专题七 三角函数的概念、图像和性质-2021届高三《新题速递•数学》1月刊(江苏专用 适用于高考复习)
展开专题七 三角函数的概念、图像和性质
一、单选题
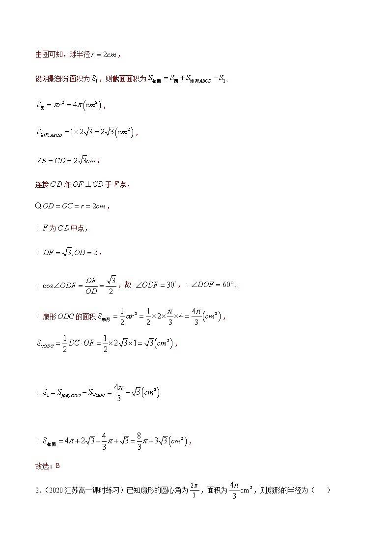
1.(2021·湖南株洲市·高三一模)某中学开展劳动实习,学生加工制作零件,零件的截面如图所示.图中的为矩形,弧为一段圆弧,其尺寸如图所示,则截面(图中阴影部分)的面积为( )
A. B.
C. D.
【答案】B
【分析】
根据圆、矩形、扇形、三角形的面积公式计算即可求解.
【详解】
如图,
由图可知,球半径,
设阴影部分面积为,则截面面积为,
,
,
,
连接,作于F点,
,
为中点,
,
,故 ,,
扇形的面积,
,
,
故选:B
2.(2020·江苏高一课时练习)已知扇形的圆心角为,面积为,则扇形的半径为( )
A. B. C. D.
【答案】C
【分析】
利用扇形的面积公式即可求解.
【详解】
设扇形的半径为,则扇形的面积,
解得:,
故选:C
3.(2021·安徽师范大学附属中学高一期末)已知角的始边与轴的正半轴重合,顶点在坐标原点,角终边上的一点到原点的距离为,若,则点的坐标为( )
A. B. C. D.
【答案】D
【分析】
根据三角函数定义:即可得出点的坐标.
【详解】
解:根据三角函数定义得,
所以点的坐标为.
故选:D.
【点睛】
利用三角函数定义解题的常见类型及方法:
(1)已知角终边上一点的坐标求三角函数值.先求出点到原点的距离,然后利用三角函数定义求解;
(2)已知角的终边与单位圆的交点坐标求三角函数值.可直接根据三角函数线求解;
(3)已知角的终边所在的直线方程求三角函数值.先设出终边上一点的坐标,求出此点到原点的距离,然后利用三角函数定义求解相关问题,同时注意分类讨论;
(4)判断三角函数值的符号问题.先判断角所在的象限,再根据各象限的符号规律判断.
4.(2020·江苏南京市·高一月考)已知角的终边经过点,且则实数的取值范围是( )
A. B. C. D.
【答案】C
【分析】
由题可判断的终边落在第二象限或y轴的正半轴上,列出不等式即可求解.
【详解】
的终边落在第二象限或y轴的正半轴上,
,解得.
故选:C.
5.(2020·长春市·吉林省实验高一月考)是角为第二或第三象限角的( )
A.充要条件 B.充分不必要条件
C.必要不充分条件 D.既不充分又不必要
【答案】A
【分析】
对角的终边的位置进行分类讨论,求出的等价条件,由此可得出结论.
【详解】
由题意可知,角的终边不在坐标轴上.
①若角为第一象限角,则,,则;
②若角为第二象限角,则,,则;
③若角为第三象限角,则,,则;
④若角为第四象限角,则,,则.
所以,当时,角为第二或第三象限角.
因此,是角为第二或第三象限角的充要条件.
故选:A.
6.(2020·全国高一课时练习)已知,则角α的终边与单位圆的交点坐标是( )
A. B. C. D.
【答案】D
【分析】
根据三角函数的定义,即可求得角的终边与单位圆的交点坐标.
