搜索
    上传资料 赚现金
    (新)苏教版高中数学必修第一册学案:第4章 章末综合提升(含解析)
    立即下载
    加入资料篮
    (新)苏教版高中数学必修第一册学案:第4章 章末综合提升(含解析)01
    (新)苏教版高中数学必修第一册学案:第4章 章末综合提升(含解析)02
    (新)苏教版高中数学必修第一册学案:第4章 章末综合提升(含解析)03
    还剩4页未读, 继续阅读
    下载需要25学贝 1学贝=0.1元
    使用下载券免费下载
    加入资料篮
    立即下载

    苏教版 (2019)必修 第一册第4章 指数与对数本章综合与测试优质学案

    展开
    这是一份苏教版 (2019)必修 第一册第4章 指数与对数本章综合与测试优质学案,共7页。




    [巩固层·知识整合]





    [提升层·题型探究]


    指数幂运算的一般原则


    (1)有括号的先算括号里的,无括号的先做指数运算.


    (2)先乘除后加减,负指数幂化成正指数幂的倒数.


    (3)底数是负数,先确定符号,底数是小数,先化成分数,底数是带分数的,先化成假分数.


    (4)若是根式,应化为分数指数幂,尽可能用幂的形式表示,运用指数幂的运算性质来解答.





    [思路点拨] 按照指数的运算性质进行计算,但应注意乘法公式的应用.





    eq \([跟进训练])


    1.











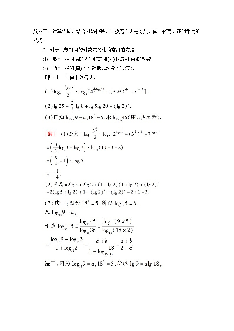
    1.对数的运算应遵循的原则


    对数运算首先注意公式应用过程中范围的变化,前后要等价,熟练地运用对数的三个运算性质并结合对数恒等式,换底公式是对数计算、化简、证明常用的技巧.


    2.对于底数相同的对数式的化简常用的方法


    (1)“收”,将同底的两对数的和(差)收成积(商)的对数.


    (2)“拆”,将积(商)的对数拆成对数的和(差).


    【例2】 计算下列各式:

















    eq \([跟进训练])


    3.计算下列各式:


    (1)eq \f(1,2)lg 25+lg 2+lgeq \r(10)+lg(0.01)-1;


    (2)2lg32-lg3eq \f(32,9)+lg38-3lg55.


    [解] (1)法一:原式=lg[25eq \s\up12(eq \f(1,2))×2×10eq \s\up12(eq \f(1,2))×(10-2)-1]


    =lg(5×2×10eq \s\up12(eq \f(1,2))×102)=lg 10eq \s\up12(eq \f(7,2))=eq \f(7,2).


    法二:原式=eq \f(1,2)lg 52+lg 2+eq \f(1,2)lg 10-lg 10-2


    =(lg 5+lg 2)+eq \f(1,2)-(-2)=lg 10+eq \f(1,2)+2


    =1+eq \f(1,2)+2=eq \f(7,2).


    (2)法一:原式=lg322+lg3(32×2-5)+lg323-3


    =lg3(22×32×2-5×23)-3=lg332-3=2-3=-1.


    法二:原式=2lg32-(5lg32-2)+3lg32-3=2-3=-1.





    对于带有附加条件的与对数式有关的求值问题,如果附加条件比较复杂,则需先对其进行变形、化简,并充分利用其最简结果解决问题.具体解决方法:(1)注意指数式与对数式的互化,有些需要将对数式化为指数式,而有些需要将指数式化为对数式;(2)注意换底公式与对数的运算性质的应用,解题时应全方位、多角度地思考,注意已知条件和所求式子的前后照应.


    【例3】 若lg a+lg b=4,lg a·lg b=eq \f(1,4),求lg(ab)·(lgab+lgba)的值.


    [解] lg(ab)·(lgab+lgba)=(lg a+lg b)eq \b\lc\(\rc\)(\a\vs4\al\c1(\f(lg b,lg a)+\f(lg a,lg b)))


    =(lg a+lg b)·eq \f(lg b2+lg a2,lg alg b)=(lg a+lg b)·eq \f(lg b+lg a2-2lg alg b,lg alg b)=4×eq \f(42-2×\f(1,4),\f(1,4))=248.


    eq \([跟进训练])


    4.若lgab+3lgba=eq \f(13,2),则用a表示b的式子是 .


    b=eq \r(a)或b=a6 [ 原式可化为eq \f(1,lgba)+3lgba=eq \f(13,2),


    整理得3(lgba)2+1-eq \f(13,2)lgba=0,即6(lgba)2-13lgba+2=0.


