- 新教材2023年高中数学第5章三角函数5.4三角函数图象与性质5.4.2正弦函数余弦函数的性质第1课时正弦函数余弦函数的性质一素养作业新人教A版必修第一册 试卷 0 次下载
- 新教材2023年高中数学第5章三角函数5.4三角函数图象与性质5.4.2正弦函数余弦函数的性质第2课时正弦函数余弦函数的性质二素养作业新人教A版必修第一册 试卷 0 次下载
- 新教材2023年高中数学第5章三角函数5.5三角恒等变换5.5.1两角和与差的正弦余弦与正切公式第1课时两角差的余弦公式素养作业新人教A版必修第一册 试卷 0 次下载
- 新教材2023年高中数学第5章三角函数5.5三角恒等变换5.5.1两角和与差的正弦余弦与正切公式第2课时两角和与差的正弦余弦与正切公式一素养作业新人教A版必修第一册 试卷 0 次下载
- 新教材2023年高中数学第5章三角函数5.5三角恒等变换5.5.1两角和与差的正弦余弦与正切公式第3课时两角和与差的正弦余弦与正切公式二素养作业新人教A版必修第一册 试卷 0 次下载
新教材2023年高中数学第5章三角函数5.4三角函数图象与性质5.4.3正切函数的性质与图象素养作业新人教A版必修第一册
展开第五章 5.4.3
A 组·素养自测
一、选择题
1.函数y=tan的定义域是( A )
A.
B.
C.x≠2kπ+,k∈Z}
D.
[解析] 由正切函数的定义域可得,x+≠+kπ,k∈Z,
∴x≠+kπ,k∈Z.故函数的定义域为.
2.已知函数y=tan(2x+φ)的图象过点,则φ可以是( A )
A.- B.
C.- D.
[解析] ∵函数的图象过点,
∴tan=0,
∴+φ=kπ,k∈Z,∴φ=kπ-,k∈Z,
令k=0,则φ=-,故选A.
3.函数f(x)=tan与函数g(x)=sin的最小正周期相同,则ω=( A )
A.±1 B.1
C.±2 D.2
[解析] =,ω=±1.
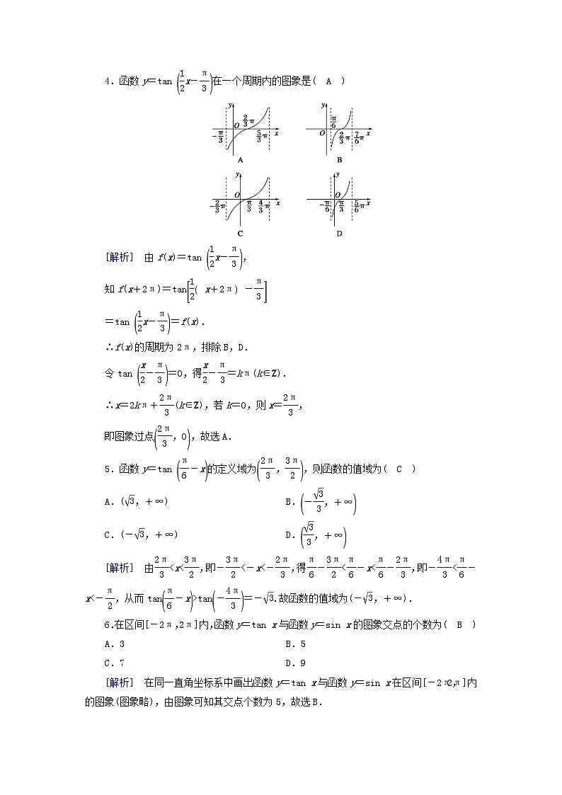
4.函数y=tan 在一个周期内的图象是( A )
[解析] 由f(x)=tan ,
知f(x+2π)=tan
=tan =f(x).
∴f(x)的周期为2π,排除B,D.
令tan =0,得-=kπ(k∈Z).
∴x=2kπ+(k∈Z),若k=0,则x=,
即图象过点,故选A.
5.函数y=tan 的定义域为,则函数的值域为( C )
A.(,+∞) B.
C.(-,+∞) D.
[解析] 由<x<,即-<-x<-,得-<-x<-,即-<-x<-,从而tan>tan=-.故函数的值域为(-,+∞).
6.在区间[-2π,2π]内,函数y=tan x与函数y=sin x的图象交点的个数为( B )
A.3 B.5
C.7 D.9
[解析] 在同一直角坐标系中画出函数y=tan x与函数y=sin x在区间[-2π,2π]内的图象(图象略),由图象可知其交点个数为5,故选B.
二、填空题
7.函数y=3tan的对称中心的坐标为(k∈Z).
[解析] 令2x+=(k∈Z),
得x=-(k∈Z),
∴对称中心的坐标为(k∈Z).
8.求函数y=tan的单调区间是(k∈Z).
[解析] y=tan
=-tan,
由kπ-<x-<kπ+(k∈Z),
得2kπ-<x<2kπ+π,k∈Z,
∴函数y=tan的单调递减区间是,k∈Z.
9.函数f(x)=tan ax(a>0)的图象的相邻两支截直线y=所得线段长为2,则a的值为.
[解析] 由题意可得T=2,所以=2,a=.
三、解答题
10.求下列函数的周期及单调区间.
(1)y=3tan ;
(2)y=|tan x|.
[解析] (1)y=3tan=
-3tan,
∴T==4π,
∴y=3tan的周期为4π.