【详解】
设交点坐标为,
根据三角函数的定义,可得,
所以角的终边与单位圆的交点坐标是.
故选:D.
7.(2020·全国高三月考(文))已知角的顶点在原点,始边与轴的非负半轴重合,终边过点,若函数,则( )
A.图象的对称轴为 B.图象的对称轴为
C.图象的对称中心为 D.图象的对称中心为
【答案】C
【分析】
根据三角函数定义可得,,代入
利用分离得出函数的对称中心.
【详解】
依题意,,,故,
故的图象为中心对称图形,其对称中心为
故选:C.
8.(2020·深圳市第二高级中学高二月考)若,则( )
A. B. C. D.
【答案】A
【分析】
利用诱导公式即可求解.
【详解】
,
故选:A
9.(2020·浙江高一期末)己知,,则的值为( )
A. B. C. D.
【答案】A
【分析】
利用诱导公式可求得的值,利用同角三角函数的基本关系以及诱导公式可求得所求代数式的值.
【详解】
由诱导公式可得,则,
,,因此,.
故选:A.
10.(2020·全国高一课时练习)已知,则等于( )
A.3 B.2 C.1 D.-1
【答案】A
【分析】
根据诱导公式,结合同角的三角函数关系式进行求解即可.
【详解】
.
故选:A
11.(2020·全国高一课时练习)已知,则( )
A. B. C. D.
【答案】B
【分析】
利用诱导公式将题干条件化简,即可得答案.
【详解】
由题意得:
故选:B.
12.(2020·天津和平区·高一期末)如图是函数的部分图象,则和的值分别为( )
A. B. C. D.
【答案】A
【分析】
根据图象由到是半个周期,即,可得到周期,从而可求出的值,再代入最高点计算可得的值.
【详解】
由题意可得,即,解得:,
又函数图象的一个最高点为,
,即,
解得:,即,
又,时,,
综上可知:,
故选:A
【点睛】
方法点睛:本题考查利用函数图象求函数解析式,求解析式的步骤:
(1)求,确定函数的最大值M和最小值m,则;
(2)求,确定函数的周期,则.
(3)求,代入法:把图象上的一个已知点代入(此时要注意该点在上升区间上还是在下降区间上)或把图象的最高点或最低点代入.
13.(2020·河北邯郸市·高三期末)已知函数的周期为,且,则的值与下列哪个函数值相等( )
A. B. C. D.
【答案】C
【分析】
利用换元法可得,由周期可求得,分别计算出各函数值即可判断.
【详解】
设,即 ,
由题意,得,解得,即,,
,,,,
.
故选:C.
14.(2020·浙江高一期末)对于函数,有以下四种说法:
①函数的最小值是
②图象的对称轴是直线
③图象的对称中心为
④函数在区间上单调递增.
其中正确的说法的个数是( )
A.1 B.2 C.3 D.4
【答案】B
【分析】
求出函数的最值,对称中心坐标,对称轴方程,以及函数的单调区间,即可判断正误.
【详解】
函数,
当时,即,函数取得最小值为,故①正确;
当时,即,函数的图象的对称轴是直线,故②错误;
当时,即,函数的图象的对称中心为,故③错误;
当,即,函数的递增区间为,
当时,的递增区间为,故④正确.
故选:B
【点睛】
关键点点睛:函数的递增区间转化为的递减区间.
15.(2020·江苏高一课时练习)函数的值域为( )
A.[0,1] B. C. D.
【答案】B
【分析】
根据自变量的范围,得到的范围,进一步得到答案.
【详解】
解:,,所以.
故选:B.
16.(2020·浙江高一期末)下列命题正确的是( )
A.函数是偶函数又是周期函数
B.函数是奇函数
C.函数的最小正周期是
D.函数是奇函数
【答案】B
【分析】
根据函数的奇偶性与周期性判断各个选项.
