


所属成套资源:全套人教B版高中数学必修第二册第四章指数函数对数函数与幂函数课堂作业含答案
人教B版 (2019)必修 第二册4.2.1 对数运算课堂检测
展开
这是一份人教B版 (2019)必修 第二册4.2.1 对数运算课堂检测,共14页。试卷主要包含了已知,,,则,若,,,则,已知,则的大小关系是,设,,,则,已知,则,已知定义在R上的函数满足,函数的单调减区间为,大气压强,它的单位是“帕斯卡”等内容,欢迎下载使用。
1.已知,,,则( )
A.B.C.D.
2.若,,,则( )
A.B.C.D.
3.已知,则的大小关系是( )
A.B.
C.D.
4.设,,,则( )
A.B.C.D.
5.已知,则 ( )
A.B.C.D.
6.科学家以里氏震级来度量地震的强度.若设为地震时所散发出来的相对能量程度,则里氏震级可定义为,若6.5级地震释放的相对能量为,7.4级地震释放的相对能量为,记,约等于( )
A.16B.20C.32D.100
7.已知函数为自然数对数的底数),若,,,则
A.B.
C.D.
8.已知定义在R上的函数满足:对任意,都有,且当时,(其中为的导函数).设,,,则a,b,c的大小关系是( )
A.B.C.D.
9.函数的单调减区间为( )
A.B.C.D.
10.大气压强,它的单位是“帕斯卡”(Pa,1Pa=1N/m2),大气压强(Pa)随海拔高度(m)的变化规律是(m-1),是海平面大气压强.已知在某高山两处测得的大气压强分别为,,那么两处的海拔高度的差约为( )
(参考数据:)
A.550mB.1818mC.5500mD.8732m
11.已知函数是在上的偶函数,且在上单调递减,令,,则满足的关系为( )
A.B.
C.D.
12.已知,,,,则( )
A.B.C.D.
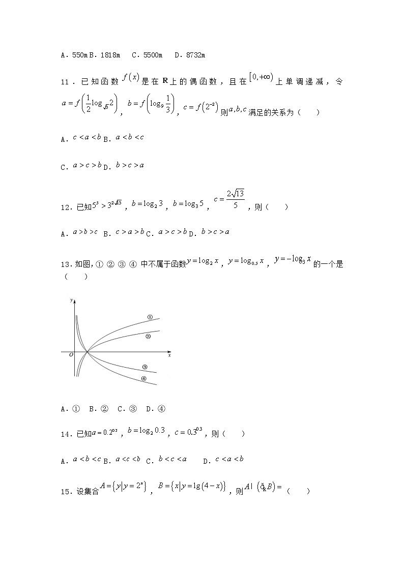
13.如图,① ② ③ ④ 中不属于函数,,的一个是( )
A.①B.②C.③D.④
14.已知,,,则( )
A.B.C.D.
15.设集合,,则( )
A.B.C.D.
16.若函数在处的切线方程为,则满足的的取值范围为( )
A.B.
C.D.
17.函数的图象与函数的图象的交点个数为( )
A.0B.1C.2D.3
18.已知函数满足对任意的都有f(x+2)=f(x),且当时.,函数,若关于的方程在恰有5个互异的实数解,则实数的取值范围是( )
A.B.
C.D.
参考答案与试题解析
1.【答案】D
【解析】分析:比较x.y.z与0,1的大小关系,即可得出正确答案.
详解:,,,
.
故选:D.
【点睛】
指.对数比较大小:
(1)结构相同的,构造函数,利用函数的单调性比较大小;
(2)结构不同的,寻找“中间桥梁”,通常与0.1比较.
2.【答案】B
【解析】分析:由已知可得,,,利用对数式的单调性可得答案.
详解:,,,由于,,∴.
故选:B.
3.【答案】A
【解析】分析:根据已知不等式,得到之间的关系及与1的关系,利用不等式的比较方法即可得到结果.
详解:∵,
∴,,,,
∴,∴,
∴.
故选:A.
4.【答案】C
【解析】分析:结合指数函数,对数函数的性质确定正确选项.
详解:,
,
,
所以.
故选:C
5.【答案】B
【解析】分析:根据对数的换底公式可得选项.
详解:因为,所以,即,
所以,
故选:B.
6.【答案】C
【解析】分析:由,得到,然后分别求得,再利用指数运算求解.
详解:因为,
所以,
所以,,
所以,
故选:C
7.【答案】D
【解析】分析:判断函数的单调性,比较,,大小关系,利用单调性求出.
详解:解:
,
故,
而显然为减函数,
所以,
故选:.
8.【答案】C
【解析】分析:由已知确定函数的对称性与单调性,然后把“”后面自变量的值转化为同一单调区间上,可得大小关系.
