 
 
 
 
 
 
 
 
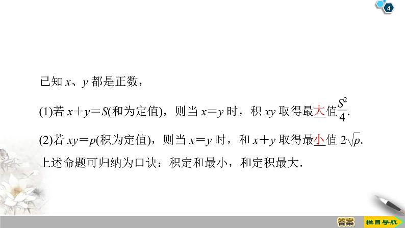
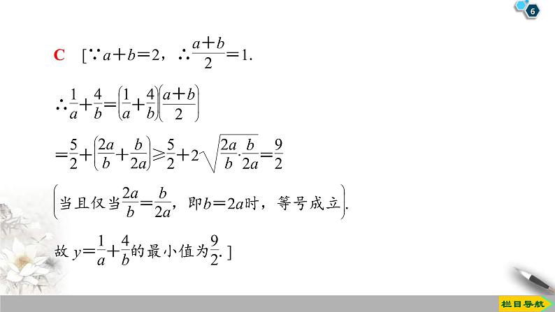
高中数学人教A版 (2019)必修 第一册第二章 一元二次函数、方程和不等式2.2 基本不等式教学ppt课件
展开第二章 一元二次函数、方程和不等式2.2 基本不等式第2课时 基本不等式的应用12345678910111213141516171819202122232425262728293031323334353637383940点击右图进入…41Thank you for watching !42
高中数学湘教版(2019)必修 第一册2.1 相等关系与不等关系教课内容ppt课件: 这是一份高中数学湘教版(2019)必修 第一册2.1 相等关系与不等关系教课内容ppt课件,文件包含湘教版高中数学必修第一册第2章21213基本不等式的应用课件ppt、湘教版高中数学必修第一册第2章21213基本不等式的应用学案doc、湘教版高中数学必修第一册课后素养落实13基本不等式的应用含答案doc等3份课件配套教学资源,其中PPT共45页, 欢迎下载使用。
高中数学人教A版 (2019)必修 第一册第二章 一元二次函数、方程和不等式2.2 基本不等式完整版课件ppt: 这是一份高中数学人教A版 (2019)必修 第一册第二章 一元二次函数、方程和不等式2.2 基本不等式完整版课件ppt,共52页。PPT课件主要包含了自主阅读·新知预习,合作探究·深化提能,随堂检测·内化素养,课时作业·分层自检等内容,欢迎下载使用。
高中数学人教A版 (2019)必修 第一册2.2 基本不等式背景图ppt课件: 这是一份高中数学人教A版 (2019)必修 第一册2.2 基本不等式背景图ppt课件,共41页。
 
 
 
 
 
 
 
 
 
 
 
 


