专题七 三角函数的概念、图像和性质-2021届高三《新题速递•数学》10月刊(江苏专用 适用于高考复习)
展开专题七 三角函数的概念、图像和性质
一、单选题
1.(2020·上海浦东新·华师大二附中高一月考)《掷铁饼者》 取材于希腊的现实生活中的体育竞技活动,刻画的是一名强健的男子在掷铁饼过程中最具有表现力的瞬间.现在把掷铁饼者张开的双臂近似看成一张拉满弦的“弓”,掷铁饼者的手臂长约为米,肩宽约为米,“弓”所在圆的半径约为米,你估测一下掷铁饼者双手之间的距离约为( )
(参考数据:)
A.米 B.米
C.米 D.米
【答案】B
【解析】
【分析】
由题分析出“弓”所在弧长,结合弧长公式得出这段弧所对圆心角,双手之间距离即是这段弧所对弦长.
【详解】
由题:“弓”所在弧长,其所对圆心角,
两手之间距离.
故选:B
【点睛】
此题考查扇形的圆心角和半径与弧长关系的基本计算,关键在于读懂题目,提取有效信息.
2.(2018·四川省绵阳江油中学开学考试(理))中国传统扇文化有着极其深厚的底蕴.一般情况下,折扇可看作是从一个圆面中剪下的扇形制作而成,设扇形的面积为 ,圆面中剩余部分的面积为,当与的比值为 时,扇面看上去形状较为美观,那么此时扇形的圆心角的弧度数为( )
A. B. C. D.
【答案】A
【解析】
【分析】
根据扇形与圆面积公式,可知面积比即为圆心角之比,再根据圆心角和的关系,求解出扇形的圆心角.
【详解】
与所在扇形圆心角的比即为它们的面积比,
设与所在扇形圆心角分别为,
则 ,又,解得
故选:A
【点睛】
本题考查圆与扇形的面积计算,难度较易.扇形的面积公式:,其中是扇形圆心角的弧度数,是扇形的弧长.
3.(2020·鞍山市第八中学期中)若一圆弧的长等于其所在圆的内接正三角形的边长,那么其圆心角的弧度数是
A. B. C. D.2
【答案】C
【解析】
试题分析:设圆半径为r则由平面几何知识,内接正三角形的边长为r,所以由弧度制定义知,其圆心角的弧度数是r÷r=,故选C.
考点:本题主要考查角度制与弧度制的概念及其互化.
点评:牢记概念,并注意两种度量制度的转化.
4.(2020·大连海湾高级中学高一月考)已知角的顶点为坐标原点,始边与轴的非负半轴重合,终边上一点,则( )
A. B.
C. D.
【答案】A
【解析】
【分析】
由三角函数定义得tan再利用同角三角函数基本关系求解即可
【详解】
由三角函数定义得tan,即,得3cos解得或(舍去)
故选A
【点睛】
本题考查三角函数定义及同角三角函数基本关系式,熟记公式,准确计算是关键,是基础题
5.(2020·河南平顶山·高一期末)已知,则( )
A. B. C. D.
【答案】B
【解析】
【分析】
根据诱导公式和同角三角函数关系式,化简函数式,最后代值计算即可.
【详解】
,
所以.
故选:B.
【点睛】
本题考查利用诱导公式和同角三角函数关系式化简三角函数式并求值,注意三角函数值的符号变化,属于基础题.
6.(2020·六盘山高级中学期末)已知曲线C1:y=cos x,C2:y=sin (2x+),则下面结论正确的是( )
A.把C1上各点的横坐标伸长到原来的2倍,纵坐标不变,再把得到的曲线向右平移个单位长度,得到曲线C2
B.把C1上各点的横坐标伸长到原来的2倍,纵坐标不变,再把得到的曲线向左平移个单位长度,得到曲线C2
C.把C1上各点的横坐标缩短到原来的倍,纵坐标不变,再把得到的曲线向右平移个单位长度,得到曲线C2
D.把C1上各点的横坐标缩短到原来的倍,纵坐标不变,再把得到的曲线向左平移个单位长度,得到曲线C2
【答案】D
【解析】
把C1上各点的横坐标缩短到原来的倍,纵坐标不变,得到函数y=cos2x图象,再把得到的曲线向左平移个单位长度,得到函数y=cos2(x+)=cos(2x+)=sin(2x+)的图象,即曲线C2,
故选D.
