所属成套资源:全套人教B版高中数学必修第二册第四章指数函数对数函数与幂函数作业含答案
数学必修 第二册第四章 指数函数、对数函数与幂函数4.2 对数与对数函数4.2.1 对数运算同步练习题
展开
这是一份数学必修 第二册第四章 指数函数、对数函数与幂函数4.2 对数与对数函数4.2.1 对数运算同步练习题,共14页。试卷主要包含了若,,,则,函数在轴正半轴的图象大致为,若,,且,则下列不等式错误的是,已知,,,则,已知,则,设,则,若实数,,互不相等,且满足,则,若,则“”是“”的等内容,欢迎下载使用。
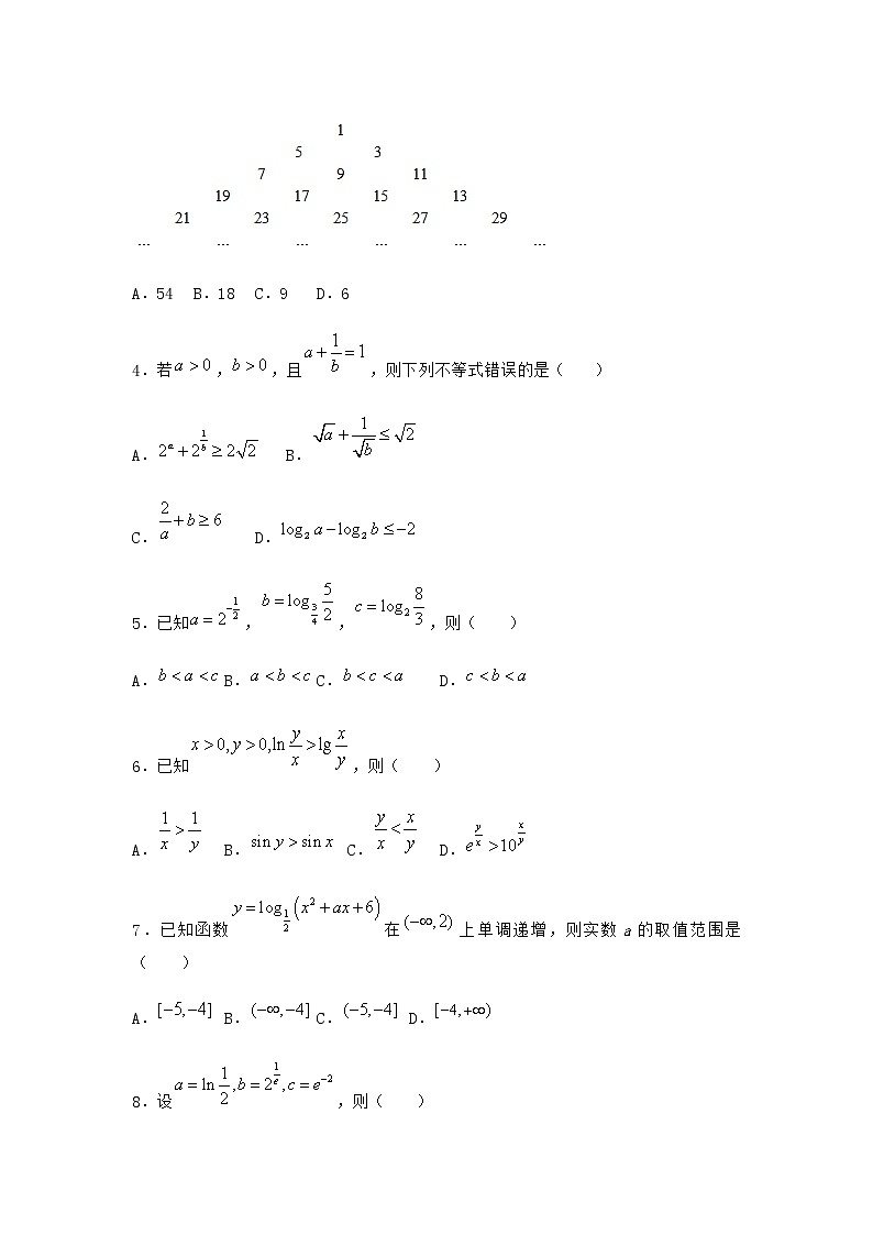
【基础】4.2.1 对数运算-1作业练习一.单项选择1.若,,,则( )A. B.C. D.2.函数在轴正半轴的图象大致为( )A. B.C. D.3.已知从1开始的连续奇数首尾相接蛇形排列形成如图三角形数表,第行第列的数记为,如,,则时,( )A.54 B.18 C.9 D.64.若,,且,则下列不等式错误的是( )A. B.C. D.5.已知,,,则( )A. B. C. D.6.已知,则( )A. B. C. D.7.已知函数在上单调递增,则实数a的取值范围是( )A. B. C. D.8.设,则( )A. B. C. D.9.若实数,,互不相等,且满足,则( )A. B. C., D.,10.若,则“”是“”的( )A.充分不必要条件 B.必要不充分条件C.充要条件 D.既不充分也不必要条件11.已知正数,满足,则( )A.1 B.2 C.3 D.412.我国于2021年5月成功研制出目前国际上超导量子比特数量最多的量子计算原型机“祖冲之号”,操控的超导量子比特为62个.已知1个超导量子比特共有“,”2种叠加态,2个超导量子比特共有“,,,”4种叠加态,3个超导量子比特共有“,,,,,,,”8种叠加态,…,只要增加1个超导量子比特,其叠加态的种数就呈指数级增长.设62个超导量子比特共有种叠加态,则是一个( )位的数.(参考数据:)A.18 B.19 C.62 D.6313.已知集合,,则( )A. B. C. D.14.函数在上的大致图像是( )A. B.C. D.15.已知,,,则( )A. B. C. D. 16.设,,,则( )A. B.C. D.17.设是定义在上的偶函数,且,当时,,若在区间内关于的方程(且)有且只有5个不同的实数根,则实数的取值范围是( )A. B. C. D.18.已知,则A. B. C. D.
