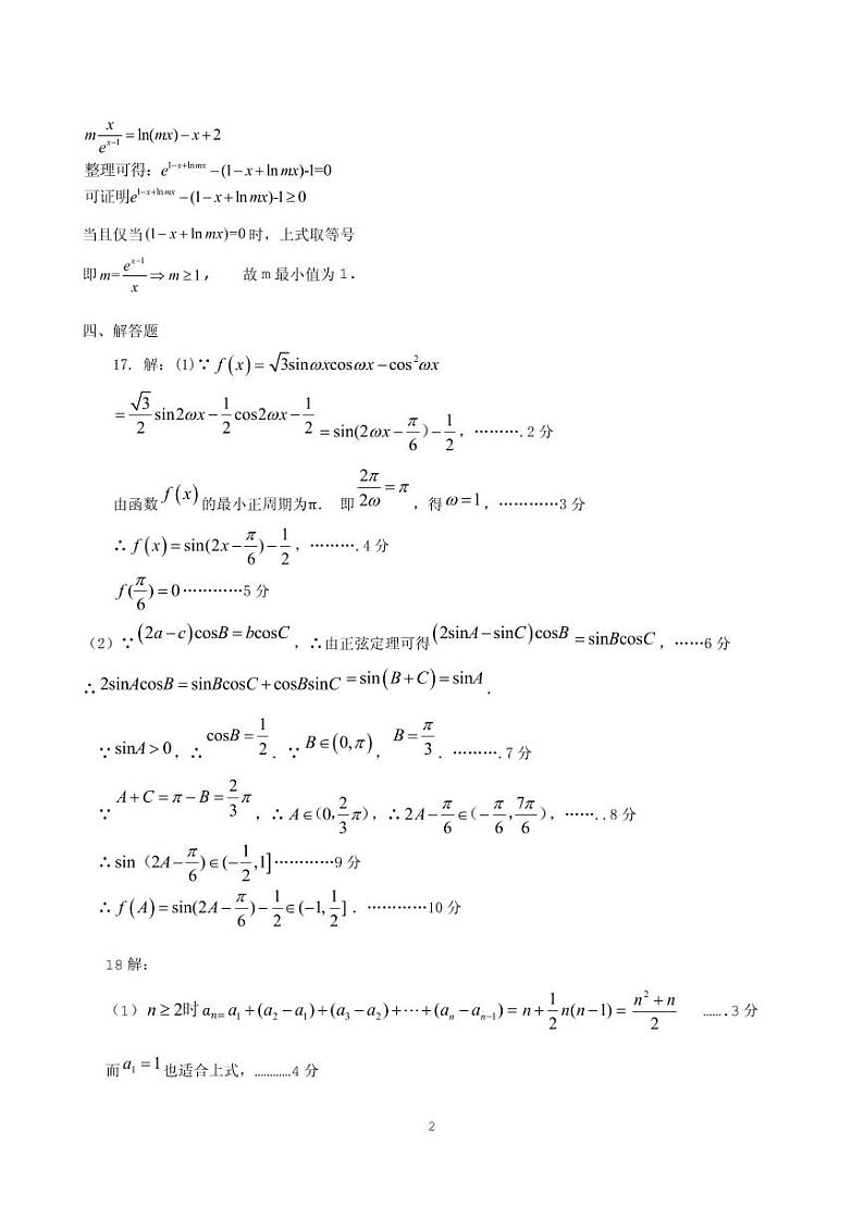
2023届河北省保定市高三下学期一模数学答案
展开2023届河北省保定市高三下学期一模试题 数学 PDF版: 这是一份2023届河北省保定市高三下学期一模试题 数学 PDF版,文件包含2023届河北省保定市高三一模数学答案pdf、2023届河北省保定市高三一模数学pdf等2份试卷配套教学资源,其中试卷共12页, 欢迎下载使用。
2022届河北省保定市七校高三下学期3月一模联考-数学(PDF版): 这是一份2022届河北省保定市七校高三下学期3月一模联考-数学(PDF版),共10页。
2023届河北省保定市高三下学期一模数学: 这是一份2023届河北省保定市高三下学期一模数学,共4页。

