


所属成套资源:(人教A版必修第一册)高一数学同步讲义(原卷版+解析)
(人教A版必修第一册)高一数学同步讲义第五章《三角函数》综合检测卷(培优B卷)(原卷版+解析)
展开
这是一份(人教A版必修第一册)高一数学同步讲义第五章《三角函数》综合检测卷(培优B卷)(原卷版+解析),共23页。
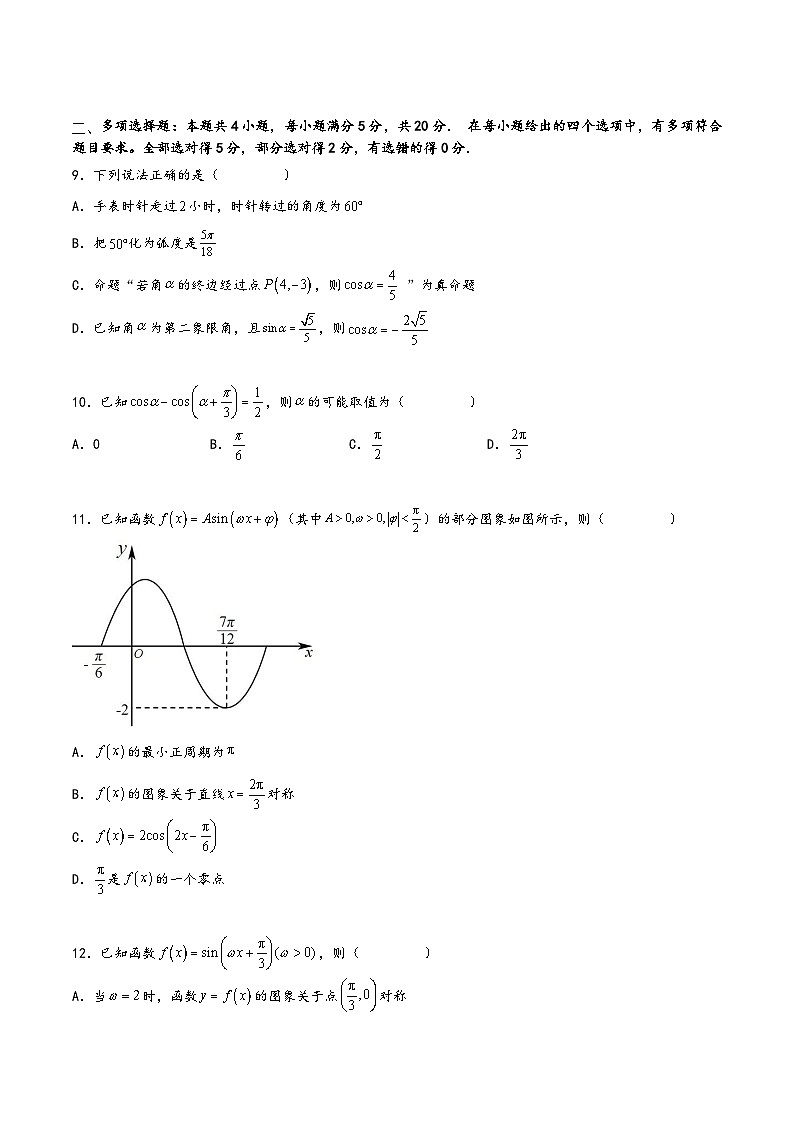
高中数学人教A版(2019)必修第一册第五章综合检测卷(培优B卷)单项选择题:本题共8小题,每小题满分5分,共40分.在每小题给出的四个选项中,只有一项符合题目要求,选对得5分,选错得0分.1.若是第二象限角,那么和都不是( )A.第一象限 B.第二象限 C.第三象限 D.第四象限2.已知 ,且 ,给出下列结论:①;② ;③;④ .其中所有正确结论的序号是( )A.①②④ B.②③④C.①②③ D.①③④3.已知,则( )A. B. C. D.4.若将函数的图像向右移后关于原点中心对称,则的可能是( )A. B. C. D.5.下列关于函数的命题,正确的有( )个(1)它的最小正周期是(2)是它的一个对称中心(3)是它的一条对称轴(4)它在上的值域为A.0 B.1 C.2 D.36.把函数图象上所有点的横坐标伸长到原来的2倍,纵坐标不变,再把所得曲线向右平移个长度单位,得到函数的图象,则( )A. B.C. D.7.已知,,,,则( )A. B. C. D.8.函数的部分图象大致为( )A. B.C. D.多项选择题:本题共4小题,每小题满分5分,共20分. 在每小题给出的四个选项中,有多项符合题目要求。全部选对得5分,部分选对得2分,有选错的得0分.9.下列说法正确的是( )A.手表时针走过小时,时针转过的角度为B.把化为弧度是C.命题“若角的终边经过点,则 ”为真命题D.已知角为第二象限角,且,则10.已知,则的可能取值为( )A.0 B. C. D.11.已知函数(其中)的部分图象如图所示,则( )A.的最小正周期为B.的图象关于直线对称C.D.是的一个零点12.已知函数,则( )A.当时,函数的图象关于点对称B.当时,函数在上单调递增C.当时,函数在上有零点D.当时,函数在上的最大值为1填空题:本题共4小题,每小题5分,共20分。13.若,则 _____.14.已知,,,,则的值为_______.15.函数,的值域为______.16.将函数的图象向右平移个单位长度,得到函数的图象. 若在上单调递减,则的取值范围是_____.四、解答题:本题共6小题,共70分。解答应写出文字说明、证明过程或演算步骤。17.已知 .(1)化简;(2)若是第四象限角,且 ,求的值.18.已知函数f(x)=sineq \b\lc\(\rc\)(\a\vs4\al\co1(x-\f(π,6)))+coseq \b\lc\(\rc\)(\a\vs4\al\co1(x-\f(π,3))),g(x)=2sin2eq \f(x,2).(1)若α是第一象限角,且f(α)=eq \f(3\r(3),5),求g(α)的值;(2)求使f(x)≥g(x)成立的x的取值集合.19.已知函数的图象关于轴对称.(1)求的值;(2)若函数在上单调递减,试求当取最小值时,的值.20.如图,质点在半径为2cm的圆周上逆时针运动,其初始位置为,角速度为1rad/s.(1)求点的纵坐标关于时间的函数解析式;(2)求点的运动周期和频率.21.已知函数 .(1)若,,求的值;(2)将函数的图象向左平移个单位,再将图象上所有点的横坐标伸长为原来的2倍(纵坐标不变),得到函数的图象,若曲线与的图象关于直线对称,求函数在上的值域.22.已知函数,且_____.从以下三个条件中任选一个,补充在上面条件中,并回答问题:过点函数图象与直线的两个相邻交点之间的距离为函数图象中相邻的两条对称轴之间的距离为.