- 初中数学青岛八下第6章测试卷 试卷 2 次下载
- 初中数学青岛八下第7章测试卷 试卷 3 次下载
- 初中数学青岛八下第8章测试卷 试卷 3 次下载
- 初中数学青岛八下第10章测试卷 试卷 7 次下载
- 初中数学青岛八下第11章测试卷 试卷 3 次下载
青岛版八年级下册第9章 二次根式综合与测试巩固练习
展开一、选择题
1.二次根式有意义,则x的取值范围是
A. x>2 B. x<2 C. x≥2 D. x≤2
2.下列二次根式中,属于最简二次根式的是( )
A. B. C. D.
3.若,则的取值范围是
A. B. C. =0 D.
4.下列计算正确的是( )
A. ; B. ;
C. ; D. .
5.二次根式、、、、、中,最简二次根式有( )
A.1 个 B.2 个 C.3 个 D.4个
6.下列各式中能与合并的是()
A、B、C、D、
7.若,则的值为( )
A.-1 B.1 C.5 D.6
8.计算÷×结果为( )
A.3 B.4 C.5 D.6
9.在下列各数:3.1415926;;0.2;;;;;中,无理数的个数( ).
A.2 B.3 C.4 D.5
10.下面计算正确的是( )
A. B. C. D.
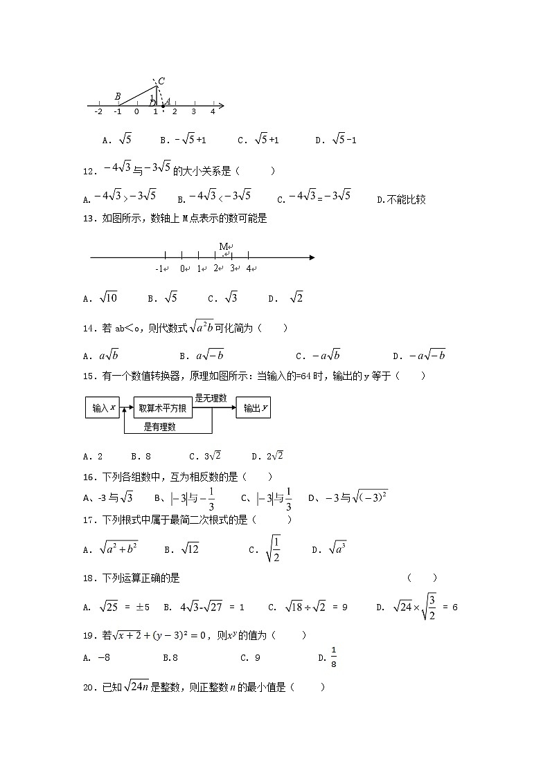
11.如下图,数轴上点A所表示的数是
A. B.-+1 C.+1 D.-1
12.与的大小关系是( )
A.> B.< C.= D.不能比较
13.如图所示,数轴上M点表示的数可能是
A. B. C. D.
14.若ab<,则代数式可化简为( )
A. B. C. D.
15.有一个数值转换器,原理如图所示:当输入的 QUOTE =64时,输出的y等于( )
A.2 B.8 C.3 QUOTE D.2 QUOTE
16.下列各组数中,互为相反数的是( )
A、-3与 B、 C、 D、与
17.下列根式中属于最简二次根式的是( )
A. B. C. D.
18.下列运算正确的是 ( )
A. = ±5 B. = 1 C. = 9 D. = 6
19.若 QUOTE \* MERGEFORMAT , 则 QUOTE \* MERGEFORMAT 的值为( )
A. QUOTE \* MERGEFORMAT B.8 C. 9 D. QUOTE \* MERGEFORMAT
20.已知是整数,则正整数的最小值是( )
A.4 B.5 C.6 D.2
二、填空题
21.计算---------
22.能使等式成立的x的取值范围是------
23.若a<1,化简-1等于----------------
24.把根式a根号外的a移到根号内,得 _________ .
25.当时,代数式的值是 .
三、解答题
26.阅读以下材料:观察下列等式,找找规律
①
②;
③
(1)化简:
(2)计算: ++
(3)计算: +++……+ (n≥2)
答案解析
1.C.
【解析】
试题分析:根据二次根式被开方数必须是非负数的条件,要使在实数范围内有意义,必须. 故选C.
考点:二次根式有意义的条件.
2.D.
