- 人教A版(2019)选修二 第五章一元函数的导数及其应用 习题课 导数的几何意义及应用-课件+课时跟踪检测(含详细解析) 课件 0 次下载
- 人教A版(2019)选修二 第五章一元函数的导数及其应用 5.2.1 基本初等函数的导数-课件+课时跟踪检测(含详细解析) 课件 0 次下载
- 人教A版(2019)选修二 第五章一元函数的导数及其应用 5.2.3 简单复合函数的导数-课件+课时跟踪检测(含详细解析) 课件 0 次下载
- 人教A版(2019)选修二 第五章一元函数的导数及其应用 5.3.1 函数的单调性-课件+课时跟踪检测(含详细解析) 课件 1 次下载
- 人教A版(2019)选修二 第五章一元函数的导数及其应用 5.3.2 函数的极值与最大(小)值 第一课时 函数的极值-课件+课时跟踪检测(含详细解析) 课件 1 次下载
高中数学人教A版 (2019)选择性必修 第二册5.2 导数的运算教课ppt课件
展开基本初等函数的导数公式
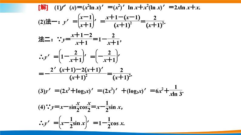
2.求导之前,应利用代数、三角恒等式等变形对函数进行化简,然后求导,这样可以减少运算量,提高运算速度,减少差错;遇到函数的商的形式时,如能化简则先化简,这样可避免使用商的求导法则,减少运算量.
高中数学人教A版 (2019)选择性必修 第二册第五章 一元函数的导数及其应用5.3 导数在研究函数中的应用习题ppt课件: 这是一份高中数学人教A版 (2019)选择性必修 第二册第五章 一元函数的导数及其应用5.3 导数在研究函数中的应用习题ppt课件,文件包含人教A版2019选修二第五章一元函数的导数及其应用习题课导数及其应用-课件ppt、人教A版2019选修二第五章一元函数的导数及其应用习题课导数及其应用课时跟踪检测含详细解析-同步练习doc等2份课件配套教学资源,其中PPT共27页, 欢迎下载使用。
人教A版 (2019)选择性必修 第二册5.1 导数的概念及其意义习题课件ppt: 这是一份人教A版 (2019)选择性必修 第二册5.1 导数的概念及其意义习题课件ppt,文件包含人教A版2019选修二第五章一元函数的导数及其应用习题课导数的几何意义及应用-课件ppt、人教A版2019选修二第五章一元函数的导数及其应用习题课导数的几何意义及应用课时跟踪检测含详细解析-同步练习doc等2份课件配套教学资源,其中PPT共19页, 欢迎下载使用。
人教A版 (2019)选择性必修 第二册第五章 一元函数的导数及其应用5.3 导数在研究函数中的应用课文ppt课件: 这是一份人教A版 (2019)选择性必修 第二册第五章 一元函数的导数及其应用5.3 导数在研究函数中的应用课文ppt课件,文件包含人教A版2019选修二第五章一元函数的导数及其应用531函数的单调性-课件ppt、人教A版2019选修二第五章一元函数的导数及其应用531函数的单调性课时跟踪检测含详细解析-同步练习doc等2份课件配套教学资源,其中PPT共28页, 欢迎下载使用。