由kπ-<-<kπ+(k∈Z),
得4kπ-<x<4kπ+(k∈Z),
∴y=3tan在
(k∈Z)内单调递增,无单调递减区间.
∴y=3tan在
(k∈Z)内单调递减.
(2)由于y=|tan x|
=
∴其图象如图所示,由图象可知,周期为π,单调增区间为(k∈Z),单调减区间为(k∈Z).
11.已知-≤x≤,f(x)=tan2x+2tan x+2,
求f(x)的最值及相应的x值.
[解析] ∵-≤x≤,
∴-≤tan x≤1,
f(x)=tan2x+2tan x+2=(tan x+1)2+1,
当tan x=-1,即x=-时,ymin=1;
当tan x=1,即x=时,ymax=5.
B 组·素养提升
一、选择题
1.若a=tan 70°,b=sin 25°,c=cos 25°,则( D )
A.a<b<c B.b<c<a
C.c<b<a D.a<c<b
[解析] ∵0<sin 25°<sin 65°=cos 25°<1=tan 45°<tan 70°,
∴sin 25°>cos 25°>tan 70°.即a<c<b.
2.已知函数f(x)=mtan x-ksin x+2(m,k∈R),若f()=1,则f=( C )
A.1 B.-1
C.3 D.-3
[解析] ∵f(x)=mtan x-ksin x+2(m,k∈R),f=1,
∴f=mtan-ksin+2=m-k+2=1,
∴m-k=-1,
∴f=mtan-ksin+2=-m+k+2=3.
3.(多选题)下列说法正确的是( BD )
A.tan>tan
B.sin 145°<tan 47°
C.函数y=tan(ωx+φ)的最小正周期为
D.函数y=2tan x的值域是[2,+∞)
[解析] A错误,tan=tan=tan,因为0<<<,函数y=tan x在上单调递增,所以tan<tan,即tan<tan;B正确,sin 145°=sin 35°<1,tan 47°>1,故sin 145°<tan 47°;C错误,函数y=tan(ωx+φ)的最小正周期为;D正确,∵≤x<,∴由函数的单调性可知y=2tan x≥2,故选BD.
4.(多选题)关于函数f(x)=tan,下列说法正确的是( ACD )
A.f(x)的最小正周期为2π
B.f(x)的定义域为
C.f(x)的图象的对称中心为,k∈Z
D.f(x)在区间(0,π)上单调递增
[解析] 对于A选项,函数f(x)的最小正周期为T==2π,A对;
对于B选项,由-≠kπ+(k∈Z),解得x≠2kπ+(k∈Z),
[解析] 对于A选项,函数f(x)的最小正周期为T==2π,A对;
对于B选项,由-≠kπ+(k∈Z),解得x≠2kπ+(k∈Z),
故函数f(x)的定义域为,B错;
对于C选项,由-=(k∈Z),解得x=kπ+(k∈Z),
所以,函数f(x)图象的对称中心为(k∈Z),C对;
对于D选项,当0<x<π时,-<-<,故函数f(x)在区间(0,π)上单调递增,D对.故选ACD.
二、填空题
5.函数y=tan x的值域是(-∞,-1]∪[1,+∞).
[解析] 函数y=tan x在上单调递增,在上也单调递增,所以函数的值域为(-∞,-1]∪[1,+∞).
6.给出下列命题:
(1)函数y=tan |x|不是周期函数;
(2)函数y=tan x在定义域内是增函数;
(3)函数y=的周期是;
(4)y=sin是偶函数.
其中正确命题的序号是(1)(3)(4).
[解析] y=tan |x|是偶函数,由图象知不是周期函数,因此(1)正确;y=tan x在每一个区间(k∈Z)内都是增函数但在定义域上不是增函数,∴(2)错;y=的周期是.∴(3)对;y=sin=cos x是偶函数,∴(4)对.
因此,正确的命题的序号是(1)(3)(4).
7.若tan≤1,则x的取值范围是
(k∈Z).
[解析] 令z=2x-,在上满足tan z≤1的z的值是-<z≤,在整个定义域上有-+kπ<z≤+kπ,解不等式-+kπ<2x-≤+kπ,得-+<x≤+,k∈Z.
三、解答题
8.画出函数y=|tan x|+tan x的图象,并根据图象求出函数的主要性质.
[解析] 由y=|tan x|+tan x知
y=(k∈Z).
其图象如图所示.
函数的主要性质为:
①定义域:x∈R,x≠+kπ,k∈Z};
②值域:[0,+∞);
③周期性:T=π;
④奇偶性:非奇非偶函数;
⑤单调性:单调增区间为,k∈Z.
9.已知函数f(x)=x2+2xtan θ-1,x∈[-1,],其中θ∈.
(1)当θ=-时,求函数的最大值和最小值;
(2)若y=f(x)在区间[-1,]上是单调函数,求θ的取值范围.
[解析] (1)当θ=-时,tan θ=-,函数f(x)=x2-x-1,对称轴为x=.
∵x∈[-1,],∴当x=时,f(x)取得最小值-,
当x=-1时,f(x)取得最大值.
(2)f(x)=(x+tan θ)2-1-tan2θ是关于x的二次函数,它的图象的对称轴为直线x=-tan θ.
∵y=f(x)在区间[-1,]上是单调函数,
∴-tan θ≤-1或-tan θ≥,
即tan θ≥1或tan θ≤-.
又θ∈,
∴θ的取值范围是∪.

