备战2024高考一轮复习数学(理) 第六章 数列 习题课——数列的综合问题课件PPT
展开
这是一份备战2024高考一轮复习数学(理) 第六章 数列 习题课——数列的综合问题课件PPT,共21页。
[方法技巧]等差、等比数列的综合问题的解题技巧(1)将已知条件转化为等差与等比数列的基本量之间的关系,利用方程思想、通项公式和前n项和公式求解.求解时,应“瞄准目标”,灵活应用数列的有关性质,简化运算过程.求解过程中注意合理选择有关公式,正确判断是否需要分类讨论.(2)一定条件下,等差数列与等比数列之间是可以相互转化的,即{an}为等差数列⇔{aan}(a>0且a≠1)为等比数列;{an}为正项等比数列⇔{lgaan}(a>0且a≠1)为等差数列.
[针对训练]设{an}是等差数列,其前n项和为Sn(n∈N*);{bn}是等比数列,公比大于0,其前n项和为Tn(n∈N*),已知b1=1,b3=b2+2,b4=a3+a5,b5=a4+2a6.(1)求Sn和Tn;(2)若Sn+(T1+T2+…+Tn)=an+4bn,求正整数n的值.
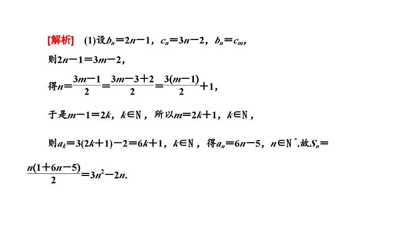
综合考法二 公共项问题将数列{an}与{bn}看成两个集合,这两个集合的交集中的元素按照一定的顺序排成一列数,形成的新数列,成为两个数列的公共数列,其中的这些元素就是数列的公共项.[典例] (1)(2020·新高考全国卷Ⅰ)将数列{2n-1}与{3n-2}的公共项从小到大排列得到数列{an},则{an}的前n项和为________.(2)已知两个等差数列{an}:5,8,11,…与{bn}:3,7,11,…,它们的公共项组成数列{cn},则数列{cn}的通项公式cn=________;若数列{an}和{bn}的项数均为100,则{cn}的项数是________.
[方法技巧] 求两个数列的公共项的2种方法
[针对训练]1.我国古代数学名著《孙子算经》载有一道数学问题:“今有物不知其数,三三数之剩二,五五数之剩二,七七数之剩二,问物几何?”根据这一数学思想,所有被3除余2的自然数从小到大组成数列{an},所有被5除余2的自然数从小到大组成数列{bn},把{an}和{bn}的公共项从小到大得到数列{cn},则( )A.a3+b5=c3 B.b28=c10C.a5b2>c8 D.c9-b9=a26解析:根据题意,数列{an}是首项为2,公差为3的等差数列,an=2+3(n-1)=3n-1,数列{bn}是首项为2,公差为5的等差数列,bn=2+5(n-1)=5n-3,数列{an}与{bn}的公共项从小到大得到数列{cn},故数列{cn}是首项为2,公差为15的等差数列,cn=2+15(n-1)=15n-13.
对于A,a3+b5=(3×3-1)+(5×5-3)=30,c3=15×3-13=32,a3+b5≠c3,A错误;对于B,b28=5×28-3=137,c10=15×10-13=137,b28=c10,B正确;对于C,a5=3×5-1=14,b2=5×2-3=7,c8=15×8-13=107,a5b2=14×7=98
相关课件
这是一份广东专用2024版高考数学大一轮总复习第六章数列综合突破三数列综合问题课件,共53页。PPT课件主要包含了核心考点精准突破,课时作业知能提升,考点一基本综合问题,考点五奇偶数列等内容,欢迎下载使用。
这是一份备战2024高考一轮复习数学(理) 第六章 数列 第一节 数列的概念及通项公式课件PPT,共41页。PPT课件主要包含了数列的有关概念,确定的顺序,每一个数,整数集N,列表法,通项公式法,它的序号n,相邻两项,多项之间等内容,欢迎下载使用。
这是一份备战2024高考一轮复习数学(理) 第六章 数列 第四节 数列求和课件PPT,共28页。

