2025高考数学一轮复习§6.7数列中的综合问题【课件】
展开
这是一份2025高考数学一轮复习§6.7数列中的综合问题【课件】,共60页。PPT课件主要包含了∴an=2n+2,所以a≥-2,课时精练,填空题,解得a3=4等内容,欢迎下载使用。
数列的综合运算问题以及数列与函数、不等式等知识的交汇问题,是历年高考的热点内容.一般围绕等差数列、等比数列的知识命题,涉及数列的函数性质、通项公式、前n项和公式等.
例1 已知公差不为0的等差数列{an}满足a2=6,a1,a3,a7成等比数列.(1)求数列{an}的通项公式;
题型一 等差数列、等比数列的综合运算
根据题意,设等差数列{an}的公差为d(d≠0),由于a2=6,a1,a3,a7成等比数列,
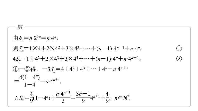
(2)设bn=n· ,求数列{bn}的前n项和Sn.
由bn=n·22n=n·4n,则Sn=1×4+2×42+3×43+…+(n-1)·4n-1+n·4n,①4Sn=1×42+2×43+3×44+…+(n-1)·4n+n·4n+1,②①-②得,-3Sn=4+42+43+…+4n-n·4n+1
数列的综合运算问题常将等差、等比数列结合,两者相互联系、相互转化,解答这类问题的方法:寻找通项公式,利用性质进行转化.
跟踪训练1 (2024·无锡模拟)已知等差数列{an}的前n项和为Sn,公差d≠0,a3是a1,a13的等比中项,S5=25.(1)求{an}的通项公式;
∴an=1+2(n-1)=2n-1.
(2)若数列{bn}满足b1=-1,bn+bn+1=Sn,求b20.
bn+1+bn+2=(n+1)2, ②②-①得,bn+2-bn=2n+1,∵b1=-1,∴b2=2.∴b20=b20-b18+b18-b16+…+b4-b2+b2=37+33+29+…+5+2
题型二 数列与其他知识的交汇问题
命题点1 数列与不等式的交汇
方法一 当n取奇数时,
同理可得b3>b5,b5>b7,…,于是可得b1>b3>b5>b7>…,故A不正确;
同理可得b40时,f(x)>0; 当x0.再根据a1+a2 023=2a1 012>0,所以a1>-a2 023,则f(a1)>f(-a2 023)=-f(a2 023),所以f(a1)+f(a2 023)>0.
同理可得f(a2)+f(a2 022)>0,f(a3)+f(a2 021)>0,…,所以f(a1)+f(a2)+f(a3)+…+f(a2 022)+f(a2 023)=[f(a1)+f(a2 023)]+[f(a2)+f(a2 022)]+…+[f(a1 011)+f(a1 013)]+f(a1 012)>0.
数列与函数、不等式的综合问题关键在于通过函数关系寻找数列的递推关系,求出数列的通项公式或前n项和公式,再利用数列或数列对应的函数解决最值、范围问题,通过放缩进行不等式的证明.
跟踪训练2 (1)分形的数学之美,是以简单的基本图形,凝聚扩散,重复累加,以迭代的方式而形成的美丽的图案.自然界中存在着许多令人震撼的天然分形图案,如鹦鹉螺的壳、蕨类植物的叶子、孔雀的羽毛、菠萝等.如图为正方形经过多次自相似迭代形成的分形图形,且相邻的两个正方形的对应边所成的角为15°.若从外往里最大的正方形边长为9,则第5个正方形的边长为
设第n个正方形的边长为an,则由已知可得an=an+1sin 15°+an+1cs 15°,
则数列{xn}是等差数列,公差为4,且f(xn)=-2,n∈N*,因此A=2,函数f(x)的最小正周期是4,
一、单项选择题1.(2023·广州模拟)已知f(x)=2x2,数列{an}满足a1=2,且对一切n∈N*,有an+1=f(an),则A.{an}是等差数列B.{an}是等比数列C.{lg2an}是等比数列D.{lg2an+1}是等比数列
所以lg2an+1=1+2lg2an,所以lg2an+1+1=2(lg2an+1),n∈N*,所以{lg2an+1}是等比数列,又lg2a1+1=2,所以lg2an+1=2n,所以lg2an=2n-1,故A,B,C错误,D正确.
2.(2024·铜仁模拟)为了进一步学习贯彻党的二十大精神,推进科普宣传教育,激发学生的学习热情,营造良好的学习氛围,不断提高学生对科学、法律、健康等知识的了解,某学校组织高一10个班级的学生开展“红色百年路·科普万里行”知识竞赛.统计发现,10个班级的平均成绩恰好成等差数列,最低平均成绩为70,公差为2,则这10个班级的平均成绩的第40百分位数为A.76 B.77 C.78 D.80
记10个班级的平均成绩形成的等差数列为{an},则an=70+2(n-1)=2n+68,
设等比数列{an}的公比为q,
4.有一塔形几何体由若干个正方体构成,构成方式如图所示,上层正方体下底面的四个顶点是下层正方体上底面各边的中点.已知最底层正方体的棱长为8,如果该塔形几何体的最上层正方体的棱长等于1,那么该塔形几何体中正方体的个数是A.5 B.7 C.10 D.12
令an=1,得n=7,故该塔形几何体中正方体的个数为7.
而要满足an>an+1,故{an}要单调递减,
当n≤7时,an=an-6,而要满足an>an+1,故{an}要单调递减,所以0
相关课件
这是一份2025高考数学一轮复习-第6章-数列-规范解答 数列综合问题【课件】,共15页。PPT课件主要包含了►分值分布,明确思维·答题知策略等内容,欢迎下载使用。
这是一份2025高考数学一轮复习-第6章-数列-第5讲 数列的综合问题【课件】,共27页。PPT课件主要包含了教材再现四基诊断,重点串讲能力提升等内容,欢迎下载使用。
这是一份第六章 §6.7 子数列问题-【北师大版】2025年高考数学大一轮复习(课件+讲义+练习),文件包含第六章§67子数列问题-北师大版2025数学大一轮复习课件pptx、第六章§67子数列问题-北师大版2025数学大一轮复习讲义练习docx、第六章§67子数列问题-北师大版2025数学大一轮复习讲义教师版docx、第六章§67子数列问题-北师大版2025数学大一轮复习讲义学生版docx等4份课件配套教学资源,其中PPT共51页, 欢迎下载使用。

