高中数学人教A版 (2019)必修 第一册第五章 三角函数本章综合与测试导学案及答案
展开一、单项选择题(本大题共8小题,每小题5分,共40分)
1.若扇形的面积为16 cm2,圆心角为2 rad,则该扇形的弧长为( )
A.4 cm B.8 cm C.12 cm D.16 cm
答案 B
解析 S=eq \f(1,2)αr2=r2=16,∴r=4,l=αr=2×4=8,故选B.
2.sin 40°sin 50°-cs 40°cs 50°等于( )
A.0 B.1 C.-1 D.-cs 10°
答案 A
解析 sin 40°sin 50°-cs 40°cs 50°=-cs(40°+50°)=0.
3.已知角θ终边经过点(3,-4),则eq \f(sin\b\lc\(\rc\)(\a\vs4\al\c1(\f(3π,2)-θ))·cs\b\lc\(\rc\)(\a\vs4\al\c1(π+θ)),sin\b\lc\(\rc\)(\a\vs4\al\c1(\f(π,2)+θ))·cs\b\lc\(\rc\)(\a\vs4\al\c1(\f(5π,2)+θ)))等于( )
A.eq \f(4,3) B.-eq \f(4,3) C.eq \f(3,4) D.-eq \f(3,4)
答案 C
解析 由三角函数的定义可得tan θ=-eq \f(4,3),
因此,eq \f(sin\b\lc\(\rc\)(\a\vs4\al\c1(\f(3π,2)-θ))·csπ+θ,sin\b\lc\(\rc\)(\a\vs4\al\c1(\f(π,2)+θ))·cs\b\lc\(\rc\)(\a\vs4\al\c1(\f(5π,2)+θ)))=eq \f(-cs θ·-cs θ,cs θ·-sin θ)=-eq \f(1,tan θ)=eq \f(3,4).
4.下列函数中,最小正周期为π,且图象关于直线x=eq \f(π,6)对称的是( )
A.y=sineq \b\lc\(\rc\)(\a\vs4\al\c1(2x+\f(π,6))) B.y=sineq \b\lc\(\rc\)(\a\vs4\al\c1(\f(x,2)+\f(π,6)))
C.y=sineq \b\lc\(\rc\)(\a\vs4\al\c1(2x-\f(π,6))) D.y=sineq \b\lc\(\rc\)(\a\vs4\al\c1(2x-\f(π,3)))
答案 A
解析 ∵最小正周期为π,∴ω=2,
又图象关于直线x=eq \f(π,6)对称,
∴f eq \b\lc\(\rc\)(\a\vs4\al\c1(\f(π,6)))=±1,故只有A符合.
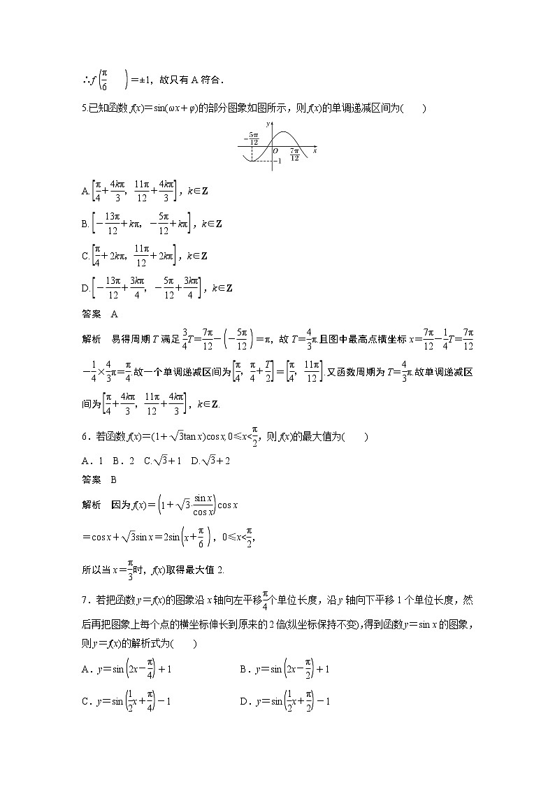
5.已知函数f(x)=sin(ωx+φ)的部分图象如图所示,则f(x)的单调递减区间为( )
A.eq \b\lc\[\rc\](\a\vs4\al\c1(\f(π,4)+\f(4kπ,3),\f(11π,12)+\f(4kπ,3))),k∈Z
B.eq \b\lc\[\rc\](\a\vs4\al\c1(-\f(13π,12)+kπ,-\f(5π,12)+kπ)),k∈Z
C.eq \b\lc\[\rc\](\a\vs4\al\c1(\f(π,4)+2kπ,\f(11π,12)+2kπ)),k∈Z
