


所属成套资源:新教材适用2023_2024学年高中数学新人教A版必修第一册素养作业
- 新教材适用2023_2024学年高中数学第5章三角函数5.6函数y=Asinωx+φ素养作业新人教A版必修第一册 试卷 0 次下载
- 新教材适用2023_2024学年高中数学第5章三角函数5.25.2.1三角函数的概念第1课时三角函数的概念一素养作业新人教A版必修第一册 试卷 0 次下载
- 新教材适用2023_2024学年高中数学第5章三角函数5.25.2.1三角函数的概念第2课时三角函数的概念二素养作业新人教A版必修第一册 试卷 0 次下载
- 新教材适用2023_2024学年高中数学第5章三角函数5.25.2.2同角三角函数的基本关系素养作业新人教A版必修第一册 试卷 0 次下载
- 新教材适用2023_2024学年高中数学第5章三角函数综合测试新人教A版必修第一册 试卷 0 次下载
新教材适用2023_2024学年高中数学本册综合检测新人教A版必修第一册
展开
这是一份新教材适用2023_2024学年高中数学本册综合检测新人教A版必修第一册,共10页。
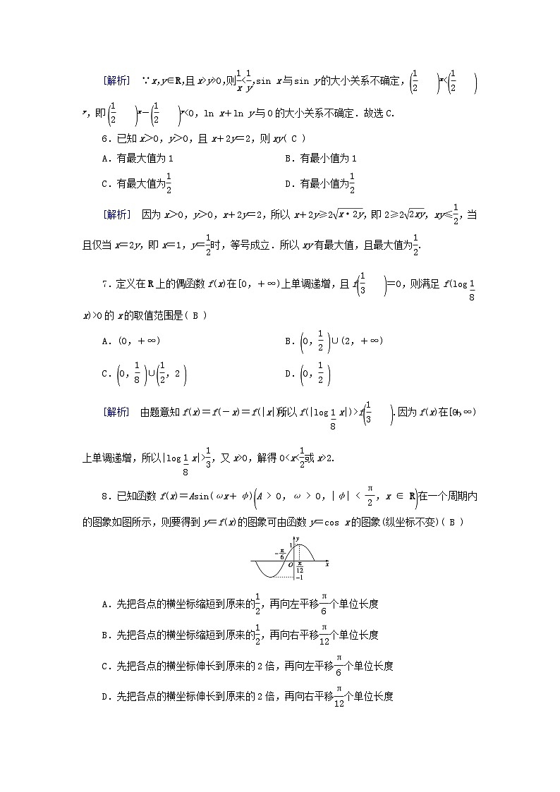
本册综合检测考试时间120分钟,满分150分.一、单项选择题(本大题共8小题,每小题5分,共40分.在每小题给出的四个选项中,只有一项是符合题目要求的)1.若集合A={x|-2<x<1},B={x|x<-1或x>3},则A∩B=( A )A.{x|-2<x<-1} B.{x|-2<x<3}C.{x|-1<x<1} D.{x|1<x<3}[解析] 在数轴上表示出集合A,B,如图所示.由图知A∩B={x|-2<x<-1}.2.已知p:x为自然数,q:x为整数,则p是q的( A )A.充分不必要条件B.必要不充分条件C.充要条件D.既不充分也不必要条件[解析] 若x为自然数,则它必为整数,即p⇒q.但x为整数不一定是自然数,如x=-2,即qq.故p是q的充分不必要条件.3.sin 1,cos 1,tan 1的大小关系为( A )A.tan 1>sin 1>cos 1 B.sin 1>tan 1>cos 1C.sin 1>cos 1>tan 1 D.tan 1>cos 1>sin 1[解析] ∵sin 1>sin=,cos 1<cos=,tan 1>tan=1,∴tan 1>sin 1>cos 1.4.lg 2-lg -eln 2-+的值为( A )A.-1 B.C.3 D.-5[解析] 原式=lg 2+lg 5-2-2+2=lg 10-2=1-2=-1.故选A.5.已知x,y∈R,则x>y>0,则( C )A.->0 B.sin x-sin y>0C.x-y<0 D.ln x+ln y>0[解析] ∵x,y∈R,且x>y>0,则<,sin x与sin y的大小关系不确定,x<y,即x-y<0,ln x+ln y与0的大小关系不确定.故选C.6.已知x>0,y>0,且x+2y=2,则xy( C )A.有最大值为1 B.有最小值为1C.有最大值为 D.有最小值为[解析] 因为x>0,y>0,x+2y=2,所以x+2y≥2,即2≥2,xy≤,当且仅当x=2y,即x=1,y=时,等号成立.所以xy有最大值,且最大值为.7.定义在R上的偶函数f(x)在[0,+∞)上单调递增,且f=0,则满足f(logx)>0的x的取值范围是( B )A.(0,+∞) B.∪(2,+∞)C.∪ D.[解析] 由题意知f(x)=f(-x)=f(|x|),所以f(|logx|)>f.