(1)求函数的单调递增区间;(2)设函数,则是否存在实数,使得对于任意,存在,成立若存在,求实数的取值范围若不存在,请说明理由.高中数学人教A版(2019)必修第一册第五章综合检测卷(培优B卷)单项选择题:本题共8小题,每小题满分5分,共40分.在每小题给出的四个选项中,只有一项符合题目要求,选对得5分,选错得0分.1.若是第二象限角,那么和都不是( )A.第一象限 B.第二象限 C.第三象限 D.第四象限【答案】B【分析】若是第二象限角,则可设再分析和.【详解】设,此时,故为第一、三象限的角.又,故为第四象限角.所以和都不是第二象限.故选B.【点睛】已知所处的象限可直接表达出角度的范围再讨论.2.已知 ,且 ,给出下列结论:①;② ;③;④ .其中所有正确结论的序号是( )A.①②④ B.②③④C.①②③ D.①③④【答案】A【分析】由 ,且,将等式两边平方可得,可判断,即可判断①②③;继而利用求得,判断④,可得答案.【详解】∵, ,等式两边平方得 ,解得,故②正确;∵,,∴,,故①正确,③错误;由可知, ,且 ,解得,故④正确,故选:A3.已知,则( )A. B. C. D.【答案】B【分析】利用三角函数诱导公式化简可得,继而将化为,根据三角函数齐次式法求值,可得答案.【详解】由题意得 ,故选:B.4.若将函数的图像向右移后关于原点中心对称,则的可能是( )A. B. C. D.【答案】A【分析】首先由条件判断函数关于点对称,代入得,即可求解.【详解】由条件可知,函数关于点对称,则,,得,,当,,故选:A5.下列关于函数的命题,正确的有( )个(1)它的最小正周期是(2)是它的一个对称中心(3)是它的一条对称轴(4)它在上的值域为A.0 B.1 C.2 D.3【答案】C【分析】根据三角恒等变换化简函数为正弦型三角函数,利用正弦型函数的对称轴、对称中心、周期,值域求解判断即可.【详解】,所以,故(1)错误;令,解得,当时,,故是函数的一个对称中心,故(2)错误;令,解得,当时,,所以是函数的一条对称轴,故(3)正确;当时,,,,故(4)正确.故选:C6.把函数图象上所有点的横坐标伸长到原来的2倍,纵坐标不变,再把所得曲线向右平移个长度单位,得到函数的图象,则( )A. B.C. D.【答案】A【分析】根据图象变换求解析式即可.【详解】向左平移得到,然后横坐标缩短为原来的倍得到,所以.故选:A.7.已知,,,,则( )A. B. C. D.【答案】A【分析】求出的取值范围,利用同角三角函数的基本关系以及两角差的正弦公式求出的值,即可得解.【详解】因为,则,因为,则,可得,因为,则,,所以,,,所以,,所以,.故选:A.8.函数的部分图象大致为( )A. B.C. D.【答案】D【分析】利用函数的奇偶性排除B,利用排除AC,即可得解.【详解】函数的定义域关于原点对称,且,故函数是偶函数,则排除B,又,则排除AC;故选:D多项选择题:本题共4小题,每小题满分5分,共20分. 在每小题给出的四个选项中,有多项符合题目要求。全部选对得5分,部分选对得2分,有选错的得0分.9.下列说法正确的是( )A.手表时针走过小时,时针转过的角度为B.把化为弧度是C.命题“若角的终边经过点,则 ”为真命题D.已知角为第二象限角,且,则【答案】BCD【分析】对于A:利用正角和负角的定义判断; 对于B:利用角度制和弧度制互化判断; 对于 C:利用三角函数的定义求解判断; 对于 D:利用平方关系和象限角的符号判断.【详解】对于A:因为时针顺时针旋转,所以针转过的角为负角,,故错误;对于B:,故正确;对于 C:到原点O的距离,所以,故正确; 对于 D:根据得,,又因为角为第二象限角,所以,故正确;故选:BCD10.已知,则的可能取值为( )A.0 B. C. D.【答案】AD【分析】根据两角和的余弦公式,结合辅助角公式、正弦型函数的性质进行求解即可.