所属成套资源:【最新版】高中数学(新北师大版选择性必修第一册)教案+同步课件【全册】
【最新版】高中数学(新北师大版)习题+同步课件培优课 与圆有关的最值问题
展开
这是一份【最新版】高中数学(新北师大版)习题+同步课件培优课 与圆有关的最值问题,文件包含培优课与圆有关的最值问题pptx、培优课与圆有关的最值问题doc等2份课件配套教学资源,其中PPT共16页, 欢迎下载使用。
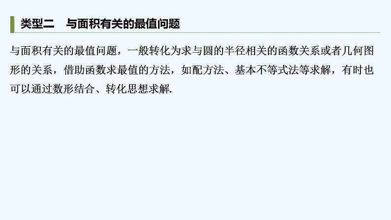
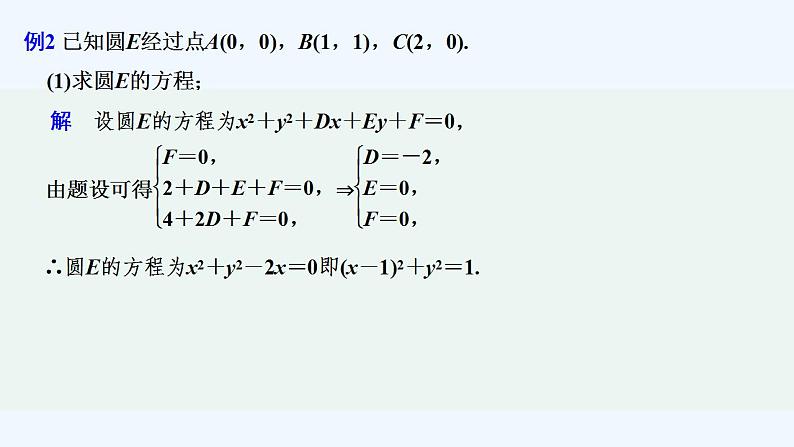
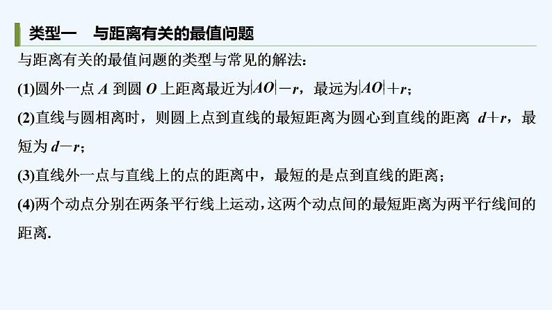
培优课 与圆有关的最值问题在点的运动变化中,点到直线、圆的距离会发生变化,就会出现一些最值问题,如距离最大、最小,弦长的最长、最短等.解决这些问题常常用到平面几何知识,数形结合思想以及斜率、截距的几何意义.类型一 与距离有关的最值问题与距离有关的最值问题的类型与常见的解法:(1)圆外一点A到圆O上距离最近为-r,最远为+r;(2)直线与圆相离时,则圆上点到直线的最短距离为圆心到直线的距离d+r,最短为d-r;(3)直线外一点与直线上的点的距离中,最短的是点到直线的距离;(4)两个动点分别在两条平行线上运动,这两个动点间的最短距离为两平行线间的距离.例1 已知点A(-2,-2),B(-2,6),C(4,-2),点P在圆E:x2+y2=4上运动.(1)求过点C且被圆E截得的弦长为2的直线方程;(2)求|PA|2+|PB|2+|PC|2的最值.解 (1)依题意,直线的斜率存在,因为过点C且被圆E截得的弦长为2,所以圆心到直线的距离为=,设直线方程为y+2=k(x-4),即kx-y-4k-2=0,所以=,解得k=-或k=-1,所以直线方程为x+7y+10=0或x+y-2=0.(2)设P点坐标为,则x2+y2=4.|PA|2+|PB|2+|PC|2=(x+2)2+(y+2)2+(x+2)2+(y-6)2+(x-4)2+(y+2)2=3-4y+68=80-4y,因为-2≤y≤2,所以72≤80-4y≤88,即|PA|2+|PB|2+|PC|2的最大值为88,最小值为72.类型二 与面积有关的最值问题与面积有关的最值问题,一般转化为求与圆的半径相关的函数关系或者几何图形的关系,借助函数求最值的方法,如配方法、基本不等式法等求解,有时也可以通过数形结合、转化思想求解.例2 已知圆E经过点A(0,0),B(1,1),C(2,0).(1)求圆E的方程;(2)若P为圆E上的一动点,求△ABP面积的最大值.解 (1)设圆E的方程为x2+y2+Dx+Ey+F=0,由题设可得⇒∴圆E的方程为x2+y2-2x=0即(x-1)2+y2=1.(2)∵A(0,0),B(1,1),∴AB的方程为x-y=0,且|AB|=,∴圆心E(1,0)到直线AB的距离为d==,∴点P到直线AB的距离的最大值为+1,∴S△ABP≤×|AB|×=××=.