还剩3页未读,
继续阅读
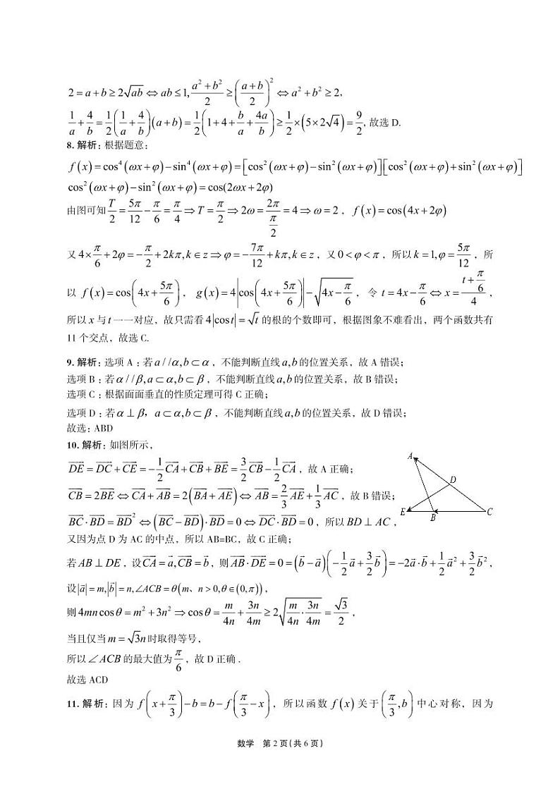
菁师联盟·河南省2023-2024学年高三上学期12月学情调研 数学答案
展开
这是一份菁师联盟·河南省2023-2024学年高三上学期12月学情调研 数学答案,共6页。
相关试卷
河南省菁师联盟2024届高三上学期8月联考数学试题(Word版附解析):
这是一份河南省菁师联盟2024届高三上学期8月联考数学试题(Word版附解析),共22页。
2024陕西省菁师联盟高三上学期12月质量监测考试数学(文)PDF版含答案:
这是一份2024陕西省菁师联盟高三上学期12月质量监测考试数学(文)PDF版含答案,共7页。
2024届陕西省菁师联盟高三上学期10月质量监测考试数学(文)试题含答案:
这是一份2024届陕西省菁师联盟高三上学期10月质量监测考试数学(文)试题含答案,共13页。试卷主要包含了单选题,填空题,解答题等内容,欢迎下载使用。