点睛:三角函数的图象变换,提倡“先平移,后伸缩”,但“先伸缩,后平移”也常出现在题目中,所以也必须熟练掌握.无论是哪种变形,切记每一个变换总是对字母而言. 函数是奇函数;函数是偶函数;函数是奇函数;函数是偶函数.
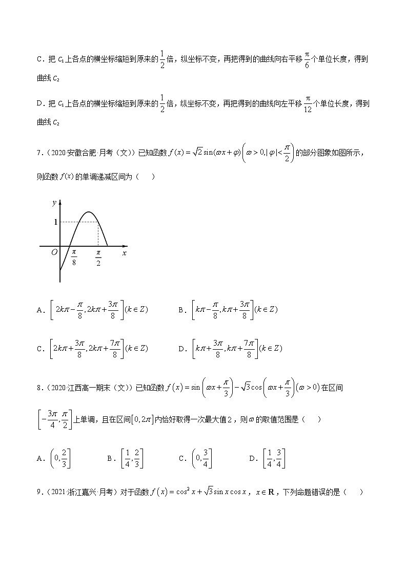
7.(2020·安徽合肥·月考(文))已知函数的部分图象如图所示,则函数的单调递减区间为( )
A. B.
C. D.
【答案】D
【解析】
【分析】
由图可知,,,从而可求出,,进而由可求得答案
【详解】
解:由图可知,,
所以,,或,
因为,所以,所以,
因为,所以,
所以,,或
因为,所以,
所以,
由,
解得,
所以的单调递减区间为,
故选:D
【点睛】
此题考查由三角函数的部分图像求解析式,考查三角函数的图像和性质,属于中档题
8.(2020·江西高一期末(文))已知函数在区间上单调,且在区间内恰好取得一次最大值,则的取值范围是( )
A. B. C. D.
【答案】B
【解析】
【分析】
化简函数的解析式为,结合函数的单调性与最值可得出关于实数的不等式组,进而可求得实数的取值范围.
【详解】
,
由于函数在区间上单调,当时,,
,且正弦函数在附近单调递增,
所以,函数在上单调递增,则,
所以,,解得.
当时,,
由于函数在区间内恰好取得一次最大值,
所以,,解得.
综上所述,实数的取值范围是.
故选:B.
【点睛】
本题考查利用函数在区间上的单调性与最值求参数,考查分析问题和解决问题的能力,属于中等题.
9.(2021·浙江嘉兴·月考)对于函数,,下列命题错误的是( )
A.函数的最大值是
B.不存在,使得
C.函数在上单调递减
D.存在,使得恒成立
【答案】B
【解析】
【分析】
先化简得,由三角函数的性质逐个分析判断即可
【详解】
解:,
对于A,因为,所以的最大值为1,所以函数的最大值是,所以A正确;
对于B,由,可得,所以,所以,所以存在,使得,所以B错误;
对于C,由,得,可得在上单调递减,所以函数在上单调递减,所以C正确;
对于D,由得,,所以,
所以,得,
当时,,所以D正确,
故选:B
【点睛】
此题考查三角函数恒等变换的应用,考查三角函数的性质,属于中档题
10.(2020·江苏扬中市第二高级中学开学考试)已知函数在区间上单调递增,且在区间上有且仅有一解,则的取值范围是( )
A. B. C. D.
【答案】D
【解析】
【分析】
根据正弦型函数的单调增区间求得的单调增区间,由,解得,根据已知可得,且,计算可得结果.
【详解】
因为,
令,即,
所以函数的单调递增区间为,
又因为函数在上单调递增,
所以,得,且,
又因为,所以,
又在区间上有唯一的实数解,
所以,且,可得.
综上,.
故选:D.
【点睛】
本题考查正弦型函数的图象和性质,考查计算能力和逻辑推理能力,属于中档题.
