再计算有理数的乘法,最后计算有理数的加减,即得答案.
【详解】(1)解:
;
(2)解:
.
8.(1);
(2)
【分析】本题考查了有理数的混合运算,解题的关键是掌握运算法则和运算顺序.
(1)根据有理数的加减混合运算法则求解即可;
(2)先计算乘方,然后计算乘除,最后计算加减.
【详解】(1)解:
;
(2)解:
.
9.(1)
(2)
(3)
(4)
【分析】本题主要考查含有乘方的有理数的混合运算,乘法分配律,掌握有理数的混合运算法则是解题的关键.
(1)先去绝对值,然后根据有理数加减运算法则计算即可;
(2)从左往右依次运算;
(3)乘法分配律去括号,再根据有理数的加减混合运算即可求解.
(4)先计算乘方,再根据有理数的加减乘除混合运算法则即可求解;
【详解】(1)解:
;
(2)解:
;
(3)解:
;
(4)解:
.
10.(1)
(2)
【分析】此题考查有理数的混合运算,掌握运算顺序,正确判定运算符号计算即可.
(1)先去括号,再进行加减计算即可;
(2)先算乘方和括号内,再计算乘除,最后计算减法.
【详解】(1)解:
;
(2)解:
.
11.(1)
(2)
【分析】本题主要考查了含乘方的有理数混合计算,有理数四则混合计算,乘法分配律:
(1)先计算乘方和绝对值,再计算乘除法,最后计算加减法即可得到答案;
(2)先计算绝对值,并利用乘法分配律去括号,再计算乘法,最后计算加减法即可得到答案.
【详解】(1)解:
;
(2)解:原式
.
12.(1)1
(2)
【分析】本题考查了有理数的加减混合运算以及含乘方的有理数的混合运算,正确掌握相关性质内容是解题的关键.
(1)先把减法化为加法,再根据加法计算,即可作答.
(2)先算乘方,再运算乘法,最后运算加减,即可作答.
【详解】(1)解:
;
(2)解:
.
13.(1);
(2).
【分析】本题考查了有理数的混合运算,绝对值的意义,有理数的乘方等知识,掌握有理数的混合运算法则是解题的关键.
(1)先算绝对值,有理数的乘方,再根据乘法分配律和有理数的混合运算法则计算即可;
(2)先算绝对值,有理数的乘方,再根据有理数的混合运算法则计算即可;
【详解】(1)解:原式
;
(2)解:原式
.
14.(1)
(2)
【分析】本题主要考查了含乘方的有理数混合计算:
(1)先计算乘方和绝对值,再计算乘除法,最后计算减法即可得到答案;
(2)先计算乘方,再计算乘法,最后计算加减法即可得到答案.
【详解】(1)解:
;
(2)解:
.
15.(1)
(2)
(3)
(4)
【分析】本题考查有理数的混合运算,
(1)先计算乘法和除法,再计算加减即可;
(2)先根据加法交换律和结合律,将原式转化为,然后进行简便运算即可;
(3)先根据符号化简法则将原式化简,然后进行乘除运算即可;
(4)先计算中括号内的乘方,绝对值以及加减运算,然后进行乘除运算,最后进行加减运算即可;
掌握相应的运算法则、性质、运算顺序和运算律是解题的关键.
【详解】(1)解:
;
(2)
;
(3)
;
(4)
.
16.(1)6
(2)17
(3)
(4)108
【分析】本题考查了有理数的混合运算,熟练掌握运算法则是解答本题的关键.
(1)从左到右依次计算即可;
(2)先算除法和绝对值,再算乘法,后算减法;
(3)利用乘法的交换律和结合律计算即可;
(4)先算乘方,再算乘法.
【详解】(1)解:
(2)解:
(3)解:
(4)解:
17.(1)
(2)
【分析】本题主要考查了绝对值、有理数加减运算、含乘方的有理数四则混合运算法则等知识点,掌握相关运算法则成为解题的关键。
(1)先算绝对值,然后按照有理数加减运算法则计算即可;
(2)按照含乘方的有理数四则混合运算法则计算即可。
【详解】(1)解:
。
(2)解:
。
18.(1)
(2)
(3)
(4)
【分析】本题主要考查了有理数的混合即:
(1)先计算绝对值和化简多重符号,再根据有理数加减计算法则求解即可;
(2)先计算绝对值,再根据有理数乘除法计算法则求解即可;
(3)利用乘法分配律的逆运算法则求解即可;
(4)按照先计算乘方,再计算乘除法,最后计算加减法,有括号先计算括号的运算顺序求解即可.
【详解】(1)解:
;
(2)解:
;
(3)解:
;
(4)解:
.
相关试卷
这是一份第二章有理数的运算计算题专题训练--2025-2026学年人教版七年级上册数学期末提升专题训练习题(含答案),共21页。试卷主要包含了计算,计算题等内容,欢迎下载使用。
这是一份第二章有理数的运算计算题专题训练--2025-2026学年人教版七年级上册数学期末提升专题训练习题(含答案) (1),共22页。试卷主要包含了计算,计算下列各题等内容,欢迎下载使用。
这是一份第二章有理数的运算计算题专题训练--2024-2025学年人教版七年级上册数学期末提升专题训练,共22页。试卷主要包含了计算,计算下列各题等内容,欢迎下载使用。
相关试卷 更多
- 1.电子资料成功下载后不支持退换,如发现资料有内容错误问题请联系客服,如若属实,我们会补偿您的损失
- 2.压缩包下载后请先用软件解压,再使用对应软件打开;软件版本较低时请及时更新
- 3.资料下载成功后可在60天以内免费重复下载
免费领取教师福利 









