预览已结束,下载文档到电脑,使用更方便
初中数学华师大版八年级下册2. 分式的加减优秀课后作业题
展开
这是一份初中数学华师大版八年级下册2. 分式的加减优秀课后作业题,共1页。试卷主要包含了选择题,填空题等内容,欢迎下载使用。
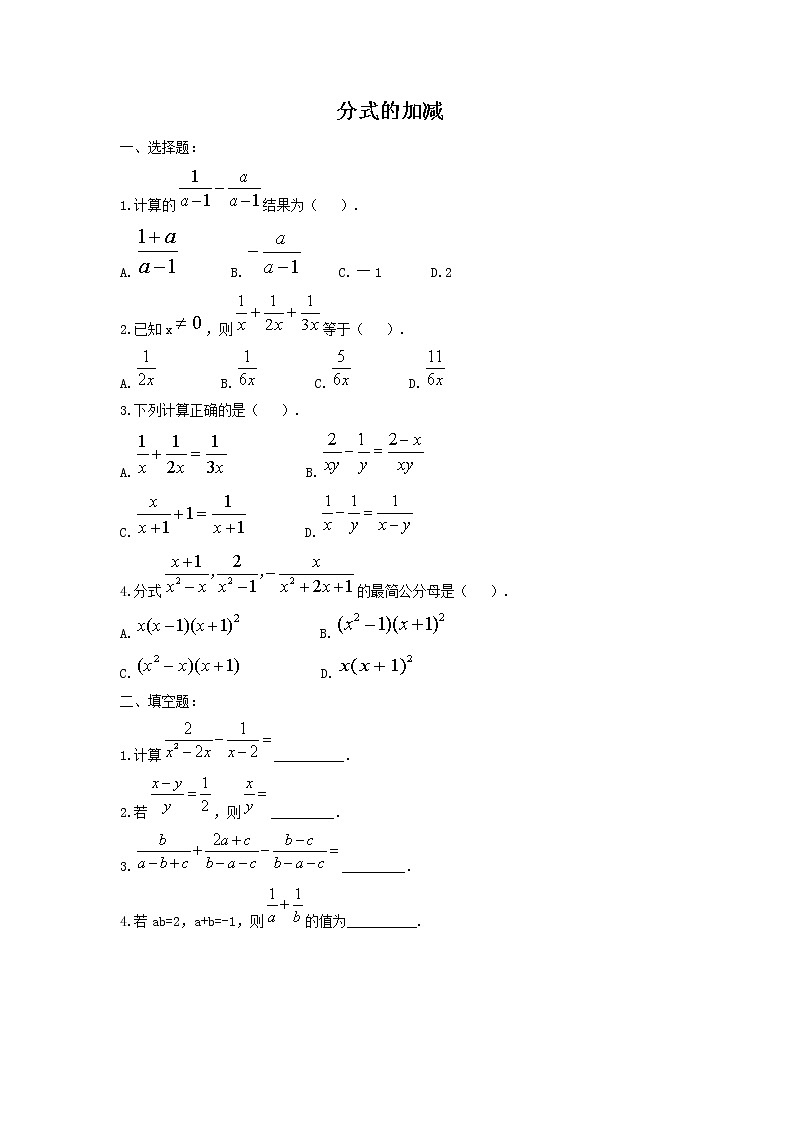
分式的加减[中国教育@出版网&^*%]一、选择题:1.计算的结果为( ).A. B. C.1 D.2[中%&^国#教育@出版网]2.已知x,则等于( ).A. B. C. D.[中国*教育^#出&版网%]3.下列计算正确的是( ).[来%^源:中教网#~*]A. B.C. D.4.分式的最简公分母是( ).[中国教&~育出%^版*网]A. B.C. D.[ww~w.zzs@t#%ep.&com]二、填空题:1.计算__________.2.若,则_________.3._________.4.若ab=2,a+b=-1,则的值为__________.
相关试卷
数学华师大版第16章 分式16.2 分式的运算2. 分式的加减优秀一课一练:
这是一份数学华师大版第16章 分式16.2 分式的运算2. 分式的加减优秀一课一练,共5页。试卷主要包含了下列式子计算错误的是,2a+b,0,化简,可得,化简的结果是,若 求的值是,化简等内容,欢迎下载使用。
初中华师大版19.3 正方形优秀课后复习题:
这是一份初中华师大版19.3 正方形优秀课后复习题,共3页。试卷主要包含了已知等内容,欢迎下载使用。
初中数学第19章 矩形、菱形与正方形19.1 矩形2. 矩形的判定优秀课后测评:
这是一份初中数学第19章 矩形、菱形与正方形19.1 矩形2. 矩形的判定优秀课后测评,共2页。试卷主要包含了已知,求证等内容,欢迎下载使用。