参考答案与试题解析1.【答案】D【解析】分析:根据对数运算得,,,故.详解:依题意,,,故,又,故,所以.故选:D.【点睛】本题考查对数式的大小比较,对数运算,考查运算求解能力,是中档题.本题解题的关键在于根据对数运算化简,并借助中间量实现大小比较.2.【答案】D【解析】分析:根据,化简函数的解析式,结合对数型函数的性质,幂函数的性质进行判断即可.详解:当时,,因为,所以,因此可以排除A,C,因为当时,函数单调递减,所以函数单调递减,因此可以排除B,故选:D3.【答案】A【解析】分析:根据题意第行有 个数,第行末为第个数,数表由奇数构成,由可得2021是数阵中的第1011个数,带入进行估算,第45行末为第1035个数,即可得解.详解:奇数构成的数阵,令,解得,故2021是数阵中的第1011个数,第1行到第行一共有个奇数,则第1行到第44行末一共有990个奇数,第1行到第45行末一共有1035个数,所以2021位于第45行,又第45行是从左到右依次递增,且共有45个奇数,所以2021位于第45行,从左到右第21列,所以,,则.故选:A.4.【答案】C【解析】分析:A利用基本不等式结合已知即可判断正误,B完全平方公式得,由已知构造二次函数确定的范围,即可判断正误,C应用基本不等式“1”的代换求最值即可,D根据B中的范围,结合对数的运算性质可判断正误.详解:A:,当且仅当时等号成立,正确;B:,由,则,即,又,得,当,时等号成立,正确;C:,当且仅当时等号成立,而,错误;D:由B知,故,当,时等号成立,正确;故选:C5.【答案】A【解析】分析:由题意,结合对数函数的单调性即可比较大小.详解:解:因为,,,则.故选:A.6.【答案】A【解析】分析:根据对数函数的单调性及不等式的基本性质判断A,由特列法及反证法判断CBD.详解:(由函数为增函数)对于A,,故正确;对于B,取,,故错误;对于C,取,显然不成立,故错误;对于D,假设成立,则,即,可得,而时,不能一定有,故不成立.故选:A7.【答案】A【解析】`令,,是单调递减函数,而已知复合函数在上单调递增,则在上单调递减,且在上恒成立;即,则实数a的取值范围是:.故选:A.8.【答案】C【解析】分析:引入中间变量0和1,即可得到答案;详解:,,故选:C.9.【答案】D【解析】分析:令,然后分别求解出,利用指数.对数函数的图象与性质直接判断出大小关系.详解:解:设,则,,,根据指数.对数函数图象易得:,,即,,故选:D.10.【答案】D【解析】因为,所以当时,,不一定有,所以充分性不成立;当吋,,不一定成立,所以必要性不成立,故“”是“”的既不充分也不必要条件.