【详解】
是偶函数,但不是周期函数,A错误;
对函数,由得,,定义域关于原点对称,
,函数是奇函数,B正确;
的最小正周期是,C错误;
记,定义域是,,是偶函数,D错误.
故选:B.
【点睛】
关键点点睛:本题考查函数的奇偶性与周期性.判断奇偶性一般用奇偶性的定义进行判断.
的最小正周期是,的最小正周期是.
17.(2021·天津红桥区·高三期末)设函数,下列结论中错误的是( )
A.的一个周期为
B.的最大值为2
C.在区间上单调递减
D.的一个零点为
【答案】D
【分析】
根据解析式即可得出周期和最大值,即可判断AB;求出函数的单调递减区间即可判断C;将代入即可验证D.
【详解】
,
的一个周期为,故A正确;的最大值为2,故B正确;
令,解得,
的单调递减区间为,
,在区间上单调递减,故C正确;
,且,故D错误.
故选:D.
18.(2020·全国高一单元测试)已知函数的最小正周期为,若,且,则的最大值为( )
A. B. C. D.
【答案】C
【分析】
由三角恒等变换化简解析式,结合周期求出解析式,由得出,,从而结合求出且,再由余弦函数的性质得出的最大值、的最小值,从而得出的最大值.
【详解】
函数的最小正周期为
若,则
故且
故的最大值为,的最小值为
即的最大值为,的最小值为
则的最大值为
故选:C.
19.(2020·江苏高一课时练习)已知函数,函数有三个零点,则的取值范围是( )
A. B. C. D.
【答案】D
【分析】
根据题意做出函数在定义域内的图像,将函数零点转化成函数与函数图像交点问题,结合图形即可求解.
【详解】
解:根据题意画出函数的图象,如图所示:
函数有三个零点,等价于函数与函数有三个交点,
当直线位于直线与直线之间时,符合题意,
由图象可知:,,
所以,
故选:D.
【点睛】
根据函数零点的情况求参数有三种常用方法:
(1)直接法:直接根据题设条件构建关于参数的不等式,再通过解不等式确定参数范围;
(2)分离参数法:先将参数分离,转化成求函数值域问题加以解决;
(3)数形结合法:先对解析式变形,在同一平面直角坐标系中画出函数的图象,然后数形结合求解.
20.(2020·全国高一课时练习)若动直线与函数与的图象分别交于、两点,则的最大值为( )
A. B.1 C.2 D.3
【答案】C
【分析】
令,根据三角函数的图象和性质,即可得到结论.
【详解】
令
求的最大值即求函数的最大值
函数 的最大值为2
故选:C.
【点睛】
本题主要考查函数最值的求解,根据辅助角公式以及三角函数的图象和性质是解决本题的关键,属于基础题.
21.(2020·河津中学高三月考(文))已知函数,则下列关于函数的说法中,正确的是( )
A.将图象向左平移个单位可得到的图象
B.将图象向右平移个单位,所得图象关于对称
C.是函数的一条对称轴
D.最小正周期为
【答案】C
【分析】
根据图象的平移可得判断A; 根据图象的平移可得,再把代入可判断B;由 ,可判断C;由周期公式可判断D.
【详解】
A选项中向左平移个单位,得,错误;
B选项中向右平移个单位,得,,不关于对称,错误;
C选项中,,是函数的一条对称轴,正确;
D选项中,,最小正周期为,错误.
故选:C.
【点睛】
本题考查了的性质.有关三角函数的解答题,考查基础知识、基本技能和基本方法,且难度不大,主要考查以下四类问题;(1)与三角函数单调性有关的问题;(2)与三角函数图象有关的问题;(3)应用同角三角函数的基本关系和诱导公式求三角函数值及化简和等式证明的问题;(4)与周期有关的问题.
二、多选题
22.(2021·河北张家口市·高三期末)已知函数的部分图象如图所示,则( )
A.
B.
C.若,则
D.若,则
【答案】AC
【分析】
根据周期求出判断A,再由最大值点求出判断B,利用对称轴为判断CD.
