数学必修 第二册6.2 平面向量的运算优秀课堂检测
展开第六章向量的运算-6.2.4向量的数量积
学校:___________姓名:___________班级:___________考号:___________
一、选择题
1.在中,若,则( )
A. B. C. D.
2.已知,则与的夹角为( )
A. B. C. D.
3.平面向量 ,则向量夹角的余弦值为( )
A. B. C. D.
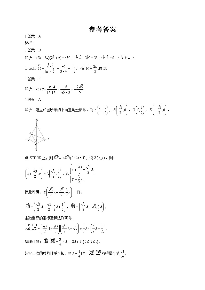
4.如图,在平面四边形中,.若点E为边
上的动点,则的最小值为 ( )
A. B. C. D.3
5.已知向量,且与的夹角为,则( )
A.-2 B.2 C.1 D.-1
6.已知是单位向量,且则( )
A.1 B. C. D.2
7.已知非零向量,,若向量的夹角为120°,则m的值为( )
A. B.0 C.或0 D.或0
8.在正方体中,有下列命题:
①;
②;
③与的夹角为60°.
其中真命题的个数是( )
A.1 B.2 C.3 D.0
9.已知平面向量,,则与的夹角等于( )
A. B. C. D.
10.已知,则向量在向量上的投影为( )。
A. B. C. D.
二、填空题
11.已知,,与之间有关系式,其中.则取最小值时, 与的夹角为_____________.
12.已知单位向量的夹角为,则与的夹角为__________.
13.已知点在圆上,点A的坐标为,为原点,则的最大值为_________.
14.已知向量,若存在向量,使得,则_______.
15.已知向量,则与的夹角的大小为___________。
三、解答题
16.已知,且。
(1)求向量;
(2)若,求和。
四、计算题
17.已知求:
1.
2.
参考答案
1.答案:A
解析:
2.答案:D
解析:,.,,选D.
3.答案:B
解析:.
4.答案:A
解析:建立如图所示的平面直角坐标系,则,,,,
点E在上,则,设,则:
,即,
据此可得:,且:
,,
由数量积的坐标运算法则可得:
,
整理可得:,
结合二次函数的性质可知,当时,取得最小值.
5.答案:B
解析:由题意,得,
所以,且,解得,故选B.
6.答案:A
解析:因为是单位向量,两边平方得,
所以,故选A.
7.答案:B
解析:由题意,知,即,解得或.
当时,,不符合题意,舍去.故选B.
8.答案:B
解析:根据向量数量积的定义,知①②为真命题;与的夹角为120°,③为假命题.故选B.
9.答案:C
解析:已知向量,设,得
又已知,则,得,即
则
因,故.
综上所述,答案:C
10.答案:B
解析:因为,,所以向量在向量上的投影为,故选B。
11.答案:
解析:
12.答案:
解析:
13.答案:6
解析: 所以最大值是6.
14.答案:
解析: 设,
∵,
∴,
联立解得.
∴,
故答案为:
15.答案:
解析:因为,所以,所以。
16.答案:(1)方法一:由,知,
设向量的夹角为,
。
则与共线且方向相同,
。
方法二:设,由,得。①
由,得,
即。②
由①②,得解方程组,得
则。
(2)由题意,得,
则。
又,
则。
解析:
17.答案:1.由
2.
解析:
高中数学6.2 平面向量的运算复习练习题: 这是一份高中数学6.2 平面向量的运算复习练习题,共6页。试卷主要包含了解析等内容,欢迎下载使用。
数学必修 第二册6.2 平面向量的运算优秀课时训练: 这是一份数学必修 第二册6.2 平面向量的运算优秀课时训练,共3页。试卷主要包含了2 平面向量的运算, 已知,,且与的夹角,则等于, 已知,则等于等内容,欢迎下载使用。
高中数学人教A版 (2019)必修 第二册6.2 平面向量的运算练习: 这是一份高中数学人教A版 (2019)必修 第二册6.2 平面向量的运算练习,共15页。试卷主要包含了单选题,多选题,填空题,双空题,解答题等内容,欢迎下载使用。