故选:D11.【答案】D【解析】分析:根据对数与指数的运算,解方程组即可.详解:解析:因为,所以,,所以故选:D12.【答案】B【解析】分析:根据题意个超导量子比特共有种叠加态,进而两边取以为底的对数化简整理即可得答案.详解:根据题意,设个超导量子比特共有种叠加态,所以当有62个超导量子比特共有种叠加态。两边取以为底的对数得,所以,由于,故是一个19位的数.故选:B【点睛】本题考查数学文化,对数运算,考查知识的迁移与应,是中档题.本题解题的关键在于根据材料得个超导量子比特共有种叠加态,进而根据对数运算求解.13.【答案】【解析】,,,故选.14.【答案】D【解析】分析:通过函数的奇偶性可排除,;通过计算的值可排除C,进而可得结果.详解:由题可知函数的定义域关于原点对称,且当时,,,当时,,,故为偶函数,排除,;而,排除C.故选:D.15.【答案】B【解析】,,,根据对数函数的单调性故.故选:B.16.【答案】C【解析】,,,∴.故选:C.17.【答案】B【解析】分析:求得函数是周期函数,且周期,依题意,只需使函数的图象与函数的图象在上有5个交点即可.在同一坐标系中分别作出与的图象,数形结合可得结果.详解:因为是上的偶函数,所以,对,,所以函数是周期函数,且周期.,依题意,只需使函数的图象与函数的图象在上有5个交点即可.在同一坐标系中分别作出与的图象,由图可知,实数满足,解得,即实数的取值范围是.故选:B.【点睛】关键点点睛:本题的关键点是:在同一坐标系中分别作出与的图象,数形结合得到满足.18.【答案】B【解析】则.故选B.
相关试卷
这是一份人教B版 (2019)必修 第二册4.2.1 对数运算课时练习,共14页。试卷主要包含了若,则的大小关系是,函数的图象大致是,已知,已知定义在R上的函数满足,设,,,则的大小关系为,三个数,,的大小顺序为,若,,,则等内容,欢迎下载使用。
这是一份高中数学人教B版 (2019)必修 第二册4.2.1 对数运算课后作业题,共17页。试卷主要包含了已知,,,则,正项等比数列中,已知,那么,若,且,则,已知函数,,若,则的最大值是,在平面直角坐标系中,角,若,则下列不等式一定成立的是等内容,欢迎下载使用。
这是一份人教B版 (2019)必修 第二册第四章 指数函数、对数函数与幂函数4.2 对数与对数函数4.2.1 对数运算练习,共16页。试卷主要包含了已知,,,则下列结论正确的是,已知,,,则,设集合,,则,若,,,则,已知,,则,,的大小关系为,已知,则a,b,c的大小关系是等内容,欢迎下载使用。