    解得lgba=2或lgba=eq \f(1,6),所以b2=a或beq \s\up12(eq \f(1,6))=a.即b=eq \r(a)或b=a6.]


    5.已知lg a+lg b=2lg(a-2b),求lg2eq \f(a,b)的值.


    [解] 因为lg a+lg b=2lg(a-2b),


    所以lg ab=lg(a-2b)2,


    ab=(a-2b)2,a2-5ab+4b2=0,


    即(a-b)(a-4b)=0,


    所以a=b或a=4b.


    又因为a-2b>0,


    所以a=4b,lg2eq \f(a,b)=lg24=2.





    解简单的指数和对数方程的三种方法


    (1)化同底:将指数方程变形为am=an⇔m=n.


    形如lgaM=lgaN(a>0,a≠1)的对数方程,等价转化为M=N,且eq \b\lc\{\rc\ (\a\vs4\al\c1(M>0,,N>0)) 求解.


    (2)定义法:解形如b=lgaM(a>0,a≠1)的方程时,常借助对数的定义等价转化为M=ab求解.


    (3)换元法:设t=ax(t=lgax),将方程转化为关于t的一元二次方程求出t,再解出x.


    【例4】 根据下列条件,分别求实数x的值:


    (1)lg2(2-x)=lg2(x-1)+1;


    (2)32x+1-6x=22x+2.


    [解] (1)原方程可化为lg2(2-x)=lg2[2(x-1)],得2-x=2(x-1),解得x=eq \f(4,3).经检验知,原方程的解为x=eq \f(4,3).


    (2)原方程可化为3×32x-2x×3x-4×22x=0,


    因式分解得(3×3x-4×2x)(3x+2x)=0,


    则3×3x-4×2x=0,即eq \b\lc\(\rc\)(\a\vs4\al\c1(\f(3,2)))eq \s\up12(x)=eq \f(4,3), 解得x=lgeq \s\d12(eq \f(3,2)) eq \f(4,3).


    eq \([跟进训练])


    6.解下列关于x的方程:


    (1)lgeq \r(x-1)=lg(x-1);


    (2)lg4(3-x)+lg0.25(3+x)=lg4(1-x)+lg0.25(2x+1).


    [解] (1)原方程等价于eq \b\lc\{\rc\ (\a\vs4\al\c1(\r(x-1)=x-1,x-1>0.)) 解之得x=2.


    经检验x=2是原方程的解,所以原方程的解为x=2.


    (2)原方程可化为lg4(3-x)-lg4(3+x)=lg4(1-x)-lg4(2x+1).


    即lg4eq \f(3-x,3+x)=lg4eq \f(1-x,2x+1).


    整理得eq \f(3-x,x+3)=eq \f(1-x,2x+1),解之得x=7或x=0.


    当x=7时,3-x<0,不满足真数大于0的条件,故舍去.x=0满足,


    所以原方程的解为x=0.


    指数的运算
    对数的运算
    利用对数的运算性质进行求值
    解简单的指数和对数方程
    相关学案

    高中数学苏教版 (2019)必修 第一册第2章 常用逻辑用语本章综合与测试精品学案设计: 这是一份高中数学苏教版 (2019)必修 第一册第2章 常用逻辑用语本章综合与测试精品学案设计,共5页。

    数学必修 第一册第1章 集合本章综合与测试优秀学案: 这是一份数学必修 第一册第1章 集合本章综合与测试优秀学案,共6页。

    苏教版 (2019)必修 第一册第5章 函数概念与性质本章综合与测试优秀导学案及答案: 这是一份苏教版 (2019)必修 第一册第5章 函数概念与性质本章综合与测试优秀导学案及答案,共8页。