【详解】
,A正确;
可得.
由图可知时函数取最大值,
所以因为,所以,B错误;
因为为图象的一条对称轴,
若,则,所以,C正确、D错误.
故选:AC.
【点睛】
方法点睛:已知三角函数的图象求解析式:利用最值求出 ,利用图象先求出周期,用周期公式求出,利用特殊点求出,正确求是解题的关键.
23.(2020·全国高一单元测试)函数部分图象如图所示,对不同x1,x2∈[a,b],若f(x1)=f(x2),有f(x1+x2),则( )
A.a+b=π B. C. D.
【答案】BCD
【分析】
结合函数的解析式和部分图象,易得得,再根据区间[a,b]中的对称轴为,结合x1,x2∈[a,b],若f(x1)=f(x2),易得x1+x2=a+b,然后由f(x1+x2)判断.
【详解】
因为函数,
所以函数的周期为,
由函数的图象得,故B正确;
由图象知A=2,则f(x)=2sin(2x+φ),
在区间[a,b]中的对称轴为,
因为f(x1+x2),且x1,x2也关于对称,
所以,即x1+x2=a+b,
所以f(a+b)=f(x1+x2),故A错误,D正确,
设,则 ,所以 ,即 ,
所以,即,
所以 ,解得,又,所以,故C正确;
故选:BCD.
【点睛】
关键点点睛:本题关键是函数的周期与函数的零点间距离的关系的应用.
第II卷(非选择题)
三、解答题
24.(2020·江苏高一课时练习)写出角的终边在下列位置时的集合.
(1)角α的终边在如图(1)所示的阴影中(包括边界);
(2)角α的终边在如图(2)所示的阴影中(包括边界).
【答案】(1);(2).
【分析】
(1)根据任意角的定义以及终边相同的角的表示,结合图形,可直接得出结果;
(2)根据任意角的定义以及终边相同的角的表示,结合图形,可直接得出结果.
【详解】
(1)角的终边在如图(1)所示的阴影中(包括边界),
角的集合为:
;
(2)角的终边在如图(2)所示的阴影中(包括边界).
角的集合为.
25.(2020·全国高一课时练习)已知扇形的周长为8cm,面积为4cm2,求扇形的圆心角.
【答案】2
【分析】
根据扇形的弧长面积公式列出式子即可求解.
【详解】
设扇形的圆心角为,所在圆的半径为.
则,解得.
扇形的圆心角为2.
26.(2020·浙江高一期末)(1)已知,求的值.
(2)已知,求的值.
【答案】(1)或1(2)
【分析】
(1)根据条件切化弦,利用同角三角函数的基本关系即可求解;
(2)由条件可求出,待求式可化为关于的式子,代入求解即可.
【详解】
(1),
或,
当时,
因为
所以,
解得,
当时,所以,
故的值为或1.
(2),
,
,
解得,
【点睛】
关键点点睛:利用平方差公式化简条件,提取公因式,
得到,因为,得出,根据含的齐次式,化为正切函数的式子,求解即可,属于中档题.
27.(2020·吉林油田第十一中学高三月考(文))已知,且为第三象限角.
(1)求的值;
(2)求的值.
【答案】(1);(2),.
【分析】
(1)将化为即可求出;
(2)由,即可求出.
【详解】
(1),
;
(2),即
,即,
为第三象限角,,.
28.(2021·安徽师范大学附属中学高一期末)已知,且,求的值.
【答案】.
【分析】
利用同角三角函数的基本关系可求得的值,再结合诱导公式可求得所求代数式的值.
【详解】
,,
又,,.
,
.
.
29.(2020·浙江高一期末)已知,其中.
(1)求的值;
(2)求的值.
【答案】(1);(2).
【分析】
(1)利用诱导公式可得出,根据题意可得出关于、的值,求出、的值,利用同角三角函数的商数关系可求得的值;
(2)将所求代数式变形为,在分式的分子和分母中同时除以,利用弦化切可求得所求代数式的值.