D.eq \b\lc\[\rc\](\a\vs4\al\c1(-\f(13π,12)+\f(3kπ,4),-\f(5π,12)+\f(3kπ,4))),k∈Z
答案 A
解析 易得周期T满足eq \f(3,4)T=eq \f(7π,12)-eq \b\lc\(\rc\)(\a\vs4\al\c1(-\f(5π,12)))=π,故T=eq \f(4,3)π.且图中最高点横坐标x=eq \f(7π,12)-eq \f(1,4)T=eq \f(7π,12)-eq \f(1,4)×eq \f(4,3)π=eq \f(π,4).故一个单调递减区间为eq \b\lc\[\rc\](\a\vs4\al\c1(\f(π,4),\f(π,4)+\f(T,2)))=eq \b\lc\[\rc\](\a\vs4\al\c1(\f(π,4),\f(11π,12))).又函数周期为T=eq \f(4,3)π.故单调递减区间为eq \b\lc\[\rc\](\a\vs4\al\c1(\f(π,4)+\f(4kπ,3),\f(11π,12)+\f(4kπ,3))),k∈Z.
6.若函数f(x)=(1+eq \r(3)tan x)cs x,0≤x
答案 B
解析 因为f(x)=eq \b\lc\(\rc\)(\a\vs4\al\c1(1+\r(3)·\f(sin x,cs x)))cs x
=cs x+eq \r(3)sin x=2sineq \b\lc\(\rc\)(\a\vs4\al\c1(x+\f(π,6))),0≤x
7.若把函数y=f(x)的图象沿x轴向左平移eq \f(π,4)个单位长度,沿y轴向下平移1个单位长度,然后再把图象上每个点的横坐标伸长到原来的2倍(纵坐标保持不变),得到函数y=sin x的图象,则y=f(x)的解析式为( )
A.y=sineq \b\lc\(\rc\)(\a\vs4\al\c1(2x-\f(π,4)))+1 B.y=sineq \b\lc\(\rc\)(\a\vs4\al\c1(2x-\f(π,2)))+1
C.y=sineq \b\lc\(\rc\)(\a\vs4\al\c1(\f(1,2)x+\f(π,4)))-1 D.y=sineq \b\lc\(\rc\)(\a\vs4\al\c1(\f(1,2)x+\f(π,2)))-1
答案 B
解析 把函数y=sin x图象上每个点的横坐标缩短到原来的eq \f(1,2)(纵坐标保持不变),得到y=
sin 2x,沿y轴向上平移1个单位长度,得到y=sin 2x+1,图象沿x轴向右平移eq \f(π,4)个单位长度,得到函数y=sineq \b\lc\[\rc\](\a\vs4\al\c1(2\b\lc\(\rc\)(\a\vs4\al\c1(x-\f(π,4)))))+1=sineq \b\lc\(\rc\)(\a\vs4\al\c1(2x-\f(π,2)))+1.
8.若0<α
答案 C
解析 由题设eq \f(π,2)<β<π,cs β=-eq \f(1,3)⇒sin β=eq \f(2\r(2),3),又0<α
=sin(α+β)cs β-cs(α+β)sin β=eq \f(7,9)×eq \b\lc\(\rc\)(\a\vs4\al\c1(-\f(1,3)))+eq \f(4\r(2),9)×eq \f(2\r(2),3)=eq \f(1,3).
