所属成套资源:新教材(人教A版2019)高中数学选择性必修第一册 同步教学课件+同步练习
- 2.5 直线与圆、圆与圆的位置(第2课时)- 高二数学 同步教学课件+同步练习(人教版A版2019 选择性必修第一册) 课件 0 次下载
- 第二章:直线和圆的方程(单元测试卷)(人教版A版2019 选择性必修第一册) 试卷 0 次下载
- 3.1 椭圆(第2课时)- 高二数学 同步教学课件+同步练习(人教版A版2019 选择性必修第一册) 课件 0 次下载
- 3.2 双曲线(第1课时)- 高二数学 同步教学课件+同步练习(人教版A版2019 选择性必修第一册) 课件 0 次下载
- 3.2 双曲线(第2课时)(1)- 高二数学 同步教学课件+同步练习(人教版A版2019 选择性必修第一册) 课件 0 次下载
人教A版 (2019)选择性必修 第一册3.1 椭圆精品教学课件ppt
展开
这是一份人教A版 (2019)选择性必修 第一册3.1 椭圆精品教学课件ppt,文件包含31椭圆第1课时-高二数学同步教学课件人教版A版2019选择性必修第一册pptx、31椭圆第1课时提分练习含答案解析docx、31椭圆第1课时提分练习docx等3份课件配套教学资源,其中PPT共28页, 欢迎下载使用。
前面我们用坐标法研究了直线、圆及它们的位置关系.生产、生活中还有许多非常有用、有趣、我们还不太熟悉的曲线需要研究.
如图,用一个不垂直于圆锥的轴的平面截圆锥,当圆锥的轴与截面所成的角不同时,可以得到不同的截口曲线,它们分别是椭圆、抛物线和双曲线. 我们通常把椭圆、抛物线、双曲线统称为圆锥曲线.
同学们,若用数学的眼光去欣赏这个世界,就会发现生活中处处有椭圆:
思考1:如何绘制一个椭圆?它有怎么样的几何性质呢?
把细绳的两端拉开一段距离,笔尖移动的过程中,细绳的长度保持不变,即笔尖到两个定点的距离的和等于常数.
思考2:观察椭圆的形状,你认为怎样建立平面直角坐标系可能使所得的椭圆方程形式简单?
追问1:如何用坐标表示椭圆上点的所满足的条件?
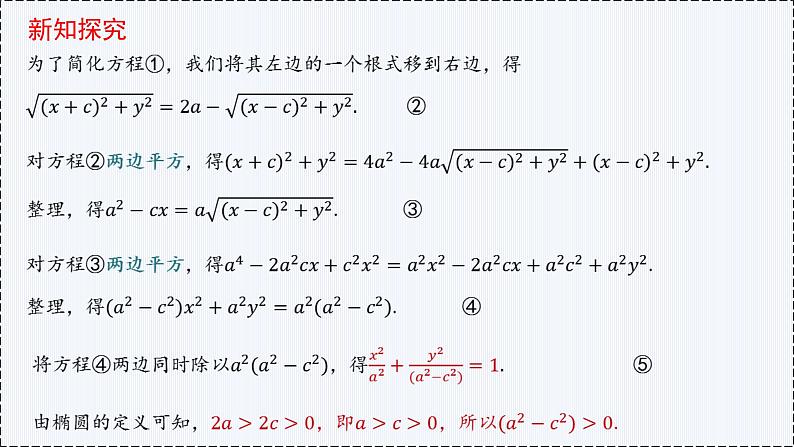
追问2:能否简化方程①呢?
(c,0)、(c,0)
(0,c)、(0,c)
分母哪个大,焦点就在哪一根坐标轴上
思考5:由例2我们发现,可以由圆通过“压缩”得到椭圆.你能通过“拉伸”得到椭圆吗?如何“拉伸”?由此你能发现椭圆与圆之间的关系吗?
相关课件
这是一份高中数学3.2 双曲线精品教学ppt课件,文件包含32双曲线第2课时1-高二数学同步教学课件人教版A版2019选择性必修第一册pptx、32双曲线第2课时2-高二数学同步教学课件人教版A版2019选择性必修第一册pptx、32双曲线第2课时提分练习含答案解析docx、32双曲线第2课时提分练习docx等4份课件配套教学资源,其中PPT共46页, 欢迎下载使用。
这是一份数学人教A版 (2019)3.2 双曲线精品教学ppt课件,文件包含32双曲线第1课时-高二数学同步教学课件人教版A版2019选择性必修第一册pptx、32双曲线第1课时提分练习含答案解析docx、32双曲线第1课时提分练习docx等3份课件配套教学资源,其中PPT共32页, 欢迎下载使用。
这是一份高中第三章 圆锥曲线的方程3.1 椭圆优质教学课件ppt,文件包含31椭圆第2课时2-高二数学同步教学课件人教版A版2019选择性必修第一册pptx、31椭圆第2课时1-高二数学同步教学课件人教版A版2019选择性必修第一册pptx、31椭圆第2课时提分练习含答案解析docx、31椭圆第2课时提分练习docx等4份课件配套教学资源,其中PPT共19页, 欢迎下载使用。