类型三 与弦长有关的最值问题与圆的弦长有关的问题主要是:①过圆内一点的最长弦为过该点的直径;②过圆内一点最短弦为过该点且垂直于直径的弦.例3 已知直线l:kx-y-3k=0与圆M:x2+y2-8x-2y+9=0.(1)求证:直线l与圆M必相交;(2)当圆M截直线l所得弦长最小时,求k的值.(1)证明 直线l的方程可化为:k-y=0,当x=3,y=0时,不论k取何值,等式恒成立,所以直线l恒过点A,代入圆的方程可得x2+y2-8x-2y+9=-6<0,所以A在圆内,则直线l与圆M必相交.(2)解 将圆M的方程化为2+2=8,圆心为M,半径r=2,由(1)知,直线l恒过点A,当圆M截直线l所得弦长最小时,则MA垂直于直线l,即kMA·k=-1,∵M,A,∴kMA==1,∴k=-1,所以当圆M截直线l所得弦长最小时,k的值为-1.类型四 利用几何意义解与圆有关的最值问题(1)形如u=形式的最值问题可转化为求动直线斜率的最值问题.(2)形如t=ax+by形式的最值问题可转化为求动直线截距的最值问题.(3)形如m=(x-a)2+(y-b)2形式的最值问题可转化为求动点到定点的距离的平方的最值问题.例4 已知实数x,y满足方程x2+y2-4x+1=0.(1)求的最大值和最小值;(2)求y-x的最大值和最小值;(3)求x2+y2的最大值和最小值.解 原方程可化为(x-2)2+y2=3,表示以(2,0)为圆心,为半径的圆.(1)的几何意义是圆上一点与原点连线的斜率,所以设=k,即y=kx.当直线y=kx与圆相切时,斜率k取最大值或最小值,此时=,解得k=±(如图①),所以的最大值为,最小值为-.(2)y-x可看作是直线y=x+b在y轴上的截距,当直线y=x+b与圆相切时,纵截距b取得最大值或最小值,此时=,解得b=-2±(如图②),所以y-x的最大值为-2+,最小值为-2-.(3)x2+y2表示圆上的一点与原点距离的平方,由平面几何知识知,x2+y2在原点和圆心连线与圆的两个交点处分别取得最大值和最小值(如图③),又圆心到原点的距离为=2,所以x2+y2的最大值是(2+)2=7+4,x2+y2的最小值是(2-)2=7-4.
相关课件
这是一份【最新版】高中数学(新湘教版)习题+同步课件培优课 与圆有关的最值问题,文件包含培优课与圆有关的最值问题pptx、培优课与圆有关的最值问题DOCX等2份课件配套教学资源,其中PPT共12页, 欢迎下载使用。
这是一份【最新版】高中数学(新湘教版)习题+同步课件培优课 最值与对称问题,文件包含培优课最值与对称问题pptx、培优课最值与对称问题DOCX等2份课件配套教学资源,其中PPT共18页, 欢迎下载使用。
这是一份【最新版】高中数学(新苏教版)习题+同步课件培优课 圆锥曲线的热点问题——最值、范围、证明问题,文件包含培优课圆锥曲线的热点问题最值范围证明问题pptx、培优课圆锥曲线的热点问题最值范围证明问题doc等2份课件配套教学资源,其中PPT共16页, 欢迎下载使用。

