高中数学新教材同步必修第一册 章末、期中、期末检测试卷
展开再练一课(范围:5.5~5.6)
1.已知函数f(x)=sin,则下列结论错误的是( )
A.f(x)的最小正周期为π
B.f(x)的图象关于直线x=对称
C.f(x)的一个零点为
D.f(x)在区间上单调递减
答案 B
解析 函数f(x)=sin,周期为T==π,故A正确;令2x+=+kπ,k∈Z⇒对称轴为x=-+,k∈Z,x=不是对称轴,故B不正确;令2x+=kπ,k∈Z⇒函数零点为x=-+,k∈Z,当k=1时,得到一个零点为;由2x+∈,k∈Z,得单调递减区间为,k∈Z,区间是其中的一个子区间,故D正确.故选B.
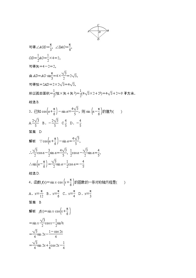
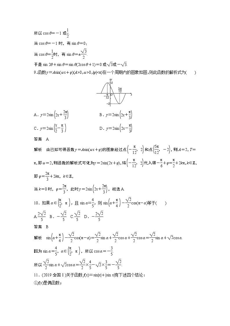
2.《九章算术》是我国古代数学成就的杰出代表作,其中《方田》章给出计算弧田面积所用的经验方式为:弧田面积=(弦×矢+矢2),弧田(如图)由圆弧和其所对弦所围成,公式中“弦”指圆弧所对弦长,“矢”等于半径长与圆心到弦的距离之差,现有圆心角为,半径等于4米的弧田,按照上述经验公式计算所得弧田面积约是(≈1.73)( )
A.6平方米 B.9平方米 C.12平方米 D.15平方米
答案 B
解析 如图,由题意可得∠AOB=,OA=4,在Rt△AOD中,
可得∠AOD=,∠DAO=,
OD=AO=×4=2,
可得矢=4-2=2,
由AD=AO·sin=4×=2,
可得弦=2AD=2×2=4,
所以弧田面积=(弦×矢+矢2)=(4×2+22)=4+2≈9平方米.
故选B.
3.已知cos-sin α=,则sin的值为( )
A. B.- C. D.-
答案 D
解析 ∵cos-sin α=,
∴cos α-sin α=,cos α-sin α=,
∴sin=sin α-cos α=-.
故选D.
4.函数f(x)=sin x·cos的图象的一条对称轴方程是( )
A.x= B.x= C.x= D.x=
答案 B
解析 f(x)=sin x·cos
=sin x·cos x-sin2x
=sin 2x-
=sin 2x+cos 2x-
=sin-,
∴f(x)=sin-,
令2x+=+kπ(k∈Z),
解得x=+(k∈Z),k=0时,x=,
故选B.
5.已知函数f(x)=2sin xcos x+2cos2x+1,则( )
A.f(x)的最小正周期为π,最大值为3
B.f(x)的最小正周期为π,最大值为4
C.f(x)的最小正周期为2π,最大值为3
D.f(x)的最小正周期为2π,最大值为4
答案 B
解析 ∵f(x)=2sin xcos x+2cos2x+1
=sin 2x+cos 2x+2=2sin+2,
∴最大值为4,T==π.
故选B.
6.若sin=,则cos 2x=________.
答案 -
解析 由诱导公式得sin=-cos x=,
故cos x=-.
由二倍角公式得cos 2x=2cos2x-1=22-1=-.
7.函数f(x)=sin x+cos x在[0,π]上的单调递减区间为________.
答案
解析 由题意得f(x)=2sin,
由2kπ+≤x+≤2kπ+,k∈Z,
得2kπ+≤x≤2kπ+,k∈Z,
令k=0得≤x≤,
因为x∈[0,π],所以函数的单调递减区间为.
8.已知函数f(x)=Asin(ωx+φ)的图象如图所示,为了得到g(x)=sin 3x的图象,只需将f(x)的图象向右平移________个单位长度.
答案
解析 ∵只与平移有关,没有改变函数图象的形状,
∴ω=3,
又函数的图象在减区间内与x轴的交点是,
∴3×+φ=π+2kπ,k∈Z.
又|φ|<.
于是φ=,则f(x)=sin,
故g(x)=sin 3x=sin,
∴函数f(x)的图象要向右平移个单位长度.
9.已知函数f(x)=4cos xsin+1,
(1)求f(x)的单调递增区间;
(2)求f(x)在区间上的最大值和最小值.
解 (1)f(x)=4cos xsin+1
=4cos x+1
=2sin xcos x-2cos2x+1
=sin 2x-cos 2x
=2sin,
令-+2kπ≤2x-≤+2kπ,k∈Z,
解得-+kπ≤x≤+kπ,k∈Z,
故函数的单调递增区间为,k∈Z.
