还剩10页未读,
继续阅读
2025年高考数学一轮复习 第六章 数列-数列中的综合问题【课件】
展开
这是一份2025年高考数学一轮复习 第六章 数列-数列中的综合问题【课件】,共18页。
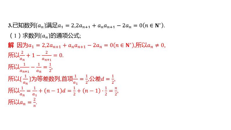
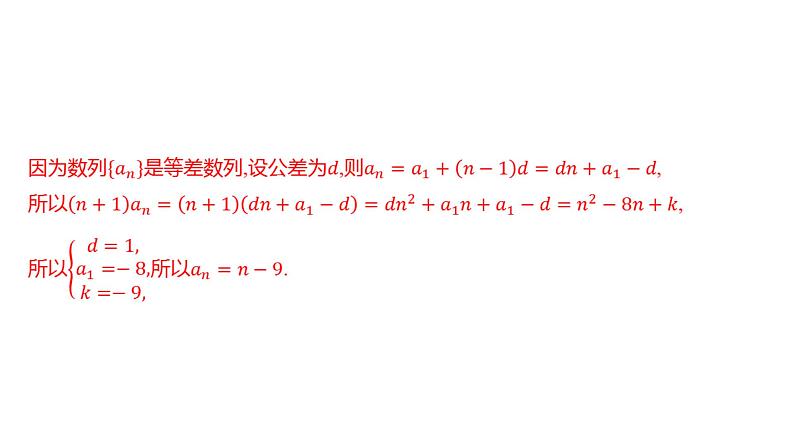
第六章 数列解答题专项(三)数列中的综合问题
相关课件
2025届高考数学一轮总复习第六章数列高考解答题专项三数列中的综合问题课件:
这是一份2025届高考数学一轮总复习第六章数列高考解答题专项三数列中的综合问题课件,共36页。
广东专用2024版高考数学大一轮总复习第六章数列综合突破三数列综合问题课件:
这是一份广东专用2024版高考数学大一轮总复习第六章数列综合突破三数列综合问题课件,共53页。PPT课件主要包含了核心考点精准突破,课时作业知能提升,考点一基本综合问题,考点五奇偶数列等内容,欢迎下载使用。
备战2024高考一轮复习数学(理) 第六章 数列 习题课——数列的综合问题课件PPT:
这是一份备战2024高考一轮复习数学(理) 第六章 数列 习题课——数列的综合问题课件PPT,共21页。

