


所属成套资源:新教材适用2023_2024学年高中数学新人教A版必修第一册素养作业
- 新教材适用2023_2024学年高中数学第5章三角函数5.6函数y=Asinωx+φ素养作业新人教A版必修第一册 试卷 0 次下载
- 新教材适用2023_2024学年高中数学第5章三角函数5.25.2.1三角函数的概念第1课时三角函数的概念一素养作业新人教A版必修第一册 试卷 0 次下载
- 新教材适用2023_2024学年高中数学第5章三角函数5.25.2.1三角函数的概念第2课时三角函数的概念二素养作业新人教A版必修第一册 试卷 0 次下载
- 新教材适用2023_2024学年高中数学第5章三角函数5.25.2.2同角三角函数的基本关系素养作业新人教A版必修第一册 试卷 0 次下载
- 新教材适用2023_2024学年高中数学本册综合检测新人教A版必修第一册 试卷 1 次下载
新教材适用2023_2024学年高中数学第5章三角函数综合测试新人教A版必修第一册
展开
这是一份新教材适用2023_2024学年高中数学第5章三角函数综合测试新人教A版必修第一册,共10页。
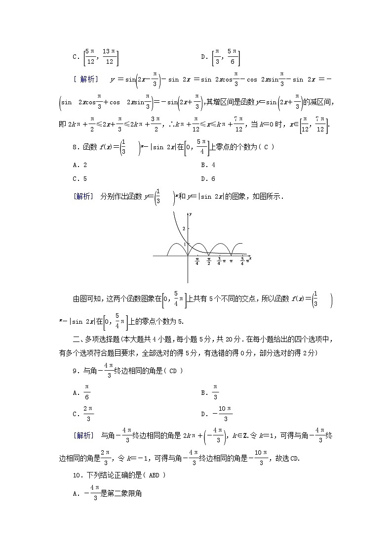
第五章综合测试考试时间120分钟,满分150分.一、单项选择题(本大题共8小题,每小题5分,共40分.在每小题给出的四个选项中,只有一项是符合题目要求的)1.若扇形的面积为16 cm2,圆心角为2 rad,则该扇形的弧长为( B )A.4 cm B.8 cm C.12 cm D.16 cm[解析] 由S=αR2,得16=×2R2,R=4,所以l=α·R=8.2.cos275°+cos215°+cos 75°·cos 15°的值是( A )A. B. C. D.1+[解析] 原式=sin215°+cos215°+sin 15°cos 15°=1+sin 30°=.3.已知角θ终边经过点(3,-4),则等于( C )A. B.- C. D.-[解析] 由已知,tan θ=-,所求原式可化为=-=.4.若把函数y=f(x)的图象沿x轴向左平移个单位长度,沿y轴向下平移1个单位长度,然后再把图象上每个点的横坐标伸长到原来的2倍(纵坐标保持不变),得到函数y=sin x的图象,则y=f(x)的解析式为( B )A.y=sin+1B.y=sin+1C.y=sin-1D.y=sin-1[解析] 把函数y=sin x图象上每个点的横坐标缩短到原来的(纵坐标保持不变),得到y=sin 2x,沿y轴向上平移1个单位长度,得到y=sin 2x+1,图象沿x轴向右平移个单位长度,得到函数y=sin+1=sin+1.故选B.5.若0<α<<β<π,且cos β=-,sin(α+β)=,则sin α的值是( C )A. B. C. D.[解析] 由0<α<<β<π,知<α+β<,且cos β=-,sin(α+β)=,得sin β=,cos(α+β)=-.∴sin α=sin [(α+β)-β]=sin(α+β)cos β-cos(α+β)·sin β=.故选C.6.若函数f(x)=sin(ωx+φ)的图象(部分)如图所示,则ω和φ的取值是( C )A.ω=1,φ= B.ω=1,φ=-C.ω=,φ= D.ω=,φ=-[解析] 由图象知,T=4=4π=,∴ω=.又当x=时,y=1,∴sin=1,+φ=2kπ+,k∈Z,当k=0时,φ=.故选C.7.y=sin-sin 2x的一个单调递增区间是( B )A. B.C. D.[解析] y=sin-sin 2x=sin 2xcos-cos 2xsin-sin 2x=-=-sin,其增区间是函数y=sin的减区间,即2kπ+≤2x+≤2kπ+,∴kπ+≤x≤kπ+,当k=0时,x∈.8.函数f(x)=x-|sin 2x|在上零点的个数为( C )A.2 B.4 C.5 D.6[解析] 分别作出函数y=x和y=|sin 2x|的图象,如图所示.由图可知,这两个函数图象在上共有5个不同的交点,所以函数f(x)=x-|sin 2x|在上的零点个数为5.二、多项选择题(本大题共4小题,每小题5分,共20分.在每小题给出的四个选项中,有多个选项符合题目要求,全部选对的得5分,有选错的得0分,部分选对的得2分)9.