







还剩50页未读,
继续阅读
人教B版高考数学一轮总复习第4章第4节三角函数的性质与图像课件
展开
这是一份人教B版高考数学一轮总复习第4章第4节三角函数的性质与图像课件,共58页。
必备知识·回顾教材重“四基”
关键能力·研析考点强“四翼”
考点1 三角函数的定义域——基础性
考点2 三角函数的值域或最值——综合性
考点3 三角函数的单调性——应用性
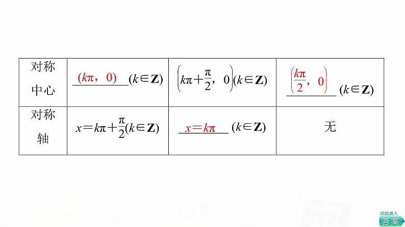
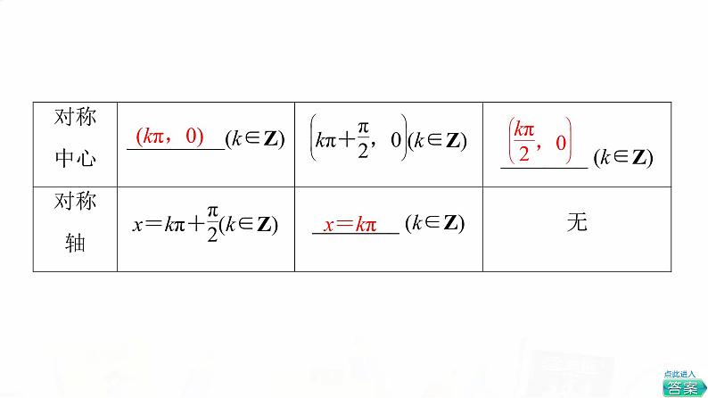
考点4 三角函数的周期性、奇偶性、对称性综合——综合性
相关课件
人教A版高考数学一轮总复习第4章第3节三角函数的图象与性质教学课件:
这是一份人教A版高考数学一轮总复习第4章第3节三角函数的图象与性质教学课件,共60页。
人教B版高考数学一轮总复习24三角函数的性质与图像习题课件:
这是一份人教B版高考数学一轮总复习24三角函数的性质与图像习题课件,共40页。PPT课件主要包含了A组全考点巩固练,B组新高考培优练等内容,欢迎下载使用。
人教B版高考数学一轮总复习12函数的图像习题课件:
这是一份人教B版高考数学一轮总复习12函数的图像习题课件,共29页。PPT课件主要包含了A组全考点巩固练,B组新高考培优练等内容,欢迎下载使用。
