资料中包含下列文件,点击文件名可预览资料内容
还剩3页未读,
继续阅读
所属成套资源:2023年河北省保定市高三二模
成套系列资料,整套一键下载
- 2023年河北省保定市高三二模语文试题及答案 试卷 2 次下载
- 2023年河北省保定市高三二模英语试题及答案 试卷 3 次下载
- 2023年河北省保定市高三二模历史试题及答案 试卷 2 次下载
- 2023年河北省保定市高三二模地理试题及答案 试卷 2 次下载
- 2023年河北省保定市高三二模政治试题及答案 试卷 2 次下载
2023年河北省保定市高三二模数学试题及答案
展开
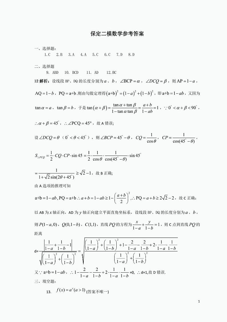
这是一份2023年河北省保定市高三二模数学试题及答案,文件包含保定二模数学答案pdf、数学pdf等2份试卷配套教学资源,其中试卷共10页, 欢迎下载使用。
相关试卷
河北省保定市2023届高三二模数学试题:
这是一份河北省保定市2023届高三二模数学试题,文件包含河北省保定市2023届高三二模数学试题原卷版docx、河北省保定市2023届高三二模数学试题解析版docx等2份试卷配套教学资源,其中试卷共33页, 欢迎下载使用。
河北省保定市2021届高三一模考试数学试题:
这是一份河北省保定市2021届高三一模考试数学试题,共4页。
2023届河北省秦皇岛市部分学校高三二模联考数学试题含解析:
这是一份2023届河北省秦皇岛市部分学校高三二模联考数学试题含解析,共24页。试卷主要包含了单选题,多选题,填空题,解答题等内容,欢迎下载使用。