与角-终边相同的角是( CD )A. B.C. D.-[解析] 与角-终边相同的角是2kπ+,k∈Z.令k=1,可得与角-终边相同的角是,令k=-1,可得与角-终边相同的角是-,故选CD.10.下列结论正确的是( ABD )A.-是第二象限角B.函数f(x)=|sin x|的最小正周期是πC.若tan α=3,则=4D.若圆心角为的扇形的弧长为π,则该扇形的面积为3π[解析] 根据象限角的范围,-为第二象限角,故A正确;因为函数y=sin x的最小正周期是2π,所以函数f(x)=|sin x|的最小正周期是π,故B正确;若tan α=3,则==2,故C错误;若圆心角为的扇形的弧长为π,则该扇形的半径为6,所以扇形的面积为S=·π·6=3π,故D正确.故选ABD.11.已知ω>0,|φ|<,若x=和x=是函数f(x)=cos(ωx+φ)的两条相邻的对称轴,将y=f(x)的图象向左平移个单位长度得到函数y=g(x)的图象,则下列说法正确的是( BD )A.y=g(x)是奇函数B.y=g(x)的图象关于点对称C.y=g(x)的图象关于直线x=对称D.y=g(x)的周期为2π[解析] ∵x=和x=π是两条相邻的对称轴,∴T=2×=2π,∴ω=1.∴f(x)=cos(x+φ).①若函数在x=处取得最大值,则f=cos=1,+φ=2kπ,φ=2kπ-.当k=0时,φ=-,此时f(x)=cos,将f(x)图象向左平移个单位得到g(x)=cos=cos x.所以B正确.②若函数在x=处取得最小值,则f=cos=-1,+φ=2kπ-π,φ=2kπ-π,当k=1时,φ=π,∵|φ|<,∴φ不存在.函数f(x)的最小正周期为2π,故D正确,故选BD.12.已知函数f(x)=sin xcos x-cos2x,则( ABD )A.函数f(x)在区间上为增函数B.直线x=是函数f(x)图象的一条对称轴C.函数f(x)的图象可由函数y=sin 2x的图象向右平移个单位长度得到D.对任意x∈R,恒有f(x+π)=f(x)[解析] f(x)=sin 2x-=sin-.当x∈时,2x-∈,函数f(x)为增函数,故A中说法正确;令2x-=+kπ,k∈Z,得x=+,k∈Z,显然直线x=是函数f(x)图象的一条对称轴,故B中说法正确;函数y=sin 2x的图象向右平移个单位得到函数y=sin=sin的图象,故C中说法错误;f(x)的最小正周期为=π,故D中说法正确,故选ABD.三、填空题(本大题共4小题,每小题5分,共20分)13.计算sin 330°+cos 240°+tan 180°=_-1_.[解析] 原式=-sin 30°-cos 60°+0=--=-1.14.已知cos=,-<α<0,则sin+sin α= -_.[解析] sin+sin α=sin α+cos α=sin=sin=-cos=-×=-.15.函数f(x)=cos(x∈R,ω>0)的最小正周期为π,将y=f(x)的图象向左平移φ个单位长度,所得图象关于原点对称,则φ的值为 _.[解析] f(x)的最小正周期为π,∴ω=2,∴f(x)=cos将f(x)左移φ个单位,得到g(x)=cos的图象,由于图象关于原点对称,∴2φ+=kπ+,(k∈Z)解得φ=+(k∈Z).当k=0时,φ=.16.已知函数f(x)=Asin(ωx+φ)在一个周期内的简图如图所示,则函数的解析式为 f(x)=2sin_,方程f(x)=m(其中1<m<2)在区间[0,3π]内所有解的和为_7π_.[解析] 根据函数f(x)=Asin(ωx+φ)在一个周期内的图象,可得A=2,f(0)=2sin φ=1,即sin φ=,又|φ|<,所以φ=,再根据五点法可得ω·+=π,得ω=2,故函数f(x)=2sin.因为函数f(x)=2sin在区间[0,3π]内与直线f(x)=m(其中1<m<2)有六个交点,它们分别关于x=,x=,x=对称,则x1+x2+x3+x4+x5+x6=2×+2×+2×=7π.四、解答题(本大题共6小题,共70分.解答应写出文字说明、证明过程或演算步骤)17.(本小题满分10分)A,B是单位圆O上的点,点A是单位圆与x轴正半轴的交点,点B在第二象限,记∠AOB=θ,且sin θ=.