【详解】
(1),
由诱导公式可得,
,,由已知可得,解得,
因此,;
(2).
【点睛】
方法点睛:三角函数求值问题中已知,求关于、的代数式的值时,一般利用弦化切公式后直接代入的值,在关于、的齐次式中,常常利用弦化切的方程转化为含的代数式.
30.(2020·全国高一课时练习)求证:
【答案】证明见解析
【分析】
可选择从等式的右边开始向左边证,首先利用诱导公式、二倍角公式将分子化简,然后将分母中“1”化为,即可证得答案.
【详解】
证明:右边
左边
所以原等式成立.
【点睛】
利用三角恒等变换公式证明三角恒等式时,注意观察角度的和、差、倍数关系,注意观察式子的幂,函数名的关系,然后合理运用和差角公式、二倍角公式进行化简证明.
31.(2020·尤溪县第五中学高一期末)如图,在平面直角坐标系中,为单位圆上一点,射线OA绕点O按逆时针方向旋转后交单位圆于点B,点B的纵坐标y关于的函数为.
(1)求函数的解析式,并求;
(2)若,求的值.
【答案】(1),;(2).
【分析】
(1)由三角函数的定义得到,进而代入计算;
(2)由已知得,将所求利用诱导公式转化即得.
【详解】
解:(1)因为,
所以,
由三角函数定义,得.
所以.
(2)因为,所以,
所以
.
【点睛】
本题考査三角函数的定义,三角函数性质,诱导公式.考查运算求解能力,推理论证能力.考查转化与化归,数形结合等数学思想.
已知求时要将已知中的角作为整体不分离,观察所求中的角与已知中的角的关系,利用诱导公式直接转化是化简求值的常见类型.
32.(2021·浙江高一期末)已知函数.
(1)求函数的最小正周期;
(2)求函数的单调区间;
(3)求函数在的值域.
【答案】(1);(2)增区间:,减区间:;(3)
【分析】
(1)首先根据三角恒等变换得到,从而得到函数的周期;
(2)根据,解不等式得到函数的增区间,根据,解不等式即可得到函数的减区间.
(3)首先根据题意得到,从而得到,即可得到函数的值域.
【详解】
(1)
.
.
(2)因为,,
解得,.
函数的增区间为.
因为,
解得,.
函数的减区间为.
(3)因为,所以.
所以,.
33.(2020·江苏高一课时练习)求函数的对称轴,对称中心及单调区间.
【答案】对称轴;对称中心;
增区间为;
减区间为.
【分析】
利用整体代换法,根据余弦函数的对称性,单调性依次求解即可.
【详解】
解:函数,
令
,
对称轴,
令
,
对称中心,
令,
,
增区间为
令,
,
减区间为,
【点睛】
本题考查余弦性函数的性质,利用整体代换法求正弦型,余弦型,正切型三角函数的中心、对称轴、单调区间,利用整体代换法求解是常用的方法,在利用整体代换法求函数的单调区间时要注意的系数的正负对函数单调增减性的不同影响.
34.(2020·江苏高一课时练习)函数f(x)=sin(ωx+φ)(ω>0,0≤φ≤π)是R上的偶函数.
(1)求φ的值.
(2)若f(x)图象上的点关于M(π,0)对称.
①求ω满足的关系式;
②若f(x)在区间[0,]上是单调函数,求ω的值.
【答案】(1);(2)①,②或2.
【分析】
(1)根据,,以及0≤φ≤π可解得结果;
(2)①根据可求得结果;②根据,,求出且,验证时,在区间[0,]上是否单调即可得解.