【详解】由,得,即,所以或,即或,当时,或,故选:AD11.已知函数(其中)的部分图象如图所示,则( )A.的最小正周期为B.的图象关于直线对称C.D.是的一个零点【答案】ACD【分析】结合函数图像求出的解析式,进而判断AC;利用代入检验法可判断BD.【详解】由图像可知,,,所以,即,故A正确;从而,由五点法可得,因为,所以,从而,故C正确;因为,所以不是的对称轴,故B错误;因为,所以是的一个零点,故D正确.故选:ACD.12.已知函数,则( )A.当时,函数的图象关于点对称B.当时,函数在上单调递增C.当时,函数在上有零点D.当时,函数在上的最大值为1【答案】ABD【分析】根据函数的图象与性质即可判断各选项的真假.【详解】对于A,当时,,,由正弦函数图象的对称性知A正确;对于B,当时,,单调递增,在上亦单调递增,故在上单调递增,故B正确;对于C,当时,,又,故且,此时没有零点,故C错误;对于D,因为且,所以有解,故的最大值一定为1,故D正确.故选:ABD.填空题:本题共4小题,每小题5分,共20分。13.若,则 _____.【答案】或【分析】利用同角三角函数关系中的平方关系求解,再利用商数关系求即可.【详解】解:,则,且 ,则,当时,,故;当时,,故;所以或.故答案为:或.14.已知,,,,则的值为_______.【答案】【分析】根据余弦倍角公式,同角三角函数关系及角的范围求出,,,再利用凑角法,正弦的差角公式求出答案.【详解】,即又因为,所以,所以,因为,,所以,又,所以,而,所以故答案为:15.函数,的值域为______.【答案】【分析】由的范围求出的范围,再根据二次函数的性质即可得出答案.【详解】解:因为,所以,,则当时,,当时,,所以函数的值域为.故答案为:.16.将函数的图象向右平移个单位长度,得到函数的图象. 若在上单调递减,则的取值范围是_____.【答案】【分析】先根据三角函数图象变换规律求出的解析式,再由求出,再根据在上单调递减,列出不等式,从而可求出的取值范围.【详解】因为将函数的图象向右平移个单位长度,得到函数的图象.所以,当,则,因为在上单调递减,所以,解得,即的取值范围是,故答案为:.四、解答题:本题共6小题,共70分。解答应写出文字说明、证明过程或演算步骤。17.已知 .(1)化简;(2)若是第四象限角,且 ,求的值.【答案】(1);(2)【分析】(1)根据三角函数的诱导公式化简,可得答案;(2)由诱导公式结合是第四象限角可求得以及,由(1)的结果可得答案.【详解】(1)根据诱导公式可得: ,所以.(2)由诱导公式可知,则由可得, 又是第四象限角,所以, 所以.18.已知函数f(x)=sineq \b\lc\(\rc\)(\a\vs4\al\co1(x-\f(π,6)))+coseq \b\lc\(\rc\)(\a\vs4\al\co1(x-\f(π,3))),g(x)=2sin2eq \f(x,2).(1)若α是第一象限角,且f(α)=eq \f(3\r(3),5),求g(α)的值;(2)求使f(x)≥g(x)成立的x的取值集合.【详解】f(x)=sineq \b\lc\(\rc\)(\a\vs4\al\co1(x-\f(π,6)))+coseq \b\lc\(\rc\)(\a\vs4\al\co1(x-\f(π,3)))=eq \f(\r(3),2)sin x-eq \f(1,2)cos x+eq \f(1,2)cos x+eq \f(\r(3),2)sin x=eq \r(3)sin x,g(x)=2sin2eq \f(x,2)=1-cos x,(1)由f(α)=eq \f(3\r(3),5),得sin α=eq \f(3,5),又α是第一象限角,所以cos α>0.从而g(α)=1-cos α=1-eq \r(1-sin2α)=1-eq \f(4,5)=eq \f(1,5).