详解:由,得的图象关于直线对称,又时,,所以,即在上单调递减,所以在上单调递增,
,,,,
,,所以,
所以.
故选:C.
【点睛】
方法点睛:本题考查函数的对称性与单调性,考查指数式.对数式的大小比较.
比较指数式大小时,常常化为同底数的幂,利用指数函数性质比较,或化为同指数的幂,利用幂函数性质比较,比较对数式大小,常常化为同底数的对数,利用对数函数性质比较,如果不能化为同底数或同指数,或不同类型的数常常借助中间值如0或1比较大小.
9.【答案】A
【解析】分析:求出的范围,函数的单调减区间为的增区间,即可得到答案.
详解:由可得或
函数的单调减区间为的增区间
故选:A
10.【答案】C
【解析】分析:根据以及指数的运算即可求解.
详解:在某高山两处海拔高度为,
所以,
所以,
所以(m).
故选:C
11.【答案】B
【解析】分析:先分析比较..的自变量的绝对值的大小,然后根据函数的单调性可知,当自变量的绝对值越大时,函数值越小.
详解:,,
,
因为,且在上单调递减,所以
故选:B.
【点睛】
本题考查根据函数的单调性比较函数值的大小,解答本题的关键在于自变量之间的大小比较,解答时注意对数的运算性质的运用.
12.【答案】A
【解析】分析:根据对数函数的性质,求得,,得到,再由,根据对数的运算公式,得到,得到,即可求解.
详解:由对数函数的性质,可得,,所以;
又由,所以,即,所以,
所以.
故选:A.
13.【答案】B
【解析】分析:根据对数函数过点及对称性即可判断.
详解:令,可得过点,过点,过点,所以③ 是函数的图象,④是函数的图象,因为与关于轴对称,所以①是函数的图象.
故选:B.
【点睛】
本题主要考查对数函数的图象,属于基础题.
14.【答案】C
【解析】分析:为比较和的大小可构造函数,根据单调性即可判断,而,比都小,即可得解.
详解:构造函数,
令,可得,
当,,为减函数,
故可得时,为减函数,
,而,
可得,
故选:C.
15.【答案】C
【解析】分析:由指数函数和对数函数性质求得集合,然后由集合的运算法则计算.
详解:由题可得,,
所以,则.
故选:C.
16.【答案】B
【解析】分析:根据导数的几何意义求出,再根据对数函数的单调性解不等式可得结果.
详解:因为,所以,
依题意可得,解得,
所以,,
所以,所以.
故选:B
17.【答案】C
【解析】分析:作出函数图像,数形结合即可得答案.
详解:解:由于函数图像是由函数图像向左平移个单位得到,进而函数在定义域内单调递增,且过定点,渐近线为,
函数,故函数对称轴为,顶点坐标为,开口向上,
所以作出的图像如图,
故图像有两个交点.
故选:C
【点睛】
本题考查对数函数的图像,考查数形结合思想,解题的关键在于根据函数性质作出函数图像,是基础题.
18.【答案】D
【解析】分析:方程在恰有5个互异的实数解可转化为函数与的图象有5个交点,利用图象数形结合,建立不等式求解即可.
详解:因为f(x+2)=f(x),
所以的周期,
作出与的图象如下,
当时,与无交点,
故5个交点同在轴的右侧,
由图象可知,与在这些区间中共有5个交点,
故会在或内与相交
需满足或
解得或,
即或或或,
综上可知,
故选:D
【点睛】
关键点点睛:根据方程的根的个数,转化为图象交点的个数,利用数形结合的思想,根据交点个数建立不等式,是解决本题的关键所在,属于较难题目.
相关试卷
这是一份人教B版 (2019)必修 第二册4.2.1 对数运算课时练习,共14页。试卷主要包含了若,则的大小关系是,函数的图象大致是,已知,已知定义在R上的函数满足,设,,,则的大小关系为,三个数,,的大小顺序为,若,,,则等内容,欢迎下载使用。
这是一份高中数学人教B版 (2019)必修 第二册4.2.1 对数运算课后作业题,共17页。试卷主要包含了已知,,,则,正项等比数列中,已知,那么,若,且,则,已知函数,,若,则的最大值是,在平面直角坐标系中,角,若,则下列不等式一定成立的是等内容,欢迎下载使用。
这是一份高中数学人教B版 (2019)必修 第二册4.2.1 对数运算课时练习,共16页。试卷主要包含了已知,,,则,已知函数,,若,则的最大值是,下列函数中最小值为4的是,已知,则,,的大小排序为,设,,,则,在平面直角坐标系中,角,设,,,则,,的大小关系是等内容,欢迎下载使用。