11.(2020·瑞安市上海新纪元高级中学期末)已知函数,其中为实数,,若对恒成立,且,则的单调递增区间是( )
A. B.
C. D.
【答案】D
【解析】
【分析】
由对恒成立,结合函数最值的定义,可得等于函数的最大值或最小值,由此可以确定满足条件的初相角的值,结合,求出满足条件的具体的值,然后根据正弦型函数单调区间的求法,即可得到答案.
【详解】
若对恒成立,
则等于函数的最大值或最小值
即,
则,
又
即
令,此时,满足条件,
也符合题意,
利用诱导公式化简后,解析式都是
令,,
解得
故选:.
【点睛】
本题考查的知识点是函数的解析式与性质,其中根据已知条件求出满足条件的初相角的值,是解答本题的关键,属于中档题.
12.(2020·四川省内江市第六中学其他(理))已知函数在上最大值为且递增,则的最大值为( )
A. B. C. D.
【答案】D
【解析】
【分析】
利用正弦函数的单调性求得的最值,进而可得的最值.
【详解】
由题意可知,,,,,则,.
故选:D.
【点睛】
本题主要考查了正弦函数的图象和性质,不等式的解法,属于基础题.
13.(2020·上海浦东新·华师大二附中高一月考)已知函数,,若函数的所有零点依次记为,且,则( )
A. B. C. D.
【答案】C
【解析】
【分析】
由题意先求对称轴方程,在给定区间上有9条对称轴,由中点坐标公式可知x1+x2=×2,以此类推,最后两个零点加和等于对称轴的二倍,各式相加,就可得出答案.
【详解】
令=,可得,
即函数的对称轴方程为,
令,可得,所以函数在上有9条对称轴.
根据正弦函数的性质可知,,
(最后一条对称轴为函数的最大值点,应取前一条对应的对称轴),
将以上各式相加得,
故选:C.
【点睛】
本题考查函数零点和方程根的关系,考查正弦函数图像的性质和对称性的应用,属于中档题.
二、多选题
14.(2020·江苏江阴·开学考试)已知的最小正周期为,则下列说法正确的有( )
A.
B.函数在上为增函数
C.直线是函数图象的一条对称轴
D.是函数图象的一个对称中心
【答案】BD
【解析】
【分析】
首先化简函数,根据周期求,然后再判断三角函数的性质.
【详解】
,
,
,故A不正确;
当时, 是函数的单调递增区间,故B正确;
当时,,,所以不是函数的对称轴,故C不正确;、
当时,,,所以是函数的一个对称中心,故D正确.
故选:BD
【点睛】
本题考查三角函数的化简和三角函数的性质,本题的思路是整体代入的思想,属于基础题型.
15.(2020·湖南怀化·高一期末)某学生对函数进行研究后,得出如下结论,其中正确的是( )
A.函数是偶函数
B.函数在上单调递增
C.存在常数,使|对切实数x都成立
D.点是函数图象的一个对称中心
【答案】AC
【解析】
【分析】
根据奇偶函数的定义判断A,根据偶函数和单调性的关系判断B,根据函数的最值判断C,根据对称中心的性质判断D.
【详解】
对于A,函数,易知是偶函数,A正确.
对于B,由于是偶函数,因此在上不可能单调递增,B错;
对于C,取,成立,说明结论是正确的;
对于D,.故点不是函数图像的一个对称中心,D错
故选:AC
【点睛】
本题考查判断函数的性质,重点考查奇偶性,对称性,单调性,最值,属于中档题型.
16.(2020·广东韶关·高一期末)已知函数()在有且仅有3个零点,下列结论正确的是( )
A.函数的最小正周期
B.函数在上存在,,满足
C.函数在单调递增
D.的取值范围是
【答案】ABD
【解析】
【分析】
设在有且仅有3个零点,,,且.
A,最小正周期即可判断;
B,取,,满足,,即可判断;
D,结合正弦函数的零点,计算可得函数在轴右侧的前4个零点分别是,,,,再列出不等式,解之即可判断;
C,由选项D可知,可取,此时,比较和的大小即可判断.