【详解】
(1)因为函数f(x)=sin(ωx+φ)(ω>0,0≤φ≤π)是R上的偶函数,
所以,,
因为0≤φ≤π,所以,=;
(2)①由f(x)的图象关于点M对称,得,
所以,
又>0,所以=+kπ,,
∴,,
②由于,,
因为f(x)在区间[0,]上是单调函数,所以,即,
所以,所以且,
当k=0时,,f(x)=sin(x+)在[0,]上是减函数,满足题意;
当k=1时,,f(x)=sin(2x+)=cos2x,在[0,]上是减函数,满足题意;
当k=2时,ω=,f(x)=sin(x+)在[0,]上不是单调函数;
所以,综合得ω=或2.
【点睛】
关键点点睛:利用三角函数的奇偶性、对称性和单调性求解是解题关键.
35.(2020·江苏高一课时练习)已知函数.
(1)求f(x)的最小正周期;
(2)求f(x)的单调递增区间和单调递减区间;
(3)当,求f(x)值域.
【答案】(1);(2)单调递增区间为;单调递减区间为;(3).
【分析】
(1)由公式求周期;
(2)利用正弦函数的单调性求单调区间;
(3)求出的范围,然后结合正弦函数的性质得值域.
【详解】
解:(1)由解析式得ω=3,
则函数的最小周期.
(2)由,k∈Z,
所以,k∈Z,
即函数的单调递增区间为,k∈Z,
由k∈Z,
得,k∈Z,
即函数的单调递减区间为 ,k∈Z.
(3)当x∈[0,]时,,
则当3x+=时,函数f(x)取得最大值,此时f(x)=,
当3x+时,函数f(x)取得最小值,此时f(x)=,
即f(x)值域为.
【点睛】
关键点点睛:本题考查正弦型三角函数的性质.对于,最小正周期为,利用正弦函数的性质,把作为一个整体替换中的,可得的性质.
36.(2020·莆田第十五中学高三期中(理))已知函数的图象关于直线对称,且图象上相邻两个最高点的距离为.
(1)求和的值;
(2)当时,求函数的最大值和最小值.
【答案】(1),;(2),.
【分析】
(1)由图象上相邻两个最高点的距离为得的最小正周期,故,由函数图象关于直线对称得,,再结合范围得;
(2)由(1)得,进而得,再结合正弦函数的性质即可得答案.
【详解】
(1)因为的图象上相邻两个最高点的距离为,
所以的最小正周期,从而.
又因为的图象关于直线对称,所以,,
又,
所以.
综上,,.
(2)由(1)知.
当时,可知.
故当,即时,.
当,即时,.
【点睛】
本题解题的关键在于先根据得,进而结合正弦函数的性质,采用整体思想求解,考查运算求解能力,是中档题.
四、填空题
37.(2020·江苏高一课时练习)已知扇形的半径为4cm,圆心角为,则扇形面积为___cm2.
【答案】
【分析】
用扇形的面积公式即可.
【详解】
,
故答案为:.
【点睛】
此题考查扇形面积公式,属于基础题.
38.(2021·浙江高一期末)若满足,则的值为________.
【答案】
【分析】
由,求得,再由求解.
【详解】
因为,
所以,
所以,
故答案为:
39.(2020·浙江高一期末),,则_________.
【答案】
【分析】
将平方,求出的值,再利用弦化切即可求解.
【详解】
,
,
,
,
,
所以,
所以.
故答案为:
40.(2020·江苏高一课时练习)若角α的终边落在直线y=-x上,则的值等于________.
【答案】0
【分析】
先求出α=2kπ+或2kπ+,k∈Z,再分类讨论得解.
【详解】
因为角α的终边落在直线y=-x上,所以α=2kπ+或2kπ+,k∈Z,
当α=2kπ+,,即角α的终边在第二象限时,sinα>0,cosα<0;
所以
当α=2kπ+,,即角α的终边在第四象限时,sinα<0,cosα>0.
所以
综合得的值等于0.
故答案为:0
41.(2020·全国高一课时练习)化简:__.
【答案】
【分析】
利用诱导公式和同角三角函数的关系化简计算即可.