二、多项选择题(本大题共4小题,每小题5分,共20分.全部选对的得5分,部分选对的得3分,有选错的得0分)
9.给出下列函数:①y=cs|2x|;②y=|cs x|;③y=cseq \b\lc\(\rc\)(\a\vs4\al\c1(2x+\f(π,6)));④y=taneq \b\lc\(\rc\)(\a\vs4\al\c1(2x-\f(π,4))).其中最小正周期为π的有( )
A.① B.② C.③ D.④
答案 ABC
解析 ①中,y=cs|2x|=cs 2x,其最小正周期为π;②中,知y=|cs x|是y=cs x将x轴下方的部分向上翻折得到的,故周期减半,即y=|cs x|的最小正周期为π;③中,y=cseq \b\lc\(\rc\)(\a\vs4\al\c1(2x+\f(π,6)))的最小正周期T=eq \f(2π,2)=π;
④中,y=taneq \b\lc\(\rc\)(\a\vs4\al\c1(2x-\f(π,4)))的最小正周期T=eq \f(π,2).
10.已知函数f(x)=2sineq \b\lc\(\rc\)(\a\vs4\al\c1(2x-\f(π,3)))+1,则下列说法正确的是( )
A.函数f(x)的图象关于点eq \b\lc\(\rc\)(\a\vs4\al\c1(\f(π,3),0))对称
B.函数f(x)图象的一条对称轴是x=-eq \f(π,12)
C.若x∈eq \b\lc\[\rc\](\a\vs4\al\c1(\f(π,3),\f(π,2))),则函数f(x)的最小值为eq \r(3)+1
D.若0
解析 A项,令2x-eq \f(π,3)=kπ(k∈Z)知函数f(x)关于点eq \b\lc\(\rc\)(\a\vs4\al\c1(\f(π,6)+\f(kπ,2),1))(k∈Z)对称,所以A不成立;
B项,令2x-eq \f(π,3)=eq \f(π,2)+kπ(k∈Z)知函数f(x)关于x=eq \f(5π,12)+eq \f(kπ,2)(k∈Z)对称,所以B成立;
C项,若x∈eq \b\lc\[\rc\](\a\vs4\al\c1(\f(π,3),\f(π,2))),2x-eq \f(π,3)∈eq \b\lc\[\rc\](\a\vs4\al\c1(\f(π,3),\f(2π,3))),
则函数f(x)的最小值为eq \r(3)+1,C成立;
D项,由于当0
A.0 B.eq \r(3)
C.-eq \r(3) D.eq \r(2)
答案 ABC
解析 由cs 2θ+cs θ=0得2cs2θ-1+cs θ=0,
所以cs θ=-1或eq \f(1,2).
当cs θ=-1时,有sin θ=0;
当cs θ=eq \f(1,2)时,有sin θ=±eq \f(\r(3),2).
于是sin 2θ+sin θ=sin θ(2cs θ+1)=0或eq \r(3)或-eq \r(3).
12.对于函数f(x)=eq \b\lc\{\rc\ (\a\vs4\al\c1(sin x,sin x≥cs x,,cs x,sin x
B.当且仅当x=2kπ+eq \f(π,2)(k∈Z)时,函数取得最大值1
C.当且仅当x=2kπ-eq \f(π,2)(k∈Z)时,函数取得最小值-1
D.当且仅当2kπ+π
解析 画出函数f(x)的图象如图所示,由图象容易看出:该函数的值域是eq \b\lc\[\rc\](\a\vs4\al\c1(-\f(\r(2),2),1));当且仅当x=2kπ+eq \f(π,2)或x=2kπ,k∈Z时,函数取得最大值1;当且仅当x=2kπ+eq \f(5π,4),k∈Z时,函数取得最小值-eq \f(\r(2),2);当且仅当2kπ+π
13.已知cs(45°+α)=eq \f(5,13),则cs(135°-α)=________.
答案 -eq \f(5,13)
解析 cs(135°-α)=cs[180°-(45°+α)]
=-cs(45°+α)=-eq \f(5,13).
