- 专题09 三角函数的图象与性质小题综合(学生及教师卷)- 十年(2015-2024)高考真题数学分项汇编(全国通用) 试卷 0 次下载
- 专题10 三角恒等变换与解三角形小题综合(学生及教师卷)- 十年(2015-2024)高考真题数学分项汇编(全国通用) 试卷 0 次下载
- 专题20 数列的通项公式及数列求和大题综合(学生及教师卷)- 十年(2015-2024)高考真题数学分项汇编(全国通用) 试卷 0 次下载
- 专题21 立体几何大题综合(学生及教师卷)- 十年(2015-2024)高考真题数学分项汇编(全国通用) 试卷 0 次下载
- 专题22 概率统计及数字特征大题综合(学生及教师卷)- 十年(2015-2024)高考真题数学分项汇编(全国通用) 试卷 0 次下载
专题19 解三角形大题综合(学生及教师卷)- 十年(2015-2024)高考真题数学分项汇编(全国通用)
展开考点01 求面积的值及范围或最值
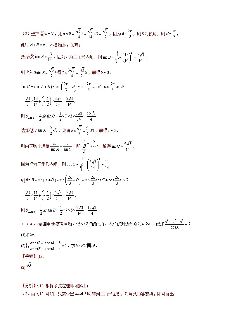
1.(2024·北京·高考真题)在中,内角的对边分别为,为钝角,,.
(1)求;
(2)从条件①、条件②、条件③这三个条件中选择一个作为已知,使得存在,求的面积.
条件①:;条件②:;条件③:.
注:如果选择的条件不符合要求,第(2)问得0分;如果选择多个符合要求的条件分别解答,按第一个解答计分.
2.(2023·全国甲卷·高考真题)记的内角的对边分别为,已知.
(1)求;
(2)若,求面积.
3.(2023·全国乙卷·高考真题)在中,已知,,.
(1)求;
(2)若D为BC上一点,且,求的面积.
4.(2022·浙江·高考真题)在中,角A,B,C所对的边分别为a,b,c.已知.
(1)求的值;
(2)若,求的面积.
5.(2019·全国·高考真题)的内角的对边分别为,已知.
(1)求;
(2)若为锐角三角形,且,求面积的取值范围.
6.(2017·全国·高考真题)的内角的对边分别为已知.
(1)求角和边长;
(2)设为边上一点,且,求的面积.
7.(2016·全国·高考真题)的内角A,B,C的对边分别为a,b,c.已知.
(1)求角C;(2)若,,求的周长.
8.(2015·浙江·高考真题)在中,内角A,B,C所对的边分别为.已知.
(1)求的值;
(2)若,求的面积.
9.(2015·全国·高考真题)已知分别是内角的对边, .
(1)若,求
(2)若,且求的面积.
10.(2015·山东·高考真题)设.
(Ⅰ)求的单调区间;
(Ⅱ)在锐角中,角的对边分别为,若,求面积的最大值.
考点02 求边长、周长的值及范围或最值
1.(2024·全国新Ⅱ卷·高考真题)记的内角A,B,C的对边分别为a,b,c,已知.
(1)求A.
(2)若,,求的周长.
2.(2024·全国新Ⅰ卷·高考真题)记的内角A、B、C的对边分别为a,b,c,已知,
(1)求B;
(2)若的面积为,求c.
3.(2023·全国新Ⅱ卷·高考真题)记的内角的对边分别为,已知的面积为,为中点,且.
(1)若,求;
(2)若,求.
4.(2022·全国新Ⅱ卷·高考真题)记的内角A,B,C的对边分别为a,b,c,分别以a,b,c为边长的三个正三角形的面积依次为,已知.
(1)求的面积;
(2)若,求b.
5.(2022·全国乙卷·高考真题)记的内角的对边分别为,已知.
(1)证明:;
(2)若,求的周长.
6.(2022·北京·高考真题)在中,.
(1)求;
(2)若,且的面积为,求的周长.