【详解】
.
故答案为:.
42.(2020·陕西宝鸡市·高三月考(理))已知函数,若函数的图象的任意一条对称轴与x轴的交点的横坐标都不在区间内,则的取值范围为______.
【答案】
【分析】
化简函数,令,求得,根据题意得出,即可求解.
【详解】
由题意,函数,
令,可得,
在y轴右边,且靠y轴最近的两条对称轴方程分别为,,
由最近两条对称轴之间的距离为,必有,可得,
可得,必有,可得,
所以的取值范围为.
故答案为:.
【点睛】
解答三角函数的图象与性质的基本方法:
1、根据已知条件化简得出三角函数的解析式为的形式;
2、熟练应用三角函数的图象与性质,结合数形结合法的思想研究函数的性质(如:单调性、奇偶性、对称性、周期性与最值等),进而加深理解函数的极值点、最值点、零点及有界性等概念与性质,但解答中主要角的范围的判定,防止错解.
43.(2020·江苏高一课时练习)求f(x)=的定义域___________.
【答案】
【分析】
将定义域问题转化为求,然后将看成一个整体,利用余弦函数的图象即可得到关于的不等式组,求解即可得到函数的定义域.
【详解】
解:要使函数有意义,则,即,
由余弦函数的图象得,,
解得,,
故函数的定义域是.
故答案为:.
【点睛】
本题主要考查利用余弦函数的图象解三角不等式,利用三角函数的图象求解关于的正余弦,正切的不等式,是十分重要的,一般的将看做一个整体,利用函数的图象与直线,利用数形结合方法求解.当然,本题还可以利用诱导公式转化为关于正弦的不等式求解,但此处采用一种通性通法来求解,更具有一般性.
五、双空题
44.(2020·江苏高一课时练习)如图,函数的图象与坐标轴交于点、、,直线交的图象于点,(坐标原点)为的重心,,则点的坐标为___,___.
【答案】
【分析】
设点、、,可知为的中点,利用重心的坐标公式可求得点的坐标,根据图象求出函数的最小正周期,可求得的值,再将点的坐标代入函数的解析式,结合可求得的值,进而可求得的值.
【详解】
设点、、,
由题意可知,为的中点,则,
由于(坐标原点)为的重心可得,解得,即点.
由图象可知,函数的最小正周期为,,
所以,,,
,可得,,解得,
.
故答案为:;.
【点睛】
方法点睛:根据三角函数的部分图象求函数解析式的方法:
(1)求、,;
(2)求出函数的最小正周期,进而得出;
(3)取特殊点代入函数可求得的值.
专题三 函数的概念、图像和性质-2021届高三《新题速递•数学》9月刊(江苏专用 适用于高考复习): 这是一份专题三 函数的概念、图像和性质-2021届高三《新题速递•数学》9月刊(江苏专用 适用于高考复习),文件包含专题三函数的概念图像和性质原卷版docx、专题三函数的概念图像和性质解析版docx等2份试卷配套教学资源,其中试卷共79页, 欢迎下载使用。
专题七 三角函数的概念、图像和性质-2021届高三《新题速递•数学》9月刊(江苏专用 适用于高考复习): 这是一份专题七 三角函数的概念、图像和性质-2021届高三《新题速递•数学》9月刊(江苏专用 适用于高考复习),文件包含专题七三角函数的概念原卷版docx、专题七三角函数的概念解析版docx等2份试卷配套教学资源,其中试卷共84页, 欢迎下载使用。
专题七 三角函数的概念、图像和性质-2021届高三《新题速递•数学》10月刊(江苏专用 适用于高考复习): 这是一份专题七 三角函数的概念、图像和性质-2021届高三《新题速递•数学》10月刊(江苏专用 适用于高考复习),文件包含专题七三角函数的概念原卷版docx、专题七三角函数的概念解析版docx等2份试卷配套教学资源,其中试卷共58页, 欢迎下载使用。