14.若tan α=eq \f(1,4),则taneq \b\lc\(\rc\)(\a\vs4\al\c1(\f(π,4)-α))=________,tan 2α=________.(本题第一空2分,第二空3分)
答案 eq \f(3,5) eq \f(8,15)
解析 由题意知taneq \b\lc\(\rc\)(\a\vs4\al\c1(\f(π,4)-α))=eq \f(tan \f(π,4)-tan α,1+tan \f(π,4)tan α)=eq \f(1-tan α,1+tan α)=eq \f(3,5),tan 2α=eq \f(2tan α,1-tan2α)=eq \f(2×\f(1,4),1-\b\lc\(\rc\)(\a\vs4\al\c1(\f(1,4)))2)=eq \f(8,15).
15.设函数f(x)=2cs2x+eq \r(3)sin 2x+a,已知当x∈eq \b\lc\[\rc\](\a\vs4\al\c1(0,\f(π,2)))时,f(x)的最小值为-2,则a=________.
答案 -2
解析 f(x)=1+cs 2x+eq \r(3)sin 2x+a
=2sineq \b\lc\(\rc\)(\a\vs4\al\c1(2x+\f(π,6)))+a+1.
∵x∈eq \b\lc\[\rc\](\a\vs4\al\c1(0,\f(π,2))),∴2x+eq \f(π,6)∈eq \b\lc\[\rc\](\a\vs4\al\c1(\f(π,6),\f(7π,6))).
∴sineq \b\lc\(\rc\)(\a\vs4\al\c1(2x+\f(π,6)))∈eq \b\lc\[\rc\](\a\vs4\al\c1(-\f(1,2),1)),
∴f(x)min=2×eq \b\lc\(\rc\)(\a\vs4\al\c1(-\f(1,2)))+a+1=a.∴a=-2.
16.函数f(x)=cseq \b\lc\(\rc\)(\a\vs4\al\c1(ωx+\f(π,4)))(x∈R,ω>0)的最小正周期为π,将y=f(x)的图象向左平移φeq \b\lc\(\rc\)(\a\vs4\al\c1(0<φ<\f(π,2)))个单位长度,所得图象关于原点对称,则φ的值为________.
答案 eq \f(π,8)
解析 ∵函数f(x)=cseq \b\lc\(\rc\)(\a\vs4\al\c1(ωx+\f(π,4)))(x∈R,ω>0)的最小正周期为π,
∴ω=eq \f(2π,π)=2,即f(x)=cseq \b\lc\(\rc\)(\a\vs4\al\c1(2x+\f(π,4)))(x∈R),
将y=f(x)的图象向左平移φeq \b\lc\(\rc\)(\a\vs4\al\c1(0<φ<\f(π,2)))个单位长度,
所得函数为g(x)=cseq \b\lc\[\rc\](\a\vs4\al\c1(2x+φ+\f(π,4)))
=cseq \b\lc\(\rc\)(\a\vs4\al\c1(2x+2φ+\f(π,4))),
又所得图象关于原点对称,
∴2φ+eq \f(π,4)=kπ+eq \f(π,2),k∈Z,
即φ=eq \f(kπ,2)+eq \f(π,8),k∈Z,又0<φ
四、解答题(本大题共6小题,共70分)
17.(10分)已知eq \f(π,2)<α<π,sin α=eq \f(4,5).
(1)求eq \f(sin α+cs α,2sin α-cs α)的值;
(2)求cs 2α+sineq \b\lc\(\rc\)(\a\vs4\al\c1(α+\f(π,2)))的值.
解 (1)∵eq \f(π,2)<α<π,且sin α=eq \f(4,5),∴cs α=-eq \f(3,5),
∴tan α=-eq \f(4,3).
eq \f(sin α+cs α,2sin α-cs α)=eq \f(tan α+1,2tan α-1)
=eq \f(-\f(1,3),-\f(8,3)-1)=eq \f(1,11).
(2)cs 2α+sineq \b\lc\(\rc\)(\a\vs4\al\c1(α+\f(π,2)))=1-2sin2α+cs α=1-2×eq \f(16,25)-eq \f(3,5)=-eq \f(22,25).
18.(12分)已知函数f(x)=eq \f(sin x-cs xsin 2x,sin x).
