资料中包含下列文件,点击文件名可预览资料内容
还剩4页未读,
继续阅读
所属成套资源:2020高考数学真题/答案/解析_2020高考数学模拟卷
成套系列资料,整套一键下载
- 1号卷·A10联盟2020届高三开年考数学(文科)含解析 试卷 1 次下载
- 【文数】2020大庆实验高三5月一模 试卷 试卷 1 次下载
- 【文数】2020十五校【高三】联考 试卷 试卷 1 次下载
- 【文数】2020哈三中高三第二次(线上)模拟试卷 试卷 0 次下载
- 【文数】2020银川一中三模试卷+答案 试卷 0 次下载
- 天一大联考2020年高中毕业班阶段性检测四-文数 试卷 0 次下载
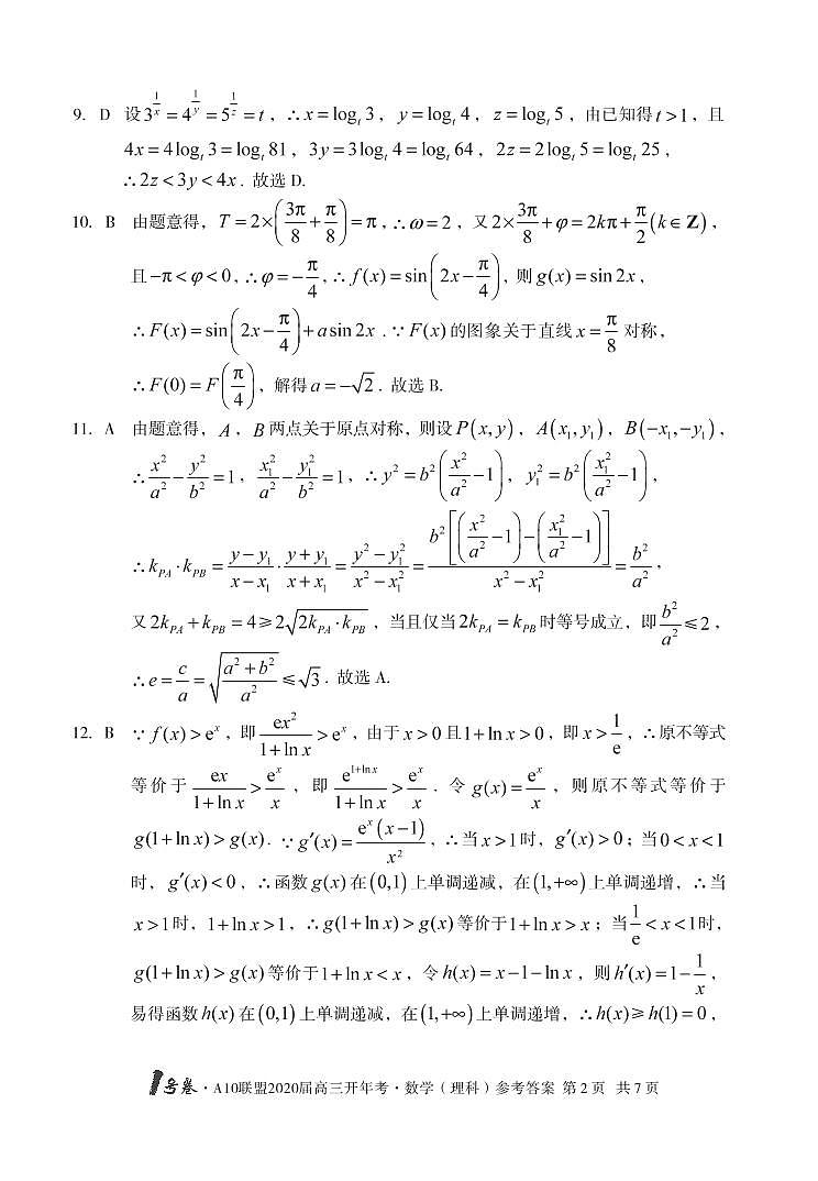
1号卷·A10联盟2020届高三开年考数学(理科)
展开相关资料
更多