因为f(x)在[0,+∞)上单调递增,所以|logx|>,又x>0,解得0<x<或x>2.8.已知函数f(x)=Asin(ωx+φ)在一个周期内的图象如图所示,则要得到y=f(x)的图象可由函数y=cos x的图象(纵坐标不变)( B )A.先把各点的横坐标缩短到原来的,再向左平移个单位长度B.先把各点的横坐标缩短到原来的,再向右平移个单位长度C.先把各点的横坐标伸长到原来的2倍,再向左平移个单位长度D.先把各点的横坐标伸长到原来的2倍,再向右平移个单位长度[解析] 由函数f(x)=Asin(ωx+φ)在一个周期内的图象可得A=1,T=·=+,解得ω=2.把点的坐标代入函数的解析式可得1=sin,即sin=1.再由|φ|<,可得φ=,故函数f(x)=sin.把函数y=cos x的图象上各点的横坐标缩短到原来的,可得y=cos 2x的图象,再向右平移个单位长度可得y=cos 2=cos=sin=sin=sin=sin=f(x)的图象.故选B.二、多项选择题(本大题共4小题,每小题5分,共20分.在每小题给出的四个选项中,有多个选项符合题目要求,全部选对的得5分,有选错的得0分,部分选对的得2分)9.下列函数是偶函数且值域为[0,+∞)的是( AD )A.y=|x| B.y=x3C.y=2|x| D.y=x2+|x|[解析] y=|x|是偶函数,且值域为[0,+∞);y=x3是奇函数;y=2|x|是偶函数,但值域为[1,+∞);y=x2+|x|是偶函数,且值域为[0,+∞),所以符合题意的有AD.10.下列命题是真命题的是( BD )A.若幂函数f(x)=xα过点,则α=-B.∃x∈(0,1),x>logxC.∀x∈(0,+∞),logx>logxD.命题“∃x∈R,sin x+cos x<1”的否定是“∀x∈R,sin x+cos x≥1”[解析] f=α=4,所以α=-2,故A错误;在同一平面直角坐标系上画出y=x与y=logx两函数图象,如图1所示.由图可知∃x∈(0,1),x>logx,故B正确;在同一平面直角坐标系上画出y=logx与y=logx两函数图象,如图2所示.由图可知,当x∈(0,1)时,logx>logx,当x=1时,logx=logx,当x∈(1,+∞)时,logx<logx,故C错误;根据存在量词命题的否定为全称量词命题可知,命题“∃x∈R,sin x+cos x<1”的否定是“∀x∈R,sin x+cos x≥1”,故D正确.11.函数f(x)=sin 2x-(cos2x-sin2x)的图象为C,如下结论正确的是( ABC )A.f(x)的最小正周期为πB.对任意的x∈R,都有f+f=0C.f(x)在上是增函数D.由y=2sin 2x的图象向右平移个单位长度可以得到图象C[解析] f(x)=sin 2x-cos 2x=2sin,f(x)的最小正周期为π,故A正确;f=2sin=0,故图象关于对称,B正确;当x∈时,2x-∈,所以f(x)在上是增函数,C正确;由y=2sin 2x向右平移个单位长度得到y=2sin 2=2sin的图象,故D错误.故选ABC.12.已知函数f(x)=x-log2x,0<a<b<c,f(a)f(b)f(c)<0,实数d是函数f(x)的一个零点.给出下列四个判断,其中可能成立的是( ABD )A.0<d<a B.d>bC.d>c D.d<c[解析] 由y=x在(0,+∞)上单调递减,y=log2x在(0,+∞)上单调递增,可得f(x)=x-log2x在定义域(0,+∞)上是减函数,当0<a<b<c时,f(a)>f(b)>f(c),又因为f(a)f(b)f(c)<0,f(d)=0,所以①f(a),f(b),f(c)都为负值,则a,b,c都大于d,②f(a)>0,f(b)>0,f(c)<0,则a,b都小于d,c大于d.