(1)求f(x)的定义域及最小正周期;
(2)求f(x)的单调递减区间.
解 (1)由sin x≠0得x≠kπ(k∈Z),
故f(x)的定义域为{x∈R|x≠kπ,k∈Z}.
因为f(x)=eq \f(sin x-cs xsin 2x,sin x)
=2cs x(sin x-cs x)
=sin 2x-cs 2x-1
=eq \r(2)sineq \b\lc\(\rc\)(\a\vs4\al\c1(2x-\f(π,4)))-1,
所以f(x)的最小正周期T=eq \f(2π,2)=π.
(2)函数y=sin x的单调递减区间为eq \b\lc\[\rc\](\a\vs4\al\c1(2kπ+\f(π,2),2kπ+\f(3π,2)))
(k∈Z).
由2kπ+eq \f(π,2)≤2x-eq \f(π,4)≤2kπ+eq \f(3π,2),x≠kπ(k∈Z),
得kπ+eq \f(3π,8)≤x≤kπ+eq \f(7π,8)(k∈Z),
所以f(x)的单调递减区间为eq \b\lc\[\rc\](\a\vs4\al\c1(kπ+\f(3π,8),kπ+\f(7π,8)))(k∈Z).
19.(12分)已知f(x)=Asin(ωx+φ)eq \b\lc\(\rc\)(\a\vs4\al\c1(A>0,ω>0,|φ|<\f(π,2)))的图象过点Peq \b\lc\(\rc\)(\a\vs4\al\c1(\f(π,12),0)),且图象上与点P最近的一个最低点是Qeq \b\lc\(\rc\)(\a\vs4\al\c1(-\f(π,6),-2)).
(1)求f(x)的解析式;
(2)若f eq \b\lc\(\rc\)(\a\vs4\al\c1(α+\f(π,12)))=eq \f(3,8),且α为第三象限的角,求sin α+cs α的值.
解 (1)根据题意可知,A=2,eq \f(T,4)=eq \f(π,12)-eq \b\lc\(\rc\)(\a\vs4\al\c1(-\f(π,6)))=eq \f(π,4),
∴T=eq \f(2π,ω)=π,解得ω=2.
又f eq \b\lc\(\rc\)(\a\vs4\al\c1(\f(π,12)))=0,∴sineq \b\lc\(\rc\)(\a\vs4\al\c1(\f(π,12)×2+φ))=0,而|φ|
∴f(x)=2sineq \b\lc\(\rc\)(\a\vs4\al\c1(2x-\f(π,6))).
(2)由f eq \b\lc\(\rc\)(\a\vs4\al\c1(α+\f(π,12)))=eq \f(3,8)可得,2sin 2α=eq \f(3,8),即sin 2α=eq \f(3,16).
∵α为第三象限的角,∴sin α+cs α
=-eq \r(1+sin 2α)=-eq \r(1+\f(3,16))=-eq \f(\r(19),4).
20.(12分)求证:sin3αsin 3α+cs3αcs 3α=cs32α.
证明 左边=sin2αsin αsin 3α+cs2αcs αcs 3α
=eq \f(1-cs 2α,2)sin αsin 3α+eq \f(1+cs 2α,2)cs αcs 3α
=eq \f(1,2)(sin αsin 3α+cs αcs 3α)+eq \f(1,2)cs 2α(-sin αsin 3α+cs αcs 3α)
=eq \f(1,2)cs(α-3α)+eq \f(1,2)cs 2αcs(3α+α)
=eq \f(1,2)cs 2α+eq \f(1,2)cs 2αcs 4α
=eq \f(1,2)cs 2α(1+cs 4α)
=eq \f(1,2)cs 2α·2cs22α=cs32α=右边.
21.(12分)已知函数f(x)=eq \r(3)sin(ωx+φ)eq \b\lc\(\rc\)(\a\vs4\al\c1(ω>0,-\f(π,2)≤φ<\f(π,2)))的图象关于直线x=eq \f(π,3)对称,且图象上相邻两个最高点的距离为π.
