







还剩49页未读,
继续阅读
所属成套资源:全套高考数学一轮复习课时教学PPT课件
成套系列资料,整套一键下载
高考数学一轮复习第4章三角函数与解三角形第4节三角函数的性质与图像课件
展开
这是一份高考数学一轮复习第4章三角函数与解三角形第4节三角函数的性质与图像课件,共57页。
必备知识·回顾教材重“四基”
关键能力·研析考点强“四翼”
考点1 三角函数的定义域——基础性
考点2 三角函数的值域或最值——综合性
考点3 三角函数的单调性——应用性
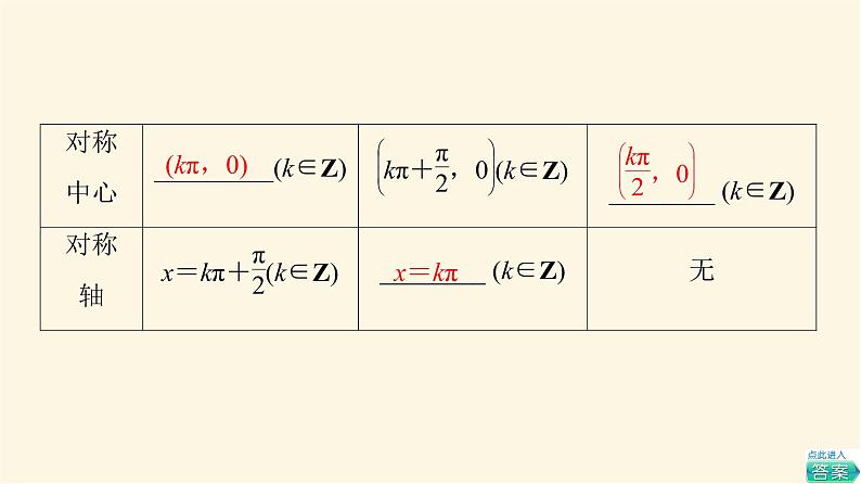
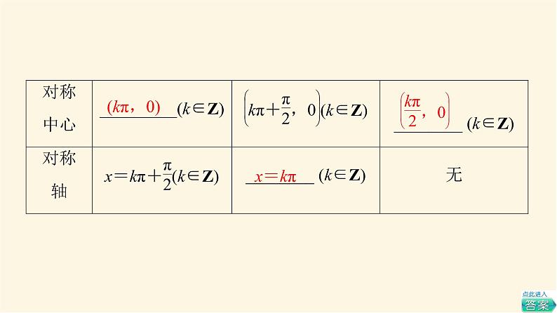
考点4 三角函数的周期性、奇偶性、对称性综合——综合性
相关课件
高考数学一轮总复习课件第3章三角函数解三角形第5讲三角函数的图象与性质(含解析):
这是一份高考数学一轮总复习课件第3章三角函数解三角形第5讲三角函数的图象与性质(含解析),共60页。PPT课件主要包含了名师点睛,k∈Z,题组三真题展现,答案A,答案C,函数线,答案B,题后反思,考法全练,答案AD等内容,欢迎下载使用。
人教B版高考数学一轮总复习第4章第4节三角函数的性质与图像课件:
这是一份人教B版高考数学一轮总复习第4章第4节三角函数的性质与图像课件,共58页。
通用版高考数学(文数)一轮复习第18讲《三角函数的图像与性质》课件 (含答案):
这是一份通用版高考数学(文数)一轮复习第18讲《三角函数的图像与性质》课件 (含答案),共39页。PPT课件主要包含了奇函数,偶函数,kπ0,xkπ,题组一常识题,题组二常错题,应用演练等内容,欢迎下载使用。