综合①②可得d>c不可能成立.三、填空题(本大题共4小题,每小题5分,共20分)13.化简= cos 10°_.[解析] ===cos 10°.14.函数f(x)=在区间[2,3]上的最大值为 _.[解析] ∵f(x)==1-在区间[2,3]上单调递增,∴函数f(x)=在区间[2,3]上的最大值为f(3)==.15.设ω>0,若函数f(x)=2sin ωx在上单调递增,则ω的取值范围是 (0,1]∪_.[解析] 令2kπ-≤ωx≤2kπ+(k∈Z),解得-≤x≤+(k∈Z),当k=0时,-≤x≤,由题意可得即0<ω≤1,当k=1时,≤x≤,由题意可得即≤ω≤5.故答案为(0,1]∪.16.设函数f(x)=的最大值是a,则a= _.若对于任意的x∈[0,2),a>x2-x+b恒成立,则b的取值范围是 _.[解析] 当x≤0时,f(x)≤0;当x>0时,f(x)==≤==,当且仅当x=,即x=3时取等号,综上可得,f(x)max=,即a=.由题意知x2-x+b<在x∈[0,2)上恒成立,即x2-x+b-<0在x∈[0,2)上恒成立.令φ(x)=x2-x+b-,x∈[0,2),则φ(x)<φ(2),则4-2+b-≤0,即b≤-.四、解答题(本大题共6小题,共70分.解答应写出文字说明、证明过程或演算步骤)17.(本小题满分10分)在①{x|a-1≤x≤a},②{x|a≤x≤a+2},③{x|≤x≤+3}这三个条件中任选一个,补充在下面的问题中.若问题中的a存在,求a的值;若a不存在,请说明理由.已知集合A=_________,B={x|x2-4x+3≤0}.若“x∈A”是“x∈B”的充分不必要条件,求实数a的取值范围.注:如果选择多个条件分别解答,按第一个解答计分.[解析] 由题意,知A不为空集,B={x|x2-4x+3≤0}={x|1≤x≤3}.因为“x∈A”是“x∈B”的充分不必要条件,所以AB.当选条件①时,或解得2≤a≤3.所以实数a的取值范围是[2,3].当选条件②时,或不等式组无解,所以不存在a的值满足题意.当选条件③时,或不等式组无解,所以不存在a的值满足题意.18.(本小题满分12分)已知函数f(x)=且点(4,2)在函数f(x)的图象上.(1)求函数f(x)的解析式,并在如图所示的平面直角坐标系中画出函数f(x)的图象;(2)求不等式f(x)<1的解集;(3)若方程f(x)-2m=0有两个不相等的实数根,求实数m的取值范围.[解析] (1)∵点(4,2)在函数的图象上,∴f(4)=loga4=2,解得a=2.∴f(x)=函数的图象如图所示.(2)不等式f(x)<1等价于或解得0<x<2或x<-1,∴原不等式的解集为{x|0<x<2或x<-1}.(3)∵方程f(x)-2m=0有两个不相等的实数根,∴函数y=2m的图象与函数y=f(x)的图象有两个不同的交点.结合图象可得2m≤2,解得m≤1.∴实数m的取值范围为(-∞,1].19.(本小题满分12分)已知函数f(x)=cos·cos,g(x)=sin 2x-.(1)求函数f(x)的最小正周期;(2)求函数h(x)=f(x)-g(x)的最大值,并求使h(x)取得最大值时x的集合.[解析] (1)f(x)=·=cos2x-sin2x=-=cos 2x-,∴f(x)的最小正周期为T==π.(2)h(x)=f(x)-g(x)=cos 2x-sin 2x=cos,当2x+=2kπ(k∈Z),即x=kπ-(k∈Z)时,h(x)有最大值.