(1)求ω和φ的值;
(2)若f eq \b\lc\(\rc\)(\a\vs4\al\c1(\f(α,2)))=eq \f(\r(3),4)eq \b\lc\(\rc\)(\a\vs4\al\c1(\f(π,6)<α<\f(2π,3))),求cseq \b\lc\(\rc\)(\a\vs4\al\c1(α+\f(3π,2)))的值.
解 (1)因为f(x)的图象上相邻两个最高点的距离为π,
所以f(x)的最小正周期T=π,从而ω=eq \f(2π,T)=2.
又因为f(x)的图象关于直线x=eq \f(π,3)对称,
所以2·eq \f(π,3)+φ=kπ+eq \f(π,2),k∈Z,
由-eq \f(π,2)≤φ
(2)由(1)得f eq \b\lc\(\rc\)(\a\vs4\al\c1(\f(α,2)))=eq \r(3)sineq \b\lc\(\rc\)(\a\vs4\al\c1(2·\f(α,2)-\f(π,6)))=eq \f(\r(3),4),
所以sineq \b\lc\(\rc\)(\a\vs4\al\c1(α-\f(π,6)))=eq \f(1,4).
由eq \f(π,6)<α
=eq \r(1-\b\lc\(\rc\)(\a\vs4\al\c1(\f(1,4)))2)=eq \f(\r(15),4).
因此cseq \b\lc\(\rc\)(\a\vs4\al\c1(α+\f(3π,2)))=sin α
=sineq \b\lc\[\rc\](\a\vs4\al\c1(\b\lc\(\rc\)(\a\vs4\al\c1(α-\f(π,6)))+\f(π,6)))
=sineq \b\lc\(\rc\)(\a\vs4\al\c1(α-\f(π,6)))cs eq \f(π,6)+cseq \b\lc\(\rc\)(\a\vs4\al\c1(α-\f(π,6)))sin eq \f(π,6)
=eq \f(1,4)×eq \f(\r(3),2)+eq \f(\r(15),4)×eq \f(1,2)=eq \f(\r(3)+\r(15),8).
22.(12分)如图,将一块圆心角为120°,半径为20 cm的扇形铁片裁成一块矩形,有两种裁法,让矩形一边在扇形的半径OA上(如图①)或让矩形一边与弦AB平行(如图②),请问哪种裁法得到的矩形的最大面积最大?请求出这个最大值.
解 对于题干图①,MN=20sin θ,ON=20cs θ,
所以S1=ON·MN=400sin θcs θ=200sin 2θ.
所以当sin 2θ=1,即θ=45°时,S1max=200 cm2.
对于题干图②,MQ=40sin(60°-α),
MN=20cs(60°-α)-eq \f(20sin60°-α,tan 60°)=eq \f(40\r(3),3)sin α,
所以S2=eq \f(800\r(3),3)eq \b\lc\[\rc\](\a\vs4\al\c1(cs2α-60°-\f(1,2))).
因为0°<α<60°,
所以-60°<2α-60°<60°.
所以当cs(2α-60°)=1,即2α-60°=0,
即α=30°时,S2max=eq \f(400\r(3),3) cm2.
因为eq \f(400\r(3),3)>200,
所以用图②这种裁法得到的矩形的最大面积最大,为eq \f(400\r(3),3) cm2.
高中数学人教B版 (2019)必修 第二册第五章 统计与概率本章综合与测试学案及答案: 这是一份高中数学人教B版 (2019)必修 第二册第五章 统计与概率本章综合与测试学案及答案,共10页。学案主要包含了单项选择题,多项选择题,填空题,解答题等内容,欢迎下载使用。
高中人教B版 (2019)第五章 统计与概率本章综合与测试学案设计: 这是一份高中人教B版 (2019)第五章 统计与概率本章综合与测试学案设计,共9页。学案主要包含了用样本的频率分布估计总体分布,互斥事件与对立事件的概率计算,古典概型,概率与统计的综合问题等内容,欢迎下载使用。
数学第五章 三角函数本章综合与测试学案设计: 这是一份数学第五章 三角函数本章综合与测试学案设计,共8页。学案主要包含了三角函数式的化简,三角函数的图象与性质等内容,欢迎下载使用。