7.(2022·全国新Ⅰ卷·高考真题)记的内角A,B,C的对边分别为a,b,c,已知.
(1)若,求B;
(2)求的最小值.
8.(2020·全国·高考真题)的内角A,B,C的对边分别为a,b,c.已知B=150°.
(1)若a=c,b=2,求的面积;
(2)若sinA+sinC=,求C.
9.(2020·全国·高考真题)中,sin2A-sin2B-sin2C=sinBsinC.
(1)求A;
(2)若BC=3,求周长的最大值.
10.(2018·全国·高考真题)在平面四边形中,,,,.
(1)求;
(2)若,求.
11.(2017·全国·高考真题)△ABC的内角的对边分别为,已知△ABC的面积为
(1)求;
(2)若求△ABC的周长.
12.(2017·山东·高考真题)在△ABC中,角A,B,C的对边分别为a,b,c,已知b=3,,S△ABC=3,求A和a.
13.(2017·全国·高考真题)△ABC的内角的对边分别为,已知.
(1)求;
(2)若,△ABC的面积为2,求.
14.(2016·全国·高考真题)的内角A,B,C的对边分别为a,b,c.已知.
(1)求角C;(2)若,,求的周长.
15.(2015·浙江·高考真题)在中,内角 ,, 所对的边分别为, ,,已知 ,= .
(1)求的值;
(2)若的面积为3,求 的值.
16.(2015·山东·高考真题)中,角所对的边分别为.已知 求 和 的值.
考点03 求角和三角函数的值及范围或最值
1.(2024·天津·高考真题)在中,角所对的边分别为,已知.
(1)求;
(2)求;
(3)求的值.
2.(2023·天津·高考真题)在中,角所对的边分别是.已知.
(1)求的值;
(2)求的值;
(3)求的值.
3.(2022·天津·高考真题)在中,角A、B、C的对边分别为a,b,c.已知.
(1)求的值;
(2)求的值;
(3)求的值.
4.(2021·天津·高考真题)在,角所对的边分别为,已知,.
(I)求a的值;
(II)求的值;
(III)求的值.
5.(2021·全国新Ⅰ卷·高考真题)记是内角,,的对边分别为,,.已知,点在边上,.
(1)证明:;
(2)若,求.
6.(2020·天津·高考真题)在中,角所对的边分别为.已知 .
(Ⅰ)求角的大小;
(Ⅱ)求的值;
(Ⅲ)求的值.
7.(2020·浙江·高考真题)在锐角△ABC中,角A,B,C的对边分别为a,b,c,且.
(I)求角B的大小;
(II)求csA+csB+csC的取值范围.
8.(2020·江苏·高考真题)在△ABC中,角A,B,C的对边分别为a,b,c,已知.
(1)求的值;
(2)在边BC上取一点D,使得,求的值.
9.(2019·江苏·高考真题)在△ABC中,角A,B,C的对边分别为a,b,c.
(1)若a=3c,b=,csB=,求c的值;
(2)若,求的值.
10.(2019·北京·高考真题)在△ABC中,a=3,b−c=2,csB=.
(Ⅰ)求b,c的值;
(Ⅱ)求sin(B–C)的值.
11.(2019·全国·高考真题)的内角A,B,C的对边分别为a,b,c,设.
(1)求A;
(2)若,求sinC.
12.(2018·天津·高考真题)在中,内角A,B,C所对的边分别为a,b,c.已知.
(1)求角B的大小;
(2)设a=2,c=3,求b和的值.
13.(2017·天津·高考真题)在中,内角所对的边分别为.已知,.
(I)求的值;
(II)求的值.
14.(2017·天津·高考真题)在中,内角所对的边分别为.已知,,.
(Ⅰ)求和的值;
(Ⅱ)求的值.
15.(2016·四川·高考真题)在ABC中,角A,B,C所对的边分别是a,b,c,且.
(Ⅰ)证明:sinAsinB=sinC;
(Ⅱ)若,求tanB.