(2)f(x)≥g(x)等价于eq \r(3)sin x≥1-cos x,即eq \r(3)sin x+cos x≥1.于是sineq \b\lc\(\rc\)(\a\vs4\al\co1(x+\f(π,6)))≥eq \f(1,2).从而2kπ+eq \f(π,6)≤x+eq \f(π,6)≤2kπ+eq \f(5π,6),k∈Z,即2kπ≤x≤2kπ+eq \f(2π,3),k∈Z.故使f(x)≥g(x)成立的x的取值集合为eq \b\lc\{\rc\}(\a\vs4\al\co1(x\b\lc\|\rc\ (\a\vs4\al\co1(2kπ≤x≤2kπ+\f(2π,3),k∈Z)))).19.已知函数的图象关于轴对称.(1)求的值;(2)若函数在上单调递减,试求当取最小值时,的值.【答案】(1)或;(2)0.【分析】(1)根据对称性,及余弦函数的性质可得,结合参数范围求.(2)根据(1)的结论及区间单调性可得,进而求的范围,利用余弦函数的周期性求取最小值目标式的函数值.【详解】(1)∵的图象关于轴对称,∴,即,∴,而,∴或.(2)若,则,则不满足在上单调递减.若,则,由,,得.∵在上单调递减,∴,则.当时,的最小正周期,∴.20.如图,质点在半径为2cm的圆周上逆时针运动,其初始位置为,角速度为1rad/s.(1)求点的纵坐标关于时间的函数解析式;(2)求点的运动周期和频率.【答案】(1);(2)周期是,频率是.【分析】(1)由点运动秒后的旋转的角度得出点相对于轴正方向所旋转的角度,从而得点坐标,得所求函数解析式.(2)由(1)中函数解析式求得周期,再由频率与周期的关系得频率.【详解】(1)由得,角速度为1rad/s,点从逆时针运动秒后,,则在第四象限,所以,即,所以点的纵坐标关于时间的函数解析式为;(2)由(1)知其周期为,所以频率为.21.已知函数 .(1)若,,求的值;(2)将函数的图象向左平移个单位,再将图象上所有点的横坐标伸长为原来的2倍(纵坐标不变),得到函数的图象,若曲线与的图象关于直线对称,求函数在上的值域.【答案】(1)或0或;(2).【分析】(1)首先利用二倍角公式和辅助角公式化简,然后根据的范围求解即可;(2)首先结合(1)中结论,利用平移变换和伸缩变换求的解析式,然后根据对称关系求的解析式,最后根据三角函数性质求的值域即可.【详解】(1),由,得,即,故或,,即或,,又∵∴或0或.(2)将函数的图象向左平移个单位,可得函数图象的解析式为,再将图象上所有点的横坐标伸长为原来的2倍(纵坐标不变),得到函数,∵又曲线与的图象关于直线对称,∴,∵当时,,即,故函数的值域为.22.已知函数,且_____.从以下三个条件中任选一个,补充在上面条件中,并回答问题:过点函数图象与直线的两个相邻交点之间的距离为函数图象中相邻的两条对称轴之间的距离为.(1)求函数的单调递增区间;(2)设函数,则是否存在实数,使得对于任意,存在,成立若存在,求实数的取值范围若不存在,请说明理由.【答案】(1);(2)存在,.【分析】(1)利用二倍角的正余弦公式、辅助角公式化简函数,选①,代入求出,选②③求出周期,进而求出,再利用正弦函数单调性求解作答.(2)求出函数,在上的值域,再结合恒成立、能成立列式求解作答.【详解】(1)选①,依题意,,,即,则,即有,而,则,则有,由得:,所以函数的单调递增区间是.选②,依题意,,显然,因函数图象与直线的两个相邻交点之间的距离为,因此函数的周期,有,则有,由得:,所以函数的单调递增区间是.选③,依题意,,因函数图象的相邻两条对称轴之间的距离为,因此函数的周期,有,则有,由得:,所以函数的单调递增区间是.(2)由(1)知,,由得:,,因此,由得:,,因此,从而,由得:,假定存在实数,使得对,,成立,即存在实数,使得对,,成立,则,于是得,解得,因此存在实数,使得对,,成立,所以实数的取值范围是.