此时x的集合为.20.(本小题满分12分)某工厂现有职工320人,平均每人每年可创利20万元,该工厂打算购进一批智能机器人(每购进一台机器人,将有一名职工下岗).据测算,如果购进智能机器人不超过100台,每购进一台机器人,所有留岗职工(机器人视为机器,不作为职工看待)在机器人的帮助下,每人每年多创利2千元,每台机器人购置费及日常维护费用折合后平均每年2万元,工厂为体现对职工的关心,给予下岗职工每人每年4万元补贴;如果购进智能机器人数量超过100台,则工厂的年利润y=8 202+lg x万元(x为机器人台数且x<320).(1)写出工厂的年利润y与购进智能机器人台数x的函数关系;(2)为获得最大经济效益,工厂应购进多少台智能机器人?此时工厂的最大年利润是多少?(参考数据:lg 2≈0.301 0)[解析] (1)当购进智能机器人台数x≤100时,工厂的年利润y=(320-x)(20+0.2x)-4x-2x=-0.2x2+38x+6 400,∴y=(2)由(1)知,当0≤x≤100时,y=-0.2(x-95)2+8 205,当x=95时,ymax=8 205;当x>100时,y=8 202+lg x为增函数,8 202+lg x<8 202+lg 320=8 202+1+5lg 2≈8 204.505<8 205.综上可得,工厂购进95台智能机器人时获得最大经济效益,此时的最大年利润为8 205万元.21.(本小题满分12分)已知f(x)=sin+sin+2cos2x,x∈R.(1)求f(x)的最小正周期;(2)求f(x)的单调减区间;(3)若函数g(x)=f(x)-m在区间上没有零点,求m的取值范围.[解析] (1)f(x)=sin 2x+cos 2x+sin 2x-cos 2x+2cos2x=sin 2x+cos 2x+1=sin+1.∵ω=2,∴T=π.(2)由+2kπ≤2x+≤+2kπ,k∈Z,得+kπ≤x≤+kπ,k∈Z,∴f(x)的单调减区间为,k∈Z.(3)作出函数y=f(x)在上的图象如图所示.函数g(x)无零点,即方程f(x)-m=0无解,亦即函数y=f(x)与y=m的图象在x∈上无交点,从图象可看出f(x)在上的值域为[0,+1],则m>+1或m<0.所以m的取值范围为{m|m>+1或m<0}.22.(本小题满分12分)已知定义域为R的函数f(x)=是奇函数.(1)求实数a的值;(2)判断并用定义证明该函数在定义域R上的单调性;(3)若方程f(4x-b)+f(-2x+1)=0在(-3,log23)内有解,求实数b的取值范围.[解析] (1)依题意得f(0)==0,故a=1,此时f(x)=,对任意x∈R均有f(-x)===-f(x),∴f(x)=是奇函数,∴a=1.(2)f(x)在R上是减函数,证明如下:任取x1,x2∈R且x1<x2,则f(x1)-f(x2)=-==.∵x1<x2,∴2x1<2x2,∴2x2-2x1>0,∴f(x1)-f(x2)>0,∴f(x1)>f(x2).∴该函数在定义域R上是减函数.(3)由函数f(x)为奇函数知,f(4x-b)+f(-2x+1)=0⇔f(4x-b)=f(2x+1).又函数f(x)是单调递减函数,从而4x-b=2x+1.即方程b=4x-2x+1在(-3,log23)内有解.令y=g(x)=4x-2x+1,只要b在g(x)的值域内即可.∵g(x)=22x-2·2x=(2x-1)2-1,且2x∈,∴g(x)∈[-1,3).∴当b∈[-1,3)时,原方程在(-3,log23)内有解.
