







- 2022秋新教材高中数学第五章一元函数的导数及其应用5.1导数的概念及其意义5.1.2导数的概念及其几何意义课件新人教A版选择性必修第二册 课件 2 次下载
- 2022秋新教材高中数学第五章一元函数的导数及其应用5.2导数的运算5.2.1基本初等函数的导数课件新人教A版选择性必修第二册 课件 2 次下载
- 2022秋新教材高中数学第五章一元函数的导数及其应用5.2导数的运算5.2.3简单复合函数的导数课件新人教A版选择性必修第二册 课件 2 次下载
- 2022秋新教材高中数学第五章一元函数的导数及其应用5.3导数在研究函数中的应用5.3.1函数的单调性课件新人教A版选择性必修第二册 课件 2 次下载
- 2022秋新教材高中数学第五章一元函数的导数及其应用5.3导数在研究函数中的应用5.3.2函数的极值与最大小值第一课时函数的极值课件新人教A版选择性必修第二册 课件 2 次下载
高中数学人教A版 (2019)选择性必修 第二册5.2 导数的运算集体备课ppt课件
展开(一)教材梳理填空 导数的四则运算法则(1)条件:f(x),g(x)是可导的.(2)法则:①[f(x)±g(x)]′= .②[f(x)g(x)]′= .④[cf(x)]′= .
f′(x)±g′(x)
f′(x)g(x)+f(x)g′(x)
[微提醒](1)导数的加法与减法法则,可由两个可导函数推广到任意有限个可导函数的情形(一般化),即[u(x)±v(x)±…±w(x)]′=u′(x)±v′(x)±…±w′(x).(2)函数的积的导数可以推广到有限个函数的乘积的导数,即[u(x)v(x)·…·w(x)]′=u′(x)v(x)·…·w(x)+u(x)v′(x)·…·w(x)+…+u(x)v(x)·…·w′(x).
(二)基本知能小试1.判断正误(1)若f′(x)=2x,则f(x)=x2.( )(2)函数f(x)=xex的导数是f′(x)=ex(x+1).( )(3)函数f(x)=sin(-x)的导数为f′(x)=cs x.( )答案:(1)× (2)√ (3)×2.函数y=sin x·cs x的导数是( )A.y′=cs 2x+sin 2x B.y′=cs 2xC.y′=2cs x·sin x D.y′=cs x·sin x答案:B
解析:∵f(x)=ax2+c,∴f′(x)=2ax.又∵f′(1)=2a,∴2a=2,∴a=1.答案:A
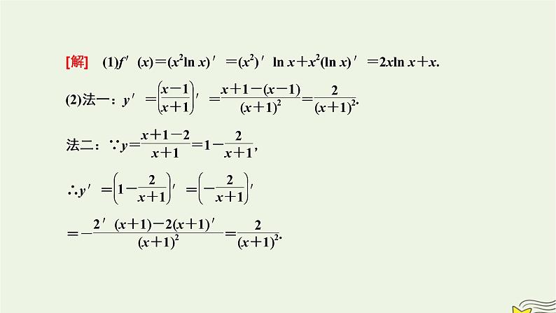
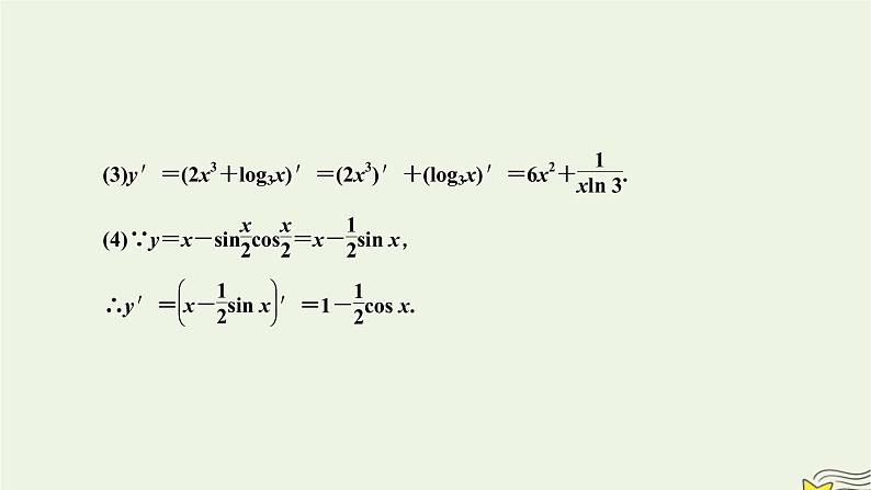
(1)应用基本初等函数的导数公式和导数运算法则可迅速解决一些简单的求导问题,要透彻理解函数求导法则的结构特点,准确熟记公式,还要注意挖掘知识的内在联系及其规律.(2)在求较复杂函数的导数时应首先利用代数恒等变换对已知函数解析式进行化简或变形,如把乘积的形式展开,公式形式变为和或差的形式,根式化成分数指数幂,然后再求导,使求导计算更加简化.
利用导数值求解参数问题是高考的热点问题.它能比较全面地考查导数的应用,突出了导数的工具性作用.而熟练地掌握导数的运算法则以及常用函数的求导公式是解决此类问题的关键.
[对点练清]1.已知函数f(x)的导函数为f′(x),且满足f(x)=2x·f′(1)+ln x,则f′(1)=________.
即切点为(1,-14)或(-1,-18).切线方程为y=4(x-1)-14或y=4(x+1)-18.即y=4x-18或y=4x-14.
[方法技巧] 关于函数的导数的应用及其解决方法
解析:f′(x)=x2+2ax+1,∵f(x)存在垂直于y轴的切线,∴f′(x)=0有解,即x2+2ax+1=0有解,∴Δ=(2a)2-4≥0,∴a≥1或a≤-1,即a的取值范围为(-∞,-1]∪[1,+∞).答案:B
二、应用性——强调学以致用2.如果某导体在t s时的电荷量为q C(库仑),且q=2t2+3t,则该导体在时刻t的电流强度为q′A(安),求第5 s与第7 s的电流强度,并求出什么时候电流强度达到43 A.解:∵q′=4t+3,∴q′|t=5=4×5+3=23,q′|t=7=4×7+3=31.令q′=4t+3=43,解得t=10.故第5 s与第7 s的电流强度分别为23安,31安,且t=10 s时电流强度达到43 A.
高中人教A版 (2019)5.2 导数的运算课前预习ppt课件: 这是一份高中人教A版 (2019)5.2 导数的运算课前预习ppt课件,共21页。PPT课件主要包含了新知初探·课前预习,题型探究·课堂解透,cf′x,答案C,答案B等内容,欢迎下载使用。
高中数学人教A版 (2019)选择性必修 第二册5.2 导数的运算课文内容课件ppt: 这是一份高中数学人教A版 (2019)选择性必修 第二册5.2 导数的运算课文内容课件ppt,共31页。PPT课件主要包含了过关自诊,提示奇函数等内容,欢迎下载使用。
人教A版 (2019)选择性必修 第二册5.2 导数的运算作业课件ppt: 这是一份人教A版 (2019)选择性必修 第二册5.2 导数的运算作业课件ppt,共18页。PPT课件主要包含了A级必备知识基础练,ACD,B级关键能力提升练,C级学科素养创新练等内容,欢迎下载使用。