 
 
 
 
 
 
 
 
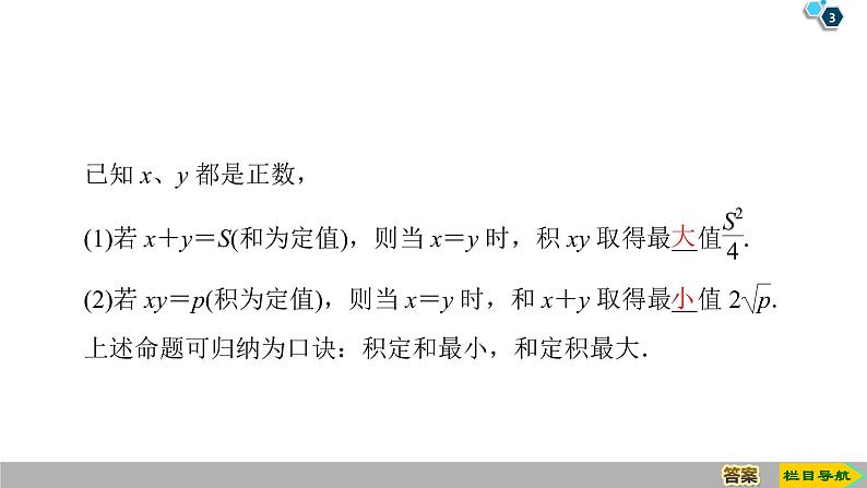
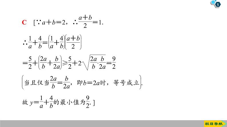
2020-2021学年第二章 一元二次函数、方程和不等式2.2 基本不等式教学演示ppt课件
展开高中数学人教A版 (2019)必修 第一册第二章 一元二次函数、方程和不等式2.2 基本不等式完整版课件ppt: 这是一份高中数学人教A版 (2019)必修 第一册第二章 一元二次函数、方程和不等式2.2 基本不等式完整版课件ppt,共52页。PPT课件主要包含了自主阅读·新知预习,合作探究·深化提能,随堂检测·内化素养,课时作业·分层自检等内容,欢迎下载使用。
高中数学人教A版 (2019)必修 第一册2.2 基本不等式背景图ppt课件: 这是一份高中数学人教A版 (2019)必修 第一册2.2 基本不等式背景图ppt课件,共41页。
高中数学人教A版 (2019)必修 第一册第二章 一元二次函数、方程和不等式2.2 基本不等式教学ppt课件: 这是一份高中数学人教A版 (2019)必修 第一册第二章 一元二次函数、方程和不等式2.2 基本不等式教学ppt课件,共42页。PPT课件主要包含了点击右图进入等内容,欢迎下载使用。
 
 
 
 
 
 
 
 
 
 
 
 