    • 精品推荐
    • 所属专辑

    免费资料下载额度不足,请先充值

    每充值一元即可获得5份免费资料下载额度

    今日免费资料下载份数已用完,请明天再来。

    充值学贝或者加入云校通,全网资料任意下。

    提示

    您所在的“深圳市第一中学”云校通为试用账号,试用账号每位老师每日最多可下载 10 份资料 (今日还可下载 0 份),请取消部分资料后重试或选择从个人账户扣费下载。

    您所在的“深深圳市第一中学”云校通为试用账号,试用账号每位老师每日最多可下载10份资料,您的当日额度已用完,请明天再来,或选择从个人账户扣费下载。

    您所在的“深圳市第一中学”云校通余额已不足,请提醒校管理员续费或选择从个人账户扣费下载。

    重新选择
    明天再来
    个人账户下载
    下载确认
    您当前为教习网VIP用户,下载已享8.5折优惠
    您当前为云校通用户,下载免费
    下载需要:
    本次下载:免费
    账户余额:0 学贝
    首次下载后60天内可免费重复下载
    立即下载
    即将下载:资料
    资料售价:学贝 账户剩余:学贝
    选择教习网的4大理由
    • 更专业
      地区版本全覆盖, 同步最新教材, 公开课⾸选;1200+名校合作, 5600+⼀线名师供稿
    • 更丰富
      涵盖课件/教案/试卷/素材等各种教学资源;900万+优选资源 ⽇更新5000+
    • 更便捷
      课件/教案/试卷配套, 打包下载;手机/电脑随时随地浏览;⽆⽔印, 下载即可⽤
    • 真低价
      超⾼性价⽐, 让优质资源普惠更多师⽣
    VIP权益介绍
    • 充值学贝下载 本单免费 90%的用户选择
    • 扫码直接下载
    元开通VIP,立享充值加送10%学贝及全站85折下载
    您当前为VIP用户,已享全站下载85折优惠,充值学贝可获10%赠送
      充值到账1学贝=0.1元
      0学贝
      本次充值学贝
      0学贝
      VIP充值赠送
      0学贝
      下载消耗
      0学贝
      资料原价
      100学贝
      VIP下载优惠
      0学贝
      0学贝
      下载后剩余学贝永久有效
      0学贝
      • 微信
      • 支付宝
      支付:¥
      元开通VIP,立享充值加送10%学贝及全站85折下载
      您当前为VIP用户,已享全站下载85折优惠,充值学贝可获10%赠送
      扫码支付0直接下载
      • 微信
      • 支付宝
      微信扫码支付
      充值学贝下载,立省60% 充值学贝下载,本次下载免费
        下载成功

        Ctrl + Shift + J 查看文件保存位置

        若下载不成功,可重新下载,或查看 资料下载帮助

        本资源来自成套资源

        更多精品资料

        正在打包资料,请稍候…

        预计需要约10秒钟,请勿关闭页面

        服务器繁忙,打包失败

        请联系右侧的在线客服解决

        单次下载文件已超2GB,请分批下载

        请单份下载或分批下载

        支付后60天内可免费重复下载

        我知道了
        正在提交订单

        欢迎来到教习网

        • 900万优选资源,让备课更轻松
        • 600万优选试题,支持自由组卷
        • 高质量可编辑,日均更新2000+
        • 百万教师选择,专业更值得信赖
        微信扫码注册
        qrcode
        二维码已过期
        刷新

        微信扫码,快速注册

        还可免费领教师专享福利「樊登读书VIP」

        手机号注册
        手机号码

        手机号格式错误

        手机验证码 获取验证码

        手机验证码已经成功发送,5分钟内有效

        设置密码

        6-20个字符,数字、字母或符号

        注册即视为同意教习网「注册协议」「隐私条款」
        QQ注册
        手机号注册
        微信注册

        注册成功

        下载确认

        下载需要:0 张下载券

        账户可用:0 张下载券

        立即下载
        账户可用下载券不足,请取消部分资料或者使用学贝继续下载 学贝支付

        如何免费获得下载券?

        加入教习网教师福利群,群内会不定期免费赠送下载券及各种教学资源, 立即入群

        即将下载

        (新)苏教版高中数学必修第一册学案:第4章 章末综合提升(含解析)
        该资料来自成套资源,打包下载更省心 该专辑正在参与特惠活动,低至4折起
        [共10份]
        浏览全套
          立即下载(共1份)
          返回
          顶部
          Baidu
          map