【详解】
解:设在有且仅有3个零点,,,且,
对A,最小正周期,即A正确;
对B,在上存在,,满足,,所以可以成立,即B正确;
对D,令,,则函数的零点为,,
所以函数在轴右侧的前4个零点分别是,,,,
因为函数在有且仅有3个零点,所以,解得,即D正确;
对C,由D选项可知,,不妨取,此时,
所以,,即,并不满足在单调递增,即C错误.
故选:ABD.
【点睛】
本题考查三角函数的性质,结合正弦函数性质,只要把作为一个整体,与正弦函数对比即可得出相应性质.
第II卷(非选择题)
请点击修改第II卷的文字说明
三、填空题
17.(2018·上海市南洋模范中学月考)如图,四边形是菱形,,,扇形的半径为2,圆心角为,则图中阴影部分的面积是________.
【答案】
【解析】
【分析】
先求扇形的面积,再求扇形在四边形内面积,最后相减得结果.
【详解】
扇形的面积为,连接,设
因此
即扇形在四边形内面积等于内面积,即为,
因此图中阴影部分的面积是,
故答案为:
【点睛】
本题考查扇形面积公式,考查基本分析求解能力,属基础题.
18.(2020·江西省万载中学开学考试)已知,则的值为____________.
【答案】
【解析】
【分析】
由已知式求出,利用同角三角函数间的平方关系和商数关系,将化为,代入即可求值.
【详解】
,
,
则
.
故答案为:.
【点睛】
本题考查了同角三角函数间的平方关系和商数关系,正、余弦其次式的计算,二倍角的正弦公式,属于中档题.
19.(2020·梅河口市第五中学月考)对于,有如下命题:①若,则为等腰三角形;②,则为直角三角形;③若,则为钝角三角形,其中正确命题的序号是__________________.
【答案】③
【解析】
【分析】
利用三角函数的性质可得①②都是错误的,利用正弦定理和余弦定理可判断出③是正确的.
【详解】
对于①,因为,
所以或,,
因为,故或者,故为等腰三角形或直角三角形,
故①错.
对于②,因为,所以,
所以或,,
因为,故或者,
故可为钝角三角形,故②错.
因为,故,
由正弦定理得,
由余弦定理有,故为钝角,所以为钝角三角形,
故③正确.
综上,填③.
【点睛】
本题考查三角函数的性质、正弦定理和余弦定理定理的应用,属于基础题.
20.(2020·湖北荆门·高三期末(文))已知直线与曲线切于点,且直线与曲线交于点 ,若,则的值为________.
【答案】
【解析】
【分析】
由导数的几何意义求出切线方程,代入点坐标,由代入后可求得.
【详解】
由题意,∴直线的方程为,又直线过,
∴,由得,
∴,整理得,∴.
故答案为:.
【点睛】
本题考查导数的几何意义,考查同角间的三角函数关系与诱导公式.解题时只要由导数几何意义写出切线方程,代入已知条件即可求解.
21.(2020·上海浦东新·华师大二附中高一月考)函数的图象与其对称轴在轴右侧的交点从左到右依次记为在点列,中存在三个不同的点使得是等腰直角三角形,将满足上述条件的值从小到大组成的数列记为,则________.
【答案】
【解析】
【分析】
不妨设是以为顶点的等腰直角三角型,由的最值可得斜边,结合的周期性及对称性可知,进一步得到的表达式即可得到答案.
【详解】
不妨设是以为顶点的等腰直角三角型,由题意,①,作出两个简单的示意图,
由的周期性及对称性可知②,
由①②可得,即,所以,
所以.
故答案为:
【点睛】
本题考查正弦型函数的图象及性质的应用,考查学生的逻辑推理能力、数形结合思想,是一道中档题.
四、解答题
22.(2020·永州市第四中学月考)已知.试用k表示的值.
【答案】详见解析
【解析】
【分析】
首先利用切化弦化简为,分和两种情况,的值.
【详解】
,
,
当时,,此时,
当时,,此时.
【点睛】
本题考查三角恒等变换,重点考查分类讨论思想,转化变形,属于基础题型.
23.(2020·浙江课时练习)已知一扇形的圆心角为,所在圆的半径为R.
(1)若,,求扇形的弧长及该弧所在的弓形的面积;
(2)若扇形的周长为20 cm,当扇形的圆心角等于多少弧度时,这个扇形的面积最大?