(2)因为-≤x≤,所以-≤2x-≤,
当2x-=,即x=时,f(x)max=2,
当2x-=-,即x=-时,f(x)min=-.
10.己知函数f(x)=coscos.
(1)求f 的值;
(2)将f(x)的图象上所有点向左平移m(m>0)个单位长度,得到y=g(x)的图象,若y=g(x)的图象关于点对称,求当m取最小值时,函数y=g(x)的单调递增区间.
解 (1)f =coscos=cos cos =.
(2)f(x)=sincos=sin.
将y=f(x)向左平移m(m>0)个单位长度,
得到y=g(x)=sin.
∵y=g(x)的图象关于点对称,
∴sin=0,
∴+2m=kπ,k∈Z,∴m=π-,k∈Z,
∵m>0,∴当k=1时,m有最小值.
由-+2kπ≤2x+≤+2kπ,k∈Z,得,k∈Z.
∴函数的单调递增区间是,k∈Z.
11.函数f(x)=2sin(ω>0)的图象在[0,1]上恰有两个最大值点,则ω的取值范围为( )
A.[2π,4π] B.
C. D.
答案 C
解析 由题意得ω+≥,ω+<,∴≤ω<,故选C.
12.设ω>0,函数y=sin-1的图象向左平移个单位长度后与原图象重合,则ω的最小值是( )
A. B. C. D.3
答案 D
解析 ∵图象向左平移个单位长度后与原图象重合,
∴是整数个周期,
∴=kT=k·,k∈N*,
∴ω=3k,k∈N*,
又ω>0,
∴ω的最小值是3,故选D.
13.若函数y=2cos ωx在区间上单调递减,且有最小值1,则ω的值可以是( )
A.2 B. C.3 D.
答案 B
解析 由y=2cos ωx在上是单调递减的,且有最小值1,则有f =1,
即2×cos=1,cos=,检验各选项,得出B项符合.故选B.
14.已知函数f(x)=sin(ω>0)的最小正周期是4π,则ω=________,若f =,则cos θ=________.
答案 -
解析 ∵函数f(x)=sin(ω>0)的最小正周期是=4π,则ω=,f(x)=sin;
若f =sin=cos =,
则cos θ=2cos2-1=-.
15.函数f(x)=sincos+cos2x-log2|x|-的零点个数为( )
A.1 B.2 C.3 D.4
答案 B
解析 由已知f(x)=sincos+cos2x-log2|x|-
=cos 2x+-log2|x|-
=cos 2x-log2|x|,
令f(x)=0,即cos 2x=log2|x|,
在同一坐标系中画出函数y=cos 2x和y=log2|x|的图象,
如图所示,两个函数图象有两个不同的交点,
所以函数f(x)的零点个数为2,故选B.
16.已知函数f(x)=cos x+m(m∈R),将y=f(x)的图象向左平移个单位长度后得到g(x)的图象,且y=g(x)在区间内的最小值为.
(1)求m的值;
(2)在锐角三角形ABC中,若g=-+,求sin A+cos B的取值范围.
解 (1)∵f(x)=cos x(sin x-cos x)+m
=sin 2x-cos 2x+m-
=sin+m-.
∴g(x)=sin+m-
=sin+m-.
∵x∈,则2x+∈.
当2x+=时,g(x)在上取得最小值+m-=,
解得m=.
(2)∵g=sin+-=-+,
∴sin=,
∵C∈,则C+∈,
∴C+=,即C=.
∴sin A+cos B=sin A+cos
=sin A-cos A+sin A=sin A-cos A
=sin.
∵△ABC是锐角三角形,
则解得<A<.
∴A-∈,
∴<sin<,
即<sin<.
∴sin A+cos B的取值范围是.
高中数学新教材选择性必修第一册课件+讲义 章末检测试卷(3): 这是一份人教A版 (2019)选择性必修 第一册全册综合图文课件ppt,文件包含高中数学新教材选择性必修第一册章末检测试卷3教师版docx、高中数学新教材选择性必修第一册章末检测试卷3学生版docx、高中数学新教材选择性必修第一册章末检测试卷3pptx等3份课件配套教学资源,其中PPT共0页, 欢迎下载使用。
高中数学新教材选择性必修第一册课件+讲义 章末检测试卷(1): 这是一份数学选择性必修 第一册全册综合课前预习ppt课件,文件包含高中数学新教材选择性必修第一册章末检测试卷1pptx、高中数学新教材选择性必修第一册章末检测试卷1教师版docx、高中数学新教材选择性必修第一册章末检测试卷1学生版docx等3份课件配套教学资源,其中PPT共55页, 欢迎下载使用。
数学选择性必修 第一册第一章 空间向量与立体几何本章综合与测试授课ppt课件: 这是一份数学选择性必修 第一册第一章 空间向量与立体几何本章综合与测试授课ppt课件,共42页。PPT课件主要包含了∴CM∥平面PAD,所以BM⊥EF等内容,欢迎下载使用。

