







所属成套资源:新人教a版数学选择性必修第二册PPT课件全册
- 2022秋新教材高中数学第五章一元函数的导数及其应用5.2导数的运算5.2.2导数的四则运算法则课件新人教A版选择性必修第二册 课件 2 次下载
- 2022秋新教材高中数学第五章一元函数的导数及其应用5.2导数的运算5.2.3简单复合函数的导数课件新人教A版选择性必修第二册 课件 2 次下载
- 2022秋新教材高中数学第五章一元函数的导数及其应用5.3导数在研究函数中的应用5.3.2函数的极值与最大小值第一课时函数的极值课件新人教A版选择性必修第二册 课件 2 次下载
- 2022秋新教材高中数学第五章一元函数的导数及其应用5.3导数在研究函数中的应用5.3.2函数的极值与最大小值第二课时函数的最大小值课件新人教A版选择性必修第二册 课件 2 次下载
- 2022秋新教材高中数学第五章一元函数的导数及其应用5.3导数在研究函数中的应用5.3.2函数的极值与最大小值第三课时导数的应用问题课件新人教A版选择性必修第二册 课件 2 次下载
2020-2021学年5.3 导数在研究函数中的应用课文课件ppt
展开
这是一份2020-2021学年5.3 导数在研究函数中的应用课文课件ppt,共38页。
(一)教材梳理填空1.函数的单调性与其导函数正负的关系在某个区间(a,b)上,如果f′(x)>0,那么函数y=f(x)在区间(a,b)上单调 ;在某个区间(a,b)上,如果f′(x)0,则f(x)在此区间上单调递增,反之也成立吗?提示:不一定成立.比如y=x3在R上为增函数,但其在x=0处的导数等于零.也就是说f′(x)>0是y=f(x)在某个区间上单调递增的充分不必要条件.
(二)基本知能小试1.判断正误(1)函数f(x)在定义域上都有f′(x)>0,则函数f(x)在定义域上单调递增.( )(2)函数在某一点的导数越大,函数在该点处的切线越“陡峭”.( )(3)函数在某个区间上变化越快,函数在这个区间上导数的绝对值越大.( )答案:(1)× (2)× (3)√
2.函数f(x)=(x-3)ex的单调递增区间是( )A.(-∞,2) B.(0,3)C.(1,4) D.(2,+∞)答案:D3.函数y=x3+x在(-∞,+∞)上的图象是________(填“上升”或“下降”)的.答案:上升
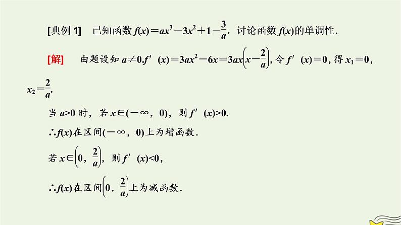
题型一 判断或讨论函数的单调性 [学透用活](1)若在某区间上有有限个点使f′(x)=0,在其余的点恒有f′(x)>0,则f(x)仍为增函数(减函数的情形完全类似).(2)f(x)为增函数的充要条件是对任意的x∈(a,b)都有f′(x)≥0且在(a,b)内的任一非空子区间上f′(x)不恒为0.
1.利用导数判断或证明函数单调性的思路
2.含有参数的函数单调性的解题技巧讨论含有参数的函数的单调性,通常归结为求含参不等式的解集问题,而对含有参数的不等式要针对具体情况进行分类讨论,但要始终注意定义域以及分类讨论的标准.含参数的二次不等式问题,一般从最高次项的系数、判别式Δ及根的大小关系等方面进行讨论.
又函数f(x)是奇函数,而奇函数在关于原点对称的两个区间上有相同的单调性.综上所述,当b>0时,函数f(x)在(-1,1)上单调递减;当b0,得0
相关课件
这是一份高中数学5.3 导数在研究函数中的应用图文课件ppt,共29页。PPT课件主要包含了新知初探·课前预习,题型探究·课堂解透,答案B,答案A等内容,欢迎下载使用。
这是一份数学5.3 导数在研究函数中的应用教学ppt课件,共34页。
这是一份人教A版 (2019)选择性必修 第二册第五章 一元函数的导数及其应用5.3 导数在研究函数中的应用作业ppt课件,共31页。PPT课件主要包含了A级必备知识基础练,B级关键能力提升练,C级学科素养创新练等内容,欢迎下载使用。