【答案】(1),;(2).
【解析】
【分析】
(1)由公式算出弧长,弓形的面积等于扇形的面积减去三角形的面积
(2)由周长为定值可得出弧长和半径的关系,再把S用R表示出来,运用函数的知识即可求出最大值.
【详解】
(1)设扇形的弧长为l,弓形面积为S,则
,,,
.
(2)设扇形弧长为l,则,即,
∴扇形面积,
∴当时,S有最大值,此时,.
因此当时,这个扇形面积最大.
【点睛】
当周长C为定值时可得面积
当面积为定值时可得周长.
24.(2020·六盘山高级中学期末)已知,其中.
(1)求的值;
(2)求的值.
【答案】(1);(2).
【解析】
【分析】
(1)由已知利用同角三角函数基本关系式化简求解;
(2)由已知利用同角三角函数基本关系式可求,的值,进而根据两角和的余弦函数公式即可求解.
【详解】
(1)由于,其中,
所以;
(2)由于,其中,
可得:,,
.
【点睛】
本题主要考查利用同角三角函数基本关系式化简求值.
25.(2020·湖南省衡阳县第四中学月考)的内角的对边分别为,已知.
(1)求;
(2)若,面积为2,求.
【答案】(1);(2)2.
【解析】
试题分析:(1)利用三角形的内角和定理可知,再利用诱导公式化简,利用降幂公式化简,结合,求出;(2)由(1)可知,利用三角形面积公式求出,再利用余弦定理即可求出.
试题解析:(1),∴,∵,
∴,∴,∴;
(2)由(1)可知,
∵,∴,
∴,
∴.
26.(2020·江西省万载中学开学考试)已知,、、在同一个平面直角坐标系中的坐标分别为、、.
(1)若,求角的值;
(2)当时,求的值.
【答案】(1);(2)-.
【解析】
【分析】
(1)首先可以通过、、写出和,然后由向量的模的运算,将化简可得,最后通过即可得出角的值;
(2)由于,根据向量的数量积运算化简得到,再通过化简得到,最后利用同角三角函数关系以及二倍角的正弦公式进行化简,即可得到的值.
【详解】
解:(1)已知、、,
所以,,
因为,
所以,
化简得,即,
因为,所以;
(2)由可得,
化简得,,
所以
,
综上所述,.
【点睛】
本题考查三角函数的化简求值,考查平面向量的模和向量数量积的应用,以及同角三角函数关系和二倍角的正弦公式的应用,考查化简计算能力.
27.(2020·湖南郴州·期末)已知,且为第二象限角.
(1)求的值;
(2)求的值.
【答案】(1);(2).
【解析】
【分析】
(1)由平方关系求出,再由商数关系得;
(2)求值式分子分母同除以化为的代数式,代入值可得结论.
【详解】
解:(1)∵,且为第二象限角.
∴,
∴
(2)∵
∴.
【点睛】
本题考查同角间的三角函数关系,在用平方关系求三角函数值时需确定角的范围,从而确定函数值的正负,在遇到关于的齐次式求值时常常有弦化切法化为然后再求值.
28.(2020·甘肃省岷县第一中学高二月考)已知,是关于的方程 的两根,求的值.
【答案】
【解析】
【分析】
根据韦达定理求得sinα+cosα=-,sinαcosα=,平方后利用结合判别式求得的值,由+=代入的值即可求得结果.
【详解】
∵sinα、cosα是方程 8x2+6mx+2m+1=0的两根,
∴sinα+cosα=-,sinαcosα=.
∴(-)2-2×=1,整理得
9m2-8m-20=0,即(9m+10)(m-2)=0.
∴m=-或m=2.
又sinα、cosα为实根,
∴=36m2-32(2m+1)≥0.
即9m2-16m-8≥0,∴m=2不合题意,舍去.
故m=-.
∴+====.
【点睛】
本题主要考查同角三角函数的基本关系,意在考查学生的数学运算的学科素养,属基础题.
29.(2020·山西应县一中高一期中(理))已知,求下列各式的值.
(1);
(2).
【答案】(1);(2).