【解析】
试题分析:最简二次根式必须满足以下两个条件:被开方数的每一个因数(或因式)的指数都小于根指数2,被开方数中不含有分母,满足这两个条件的只有选项D,故答案选D.
考点:最简二次根式.
3.D
【解析】,即a﹣3≥0,解得a≥3;故选B
4.B
【解析】解:,,不是同类二次根式,故选B。
5.C.
【解析】
试题分析:因为,被开方数含有分母,不是最简二次根式;
,被开方数含有小数,不是最简二次根式;
,被开方数含有能开得尽方的因式,不是最简二次根式;
所以,这三项都不是最简二次根式;
所以符合条件的最简二次根式有3个:、、;故选C.
考点:最简二次根式.
6.A
【解析】析:同类二次根式是化为最简二次根式后,被开方数相同的二次根式称为同类二次根式.把每个根式化简即可确定.
解答:解:A、=2与被开方数相同,故本选项正确;
B、=3 与被开方数不同,故本选项错误;
C、=2与被开方数不同,故本选项错误;
D、=3与被开方数不同,故本选项错误.
故选A.
7.A.
【解析】
试题分析:因为,可得, ,所以,则的值为-1,故选A.
考点:非负数的性质.
8.B
【解析】解:,故选B.
9.B
【解析】
试题分析:无理数即无限不循环小数,而,,所以无理数有3个,即:,,,故选
考点:无理数的定义.
10.B
【解析】A.C.不是同类项,不能相加减,B.,正确
D.=2,故此项错误
故选B
11.D
【解析】如图,BD=1-(-1)=2,CD=1,∴BC= ,∴BA=BC=,
∴AD=-2∴OA=1+-2=-1,∴点A表示的数为-1.故选D
12.A.
【解析】
试题分析:∵,
∴,
∴.
故选A.
考点:实数大小比较.
13.B
【解析】本题考查了实数与数轴的对应关系,以及估算无理数大小的能力. 先对四个选项中的无理数进行估算,再由p点所在的位置确定点M的取值范围,即可求出点P表示的可能数值.
解:设点M表示的实数为x,
由数轴可知,2<x<3,2<<3,3<<4,
符合题意的数为B.
故选B
14.C
【解析】由题意得,a<,b>0,所以=,故选C。
15.D
【解析】由图表得,64的算术平方根是8,8的算术平方根是2 QUOTE .故选D.
16.D
【解析】
试题分析:A、-3相反数为3. BC、;选D
考点:相反数
点评:本题难度较低,主要考查学生对实数相反数知识点的掌握。
17.A.
【解析】
试题分析:A.符合最简二次根式的定义,故此选项正确;
B.=,不符合最简二次根式的定义,故此选项错误;
C.,不符合最简二次根式的定义,故此选项错误;
D.∵有意义,∴,∴,不符合最简二次根式的定义,故此选项错误.
故选:A.
考点:最简二次根式.
18.D
【解析】A. =5,故此项错误;B. ==,故此项错误;
C. = =3,故此项错误;D. = ,故此项正确;
故选D
19.A.
【解析】
试题分析:根据题意得: ,解得: .所以.
故选A.
考点:非负数的性质.
20.C
【解析】是整数,所以
【解析】原式=-
22【解析】
试题分析:由题意可得,,解得x>2.
考点:1.二次根式的乘除法;2.二次根式有意义的条件.
23.【解析】
试题分析:∵
又a<1
∴原式=1-a-1=-a.
考点: 二次根式的化简.
24.﹣
【解析】
试题分析:根据二次根式的意义可知:有意义,
则﹣≥0,即a<0,因此,原式=﹣=﹣;
考点:二次根式
25.5
【解析】把代入=
26.(1) (2)1 (3)
【解析】(1)找出规律,直接利用规律解答即可.
(2)先利用规律分别求出各项的值,再相加即可.
(3) 找出规律,直接利用规律解答即可
初中数学青岛八下第10章测试卷: 这是一份初中数学青岛八下第10章测试卷,共6页。试卷主要包含了选择题,解答题等内容,欢迎下载使用。
初中数学青岛八下第8章测试卷: 这是一份初中数学青岛八下第8章测试卷,共6页。试卷主要包含了选择题,填空题,解答题等内容,欢迎下载使用。
初中数学青岛八下第6章测试卷: 这是一份初中数学青岛八下第6章测试卷,共9页。试卷主要包含了选择题,填空题,解答题等内容,欢迎下载使用。