16.(2016·浙江·高考真题)在ABC中,内角所对的边分别为a,b,c.已知b+c=2acs B.
(Ⅰ)证明:A=2B;
(Ⅱ)若cs B=,求cs C的值.
17.(2016·浙江·高考真题)在中,内角所对的边分别为,已知.
(1)证明:;
(2)若的面积,求角的大小.
18.(2016·天津·高考真题)在中,内角所对的边分别为a,b,c,已知.
(Ⅰ)求B;
(Ⅱ)若,求sinC的值.
19.(2016·北京·高考真题)在△ABC中,(1)求B的大小;
(2)求cs A+cs C的最大值.
20.(2016·山东·高考真题)在△ABC中,角A,B,C的对边分别为a,b,c.已知2(tanA+tanB)=.
(1)证明:a+b=2c;
(2)求cs C的最小值.
21.(2016·四川·高考真题)在△ABC中,角A,B,C所对的边分别是a,b,c,且.
(Ⅰ)证明:;
(Ⅱ)若,求.
22.(2016·江苏·高考真题)在中,AC=6,
(1)求AB的长;
(2)求的值.
23.(2015·江苏·高考真题)在中,已知.
(1)求的长;
(2)求的值.
24.(2015·天津·高考真题)在中,内角所对的边分别为,已知的面积为.
(1) 求和的值;
(2) 求的值.
25.(2015·四川·高考真题)如图,A,B,C,D为平面四边形ABCD的四个内角.
(1)证明:
(2)若求的值.
26.(2015·湖南·高考真题)设的内角的对边分别为.
(Ⅰ)证明:;
(Ⅱ)若,且为钝角,求.
27.(2015·湖南·高考真题)设的内角,,的对边分别为,,,,且为钝角. (1)证明:; (2)求的取值范围.
28.(2015·全国·高考真题)△ABC中D是BC上的点,AD平分BAC,BD=2DC.
(Ⅰ)求 ;
(Ⅱ)若,求.
考点04 求三角形的高、中线、角平分线及其他线段长
1.(2023·全国新Ⅰ卷·高考真题)已知在中,.
(1)求;
(2)设,求边上的高.
2.(2018·北京·高考真题)在中,.
(1)求;
(2)求边上的高.
3.(2018·全国·高考真题)在平面四边形中,,,,.
(1)求;
(2)若,求.
4.(2015·安徽·高考真题)在中,,点D在边上,,求的长.
5.(2015·全国·高考真题)中,D是BC上的点,AD平分∠BAC,面积是面积的2倍.
(1)求;
(2)若AD=1,DC=,求BD和AC的长.
考点05 三角形中的证明问题
1.(2022·全国乙卷·高考真题)记的内角A,B,C的对边分别为a,b,c﹐已知.
(1)若,求C;
(2)证明:
2.(2021·全国新Ⅰ卷·高考真题)记是内角,,的对边分别为,,.已知,点在边上,.
(1)证明:;
(2)若,求.
3.(2016·四川·高考真题)在ABC中,角A,B,C所对的边分别是a,b,c,且.
(Ⅰ)证明:sinAsinB=sinC;
(Ⅱ)若,求tanB.
4.(2016·浙江·高考真题)在ABC中,内角所对的边分别为a,b,c.已知b+c=2acs B.
(Ⅰ)证明:A=2B;
(Ⅱ)若cs B=,求cs C的值.
5.(2016·山东·高考真题)在△ABC中,角A,B,C的对边分别为a,b,c.已知2(tanA+tanB)=.
(1)证明:a+b=2c;
(2)求cs C的最小值.
6.(2016·四川·高考真题)在△ABC中,角A,B,C所对的边分别是a,b,c,且.
(Ⅰ)证明:;
(Ⅱ)若,求.
7.(2015·湖南·高考真题)设的内角的对边分别为.