【解析】
【分析】
由已知求得,
(1)分式是关于的一次齐次式,分子分母同除以即可求值;
(2)利用可把待求式化为关于的二次齐次式,分子分母同除以即可求值.
【详解】
由,解得.
(1);
(2)
.
【点睛】
本题考查同角间的三角函数关系,关于的齐次式,一般都可化为的式子化简求值.关于的二次式可利用化为二次齐次式,然后再转化为的代数式.
30.(2020·广东期末)已知.
(1)化简;
(2)若是第三象限角,且,求.
【答案】(1);(2).
【解析】
【分析】
(1)利用正弦、余弦及正切的诱导公式将每一个式子进行化简,然后约分可得;
(2)由可得的值,再根据属于第三象限可求出的值,代入(1)中的结果即可得出答案.
【详解】
解:(1)由题意得.
故.
(2)因为,
所以.
又为第三象限角,
所以,
所以,
故答案为:.
【点睛】
本题考查三角函数诱导公式的运用,难度一般,解答时牢记口诀:“奇变偶不变,符号看象限”.
31.(2020·四川省泸县第一中学开学考试(文))已知函数,且.
(1)求的值;
(2)求的值.
【答案】(1);(2)-1.
【解析】
【分析】
(1)用诱导公式化简函数得,已知条件为,然后求值式利用弦化切法化为正切的函数,再求值;
(2)由“1”的代换得,然后分子分母同除以的函数再代入求值.
【详解】
(1)
∵,∴
(2)
.
【点睛】
本题考查诱导公式,考查同角间的三角函数关系,齐次式求值问题.关于的齐次分式均可化为关于的函数求值.
32.(2018·四川省绵阳江油中学开学考试(理))化简下列各式:
(1);
(2)已知终边上一点,且,求、.
【答案】(1);(2)当时,,;当时,,.
【解析】
【分析】
(1)直接利用诱导公式化简各因式,化简过程注意符号变化,进而可得结果.
(2) 由三角函数的定义可得,再根据三角函数定义得结果.
【详解】
(1)原式=
(2)由题意知,由三角函数定义得,
,解得.
当时,点,由三角函数的定义可得,;
当时,点,由三角函数的定义可得,.
综上所述,当时,,;当时,,.
【点睛】
本题主要考查诱导公式的应用,考查了三角函数的定义,属于基础.
33.(2019·陕西蓝田·期中)化简计算:
(1);
(2)设,求的值.
【答案】(1);(2).
【解析】
【分析】
(1)利用诱导公式及同角三角函数基本关系式即可化简得解;
(2)根据诱导公式化简,将代入可得结果.
【详解】
(1)原式;
(2),
所以.
【点睛】
本题主要考查了诱导公式及同角三角函数基本关系式的应用,属于中档题.
34.(2020·四川省绵阳江油中学高三开学考试(文))已知
(1)化简;
(2)若且求的值;
(3)求满足的的取值集合.
【答案】(1);(2);(3).
【解析】
【分析】
(1)利用诱导公式化简,即可求出;
(2)结合(1)得,利用同角三角函数的关系,结合的范围,即可得答案;
(3)由题意可得,利用三角函数的图像与性质,即可求得的范围.
【详解】
(1);
(2)由(1)可得,则,
,即
;
(3)由题意得,,
,即,
所以的取值集合为.
【点睛】
本题考查诱导公式的应用、同角三角函数的关系、三角函数的图像与性质,考查分析理解,求值化简的能力,考查学生对基础知识的掌握程度,属基础题.
35.(2020·河南项城市第三高级中学高一月考)已知是第三象限角, .
(1)化简;
(2)若,求的值;
(3)若,求的值.
【答案】(1);(2);(3)
【解析】
【分析】
(1)利用三角函数的诱导公式进行化简,即可得到答案;
(2)由诱导公式,化简得,进而利用三角函数的基本关系式,求得的值,即可求解;
(3)利用诱导公式,化简,即可求解,得到答案.
【详解】
(1)由题意,利用三角函数的诱导公式,
化简得.
(2)由诱导公式,得,且,
所以,
又因为是第三象限角,所以,
所以.
(3)因为,则
.
