所属成套资源:2025 高考数学一轮复习课件专辑
2025高考数学一轮复习-第4章-三角函数与解三角形-第5讲 三角函数的图象与性质【课件】
展开
这是一份2025高考数学一轮复习-第4章-三角函数与解三角形-第5讲 三角函数的图象与性质【课件】,共59页。PPT课件主要包含了教材再现四基诊断,π-1,-11,奇函数,偶函数,kπ0,x=kπ,重点串讲能力提升,三角函数的单调性,k∈Z等内容,欢迎下载使用。
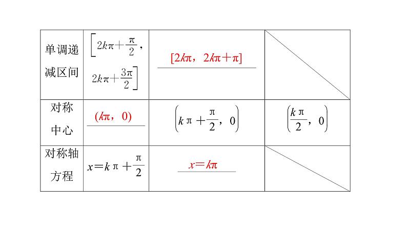
2.正弦、余弦、正切函数的图象与性质(下表中k∈Z)
[2kπ-π,2kπ]
[2kπ,2kπ+π]
1.判断下列结论是否正确(正确的在括号内打“√”,错误的在括号内打“×”).(1)余弦函数y=cs x的对称轴是y轴.(  )(2)正切函数y=tan x在定义域内是增函数.(  )(3)已知y=k sin x+1,x∈R,则y的最大值为k+1.(  )(4)y=sin |x|是偶函数.(  )
2.若函数y=2sin 2x-1的最小正周期为T,最大值为A,则(  )A.T=π,A=1B.T=2π,A=1C.T=π,A=2D.T=2π,A=2
三角函数的定义域和值域(最值)
三角函数值域的不同求法(1)把所给的三角函数式变换成y=A sin (ωx+φ)的形式求值域.(2)把sin x或cs x看作一个整体,转换成二次函数求值域.(3)利用sin x±cs x和sin x cs x的关系转换成二次函数求值域.
已知三角函数解析式求单调区间求形如y=A sin (ωx+φ)或y=A cs (ωx+φ)(其中ω>0)的单调区间时,要视“ωx+φ”为一个整体,通过解不等式求解.但如果ω
相关课件
这是一份2025届高考数学二轮总复习专题2三角函数与解三角形第1讲三角函数的图象与性质课件,共60页。PPT课件主要包含了ABC等内容,欢迎下载使用。
这是一份新高考数学一轮复习课件第3章三角函数解三角形第5讲 三角函数的图象与性质(含解析),共60页。PPT课件主要包含了名师点睛,k∈Z,题组三真题展现,答案A,答案C,函数线,答案B,题后反思,考法全练,答案AD等内容,欢迎下载使用。
这是一份2025版高考数学一轮总复习第4章三角函数解三角形第4讲三角函数的图象与性质课件,共60页。PPT课件主要包含了周期函数,正周期,y-1≤y≤1,kπk∈Z,π+2kπk∈Z,kπ0k∈Z,x=kπk∈Z,题组二走进教材,角度2奇偶性,角度3对称性等内容,欢迎下载使用。