(Ⅰ)证明:;
(Ⅱ)若,且为钝角,求
考点
十年考情(2015-2024)
命题趋势
考点1 求面积的值及范围或最值
(10年7考)
2024·北京卷、2023·全国甲卷、2023·全国乙卷
2022·浙江卷、2019·全国卷、2017·全国卷
2016·全国卷、2015·浙江卷、2015·全国卷
2015·山东卷
掌握正弦定理、余弦定理及其相关变形应用,会用三角形的面积公式解决与面积有关的计算问题,会用正弦定理、余弦定理等知识和方法解决三角形中的综合问题,会利用基本不等式和相关函数性质解决三角形中的最值及范围问题
本节内容是新高考卷的必考内容,一般给以大题来命题、考查正余弦定理和三角形面积公式在解三角形中的应用,同时也结合三角函数及三角恒等变换等知识点进行综合考查,也常结合基本不等式和相关函数性质等知识点求解范围及最值,需重点复习。
考点2 求边长、周长的值及范围或最值
(10年8考)
2024·全国新Ⅱ卷、2024·全国新Ⅰ卷、2023·全国新Ⅱ卷、2022·全国新Ⅱ卷、2022·全国乙卷、2022·北京卷、2022·全国新Ⅰ卷、2020·全国卷、2020·全国卷、2018·全国卷、2017·全国卷、2017·山东卷
2017·全国卷、2016·全国卷、2015·浙江卷
2015·山东卷
考点3 求角和三角函数的值及范围或最值
(10年10考)
2024·天津卷、2023·天津卷、2022·天津卷、2021·天津卷、2021·全国新Ⅰ卷、2020·天津卷
2020·浙江卷、2020·江苏卷、2019·江苏卷
2019·北京卷、2019·全国卷、2018·天津卷
2017·天津卷、2017·天津卷、2016·四川卷
2016·浙江卷、2016·浙江卷、2016·天津卷
2016·北京卷、2016·山东卷、2016·四川卷
2016·江苏卷、2015·江苏卷、2015·天津卷
2015·四川卷、2015·湖南卷、2015·湖南卷
2015·全国卷
考点4 求三角形的高、中线、角平分线及其他线段长
(10年几考)
2023·全国新Ⅰ卷、2018·北京卷、2018·全国卷
2015·安徽卷、2015·全国卷
考点5 三角形中的证明问题
(10年4考)
2022·全国乙卷、2021·全国新Ⅰ卷、2016·四川卷
2016·浙江卷、2016·山东卷、2016·四川卷
2015·湖南卷
专题20 数列的通项公式及数列求和大题综合(学生及教师卷)- 十年(2015-2024)高考真题数学分项汇编(全国通用): 这是一份专题20 数列的通项公式及数列求和大题综合(学生及教师卷)- 十年(2015-2024)高考真题数学分项汇编(全国通用),文件包含专题20数列的通项公式及数列求和大题综合教师卷-十年2015-2024高考真题数学分项汇编全国通用docx、专题20数列的通项公式及数列求和大题综合学生卷-十年2015-2024高考真题数学分项汇编全国通用docx等2份试卷配套教学资源,其中试卷共101页, 欢迎下载使用。
专题08 数列小题综合(学生及教师卷)- 十年(2015-2024)高考真题数学分项汇编(全国通用): 这是一份专题08 数列小题综合(学生及教师卷)- 十年(2015-2024)高考真题数学分项汇编(全国通用),文件包含专题08数列小题综合教师卷-十年2015-2024高考真题数学分项汇编全国通用docx、专题08数列小题综合学生卷-十年2015-2024高考真题数学分项汇编全国通用docx等2份试卷配套教学资源,其中试卷共53页, 欢迎下载使用。
专题21 立体几何大题综合(教师卷)- 十年(2015-2024)高考真题数学分项汇编(全国通用): 这是一份专题21 立体几何大题综合(教师卷)- 十年(2015-2024)高考真题数学分项汇编(全国通用),共401页。试卷主要包含了如图,在正四棱柱中,等内容,欢迎下载使用。