【点睛】
本题主要考查了三角函数的诱导公式的化简、求值问题,其中解答中熟记三角函数的诱导公式,合理准确运算是解答的关键,着重考查了推理与运算能力,属于基础题.
36.(2020·渭南市铁路自立中学月考)设,,函数.
(1)求函数的最小正周期;
(2)求函数的单调递增区间.
【答案】(1)最小正周期为;(2).
【解析】
【分析】
(1)利用三角函数的恒等变换化简函数的解析式为,由此求得它的周期.
(2)令,,求得的范围,即可求得函数的单调增区间.
【详解】
解:(1)∵,,且
所以
.
∴函数的最小正周期
(2)令
则
则
所以函数的增区间为
【点睛】
本题主要考查两个向量的数量积公式,三角函数的恒等变换及化简求值,三角函数的周期性和求法,求复合三角函数的增区间,属于中档题.
37.(2020·瑞安市上海新纪元高级中学期末)已知函数,,,.的部分图象,如图所示,、分别为该图象的最高点和最低点,点的坐标为.
(1)求的最小正周期及的值;
(2)若点的坐标为,,求的值;
(3)在(2)的条件下,若,求函数的值域.
【答案】(1)6,;(2);(3).
【解析】
【分析】
(1)由周期公式可求得的最小正周期,把点坐标代入即可求出的值;
(2)先求出向量,的坐标,根据已知代入即可求出的值.
(3)先判断在上递增,在上递减,利用单调性求最值可得结果.
【详解】
(1)利用公式可知:.
点的横坐标为1,,.
(2)的坐标为,
又点的坐标为,,.
又
即可求得:.
(3)在上递增,在上递减,所以,
【点睛】
本题主要考查了三角函数的图象、周期性单调性最值,考查了数量积表示两个向量的夹角,属于中档题.
38.(2020·上海浦东新·华师大二附中高一月考)已知满足,若其图像向左平移个单位后得到的函数为奇函数.
(1)求的解析式;
(2)在锐角中,角A、B、C的对边分别为a、b、c,且满足,求的取值范围.
【答案】(1);(2).
【解析】
【分析】
(1)根据周期求出,利用图象变换求出,即可求的解析式;
(2)由正弦定理得:,进而求出,用表示出,代入已知的等式,利用诱导公式及两角和的正弦函数公式化为一个角的正弦函数,根据的范围求出这个角的范围,由正弦函数的值域即可得到所求式子的取值范围.
【详解】
(1),可得,的周期为
,,
图像向左平移个单位可得,函数为奇函数
则,解得,又,
(2)即
化简得
∵,即
∵是锐角三角形, ,
∴,∴,∴,∴.
【点睛】
本题考查三角函数的性质,考查三角恒等变换的应用,考查正弦函数的奇偶性和值域,属于中档题.
专题七 三角函数的概念、图像和性质-2021届高三《新题速递•数学》9月刊(江苏专用 适用于高考复习): 这是一份专题七 三角函数的概念、图像和性质-2021届高三《新题速递•数学》9月刊(江苏专用 适用于高考复习),文件包含专题七三角函数的概念原卷版docx、专题七三角函数的概念解析版docx等2份试卷配套教学资源,其中试卷共84页, 欢迎下载使用。
专题三 函数的概念、图像和性质-2021届高三《新题速递•数学》10月刊(江苏专用 适用于高考复习): 这是一份专题三 函数的概念、图像和性质-2021届高三《新题速递•数学》10月刊(江苏专用 适用于高考复习),文件包含专题三函数的概念图像和性质原卷版docx、专题三函数的概念图像和性质解析版docx等2份试卷配套教学资源,其中试卷共55页, 欢迎下载使用。
专题三 函数的概念、图像和性质-2021届高三《新题速递•数学》11月刊(江苏专用 适用于高考复习): 这是一份专题三 函数的概念、图像和性质-2021届高三《新题速递•数学》11月刊(江苏专用 适用于高考复习),文件包含专题三函数的概念图像和性质原卷版docx、专题三函数的概念图像和性质解析版docx等2份试卷配套教学资源,其中试卷共56页, 欢迎下载使用。

