






北师大版八年级上册7 二次根式教学演示ppt课件
展开积的算术平方根,等于算术平方根的积.商的算术平方根,等于算术平方根的商.
二次根式的性质是什么?用公式如何表示?
将公式等号的左边与右边对换,会得到什么样的公式呢?
二次根式的乘法法则和除法法则:
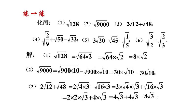
同样,二次根式也可以进行加减运算,这时,以前学习的实数的运算法则、运算律仍然适用.当然,如果运算结果中出现某些项,它们各自化简后的被开方数相同,那么应当将这些项合并.
初中数学北师大版八年级上册7 二次根式试讲课ppt课件: 这是一份初中数学北师大版八年级上册7 二次根式试讲课ppt课件,共28页。PPT课件主要包含了学习目标,导入新课,还记得吗,典例精析,例1计算,例2计算,例3计算,归纳总结,x2+4y,合作探究等内容,欢迎下载使用。
数学第二章 实数7 二次根式完美版ppt课件: 这是一份数学第二章 实数7 二次根式完美版ppt课件,共38页。PPT课件主要包含了学习目标,情景引入,复习引入,①根指数都为2,②被开方数为非负数,归纳总结,是否含二次根号,被开方数是不是非负数,二次根式,不是二次根式等内容,欢迎下载使用。
初中数学北师大版八年级上册第二章 实数7 二次根式图片ppt课件: 这是一份初中数学北师大版八年级上册第二章 实数7 二次根式图片ppt课件,共19页。PPT课件主要包含了例6计算,1直接求法,根据勾股定理可求得,则梯形ABCD的面积,=18,做一做,课本47页,作业布置,选讲内容,分母配上平方差公式等内容,欢迎下载使用。