初中数学北师大版七年级下册7 整式的除法学案设计
展开1.7(2)多项式除以单项式
姓名: 班级:
一.学习目标
1.掌握多项式除以单项式的法则。
2.能够运用多项式除以单项式法则进行运算。
二.重点难点
1.会进行多项式除以单项式运算。
2.准确运用法则将多项式除以单项式转化为单项式除以单项式,并注意商的符号的确定。
三.学习过程
(一)知识链接
计算:(1) (2)
(3) (4)
(二)探究活动
1. 张大爷家一块长方形的田地,它的面积是6a2+2ab,宽为2a,聪明的你能帮助张大爷求出田地的长吗?
(1)回忆长方形的面积公式:
(2)思考 :已知面积和宽,如何求田地的长呢?
(3)列式计算:
思考:通过计算以及刚才的问题,你能总结多项式除以单项式的法则吗?
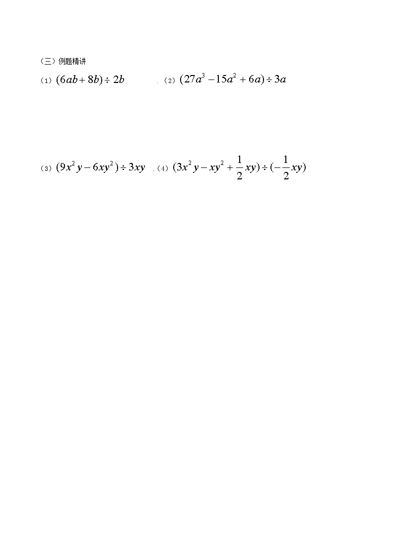
(三)例题精讲
(1) (2)
(3) (4)
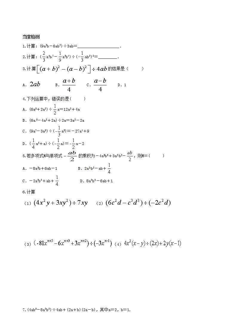
当堂检测
1.计算:(9a2b-6ab2)÷3ab= .
2.计算:(a4b7-a2b4)÷(ab2)2=_________.
3.计算的结果是( )
A. B. C. D.1
4.下列运算中,错误的是( )
A.(6a3+2a2)÷a=12a2+4a
B.(6a3-4a2+2a)÷2a=3a2-2a
C.(9a7-3a3)÷(a3)=-27a4+9
D.(a2+a)÷(a)=a-2
5.若多项式M与单项式的乘积为-4a3b3+3a2b2-,则M=( )
A.-8a2b+6ab-1 B.2a2b2-ab+
C.-2a2b2+ab+ D.8a2b2-6ab+1
6.计算
(1) (2)
(3)(4)
7.(4ab3-8a2b2)÷4ab+(2a+b)(2a-b),其中a=2,b=1.
8.已知,求代数式的值.
北师大版七年级下册3 同底数幂的除法导学案: 这是一份北师大版七年级下册3 同底数幂的除法导学案,共2页。学案主要包含了情境引入,探究新知,例题等内容,欢迎下载使用。
初中北师大版2 图形的全等学案及答案: 这是一份初中北师大版2 图形的全等学案及答案,共5页。
北师大版七年级下册第一章 整式的乘除7 整式的除法第1课时学案设计: 这是一份北师大版七年级下册第一章 整式的乘除7 整式的除法第1课时学案设计,共2页。学案主要包含了单项式除以多项式法则三等内容,欢迎下载使用。