(1)求点B的坐标;(2)求的值.[解析] (1)设点B坐标为(x,y),则y=sin θ=.因为点B在第二象限,x=cos θ=-,所以点B的坐标为.(2)tan θ==-,∴===-.18.(本小题满分12分)在①两个相邻对称中心的距离为,②两条相邻对称轴的距离为,③两个相邻最高点的距离为π,这三个条件中任选一个,补充在下面问题中,并对其求解.问题:函数f(x)=cos(ωx+φ)的图象过点,且满足_________.当α∈时,f=-,求sin α的值.注:如果选择多个条件分别解答,按第一个解答计分.[解析] 选①②:由题意得:f(x)的最小正周期T=2×=π,则=π,结合ω>0,解得:ω=2,因为图象过点,所以cos φ=,因为0<φ<,所以φ=,所以f(x)=cos,因为f=-,所以cos(α+)=-,因为α∈,所以α+∈,所以sin==,sin α=sin=sincos-cossin=×+×=;选③:由题意得:f(x)的最小正周期T=π,则=π,结合ω>0,解得:ω=2,因为图象过点,所以cos φ=,因为0<φ<,所以φ=,所以f(x)=cos,因为f=-,所以cos=-,因为α∈,所以α+∈,所以sin==,sin α=sin=sincos-cossin=×+×=.19.(本小题满分12分)已知cos α-sin α=,且π<α<,求的值.[解析] 因为cos α-sin α=,所以1-2sin αcos α=,所以2sin αcos α=.又α∈,故sin α+cos α=-=-,所以====-.20.(本小题满分12分)已知f(x)=Asin(ωx+φ)的图象过点P,且图象上与点P最近的一个最低点是Q.(1)求f(x)的解析式;(2)若f=,且α为第三象限的角,求sin α+cos α的值.[解析] (1)根据题意可知,A=2,=-=,∴T==π,解得ω=2.又f=0,∴sin=0,而|φ|<,∴φ=-.∴f(x)=2sin.(2)由f=可得,2sin 2α=,即sin 2α=.∵α为第三象限的角,∴sin α+cos α=-=-=-.21.(本小题满分12分)某帆板集训队在一海滨区域进行集训,该海滨区域的海浪高度y(米)随着时间t(0≤t≤24,单位:时)呈周期性变化,每天时刻t的浪高数据的平均值如下表:t(时)03691215182124y(米)1.01.41.00.61.01.40.90.51.0(1)作出这些数据的散点图;(2)从y=at+b,y=Asin(ωt+φ)+b;y=Atan(ωt+φ)中选一个合适的函数模型,并求出该模型的解析式;(3)如果确定在一天内的7时到19时之间,当浪高不低于0.8米时才进行训练,试安排恰当的训练时间.[解析] (1)散点图如图所示.(2)由(1)知选择y=Asin(ωt+φ)+b较合适.令A>0,ω>0,|φ|<π.由图知,A=0.4,b=1,T=12,所以ω==.把t=0,y=1代入y=0.4sin+1,得φ=0.故所求拟合模型的解析式为y=0.4sint+1(0≤t≤24).(3)由y=0.4sint+1≥0.8,得sint≥-,则-+2kπ≤t≤+2kπ(k∈Z),即12k-1≤t≤12k+7(k∈Z),注意到t∈[0,24],所以0≤t≤7,或11≤t≤19,或23≤t≤24,再结合题意可知,应安排在11时到19时训练较恰当.22.(本小题满分12分)函数f(x)=Asin(ωx+φ)的部分图象如图所示.(1)求函数f(x)的解析式;(2)若函数F(x)=32+mf+2在区间上有四个不同的零点,求实数m的取值范围.[解析] (1)根据f(x)=Asin(ωx+φ)的部分图象知,A=1,=-=,∴T=π,∴ω==2.由“五点法”作图知,2×+φ=,解得φ=.∴函数f(x)=sin.(2)∵f=sin=sin 2x,∴函数F(x)=32+mf+2=3sin22x+msin 2x+2.设t=sin 2x,由x∈,得2x∈[0,π],故sin 2x∈[0,1],∴g(t)=3t2+mt+2,t∈[0,1].令g(t)=0,则3t2+mt+2=0在[0,1]上有两个不等的实数根,设为t1,t2,则即解得-5<m<-2.∴实数m的取值范围是(-5,-2).