湖南省岳阳市临湘市2024-2025学年高三上学期12月月考数学试卷(Word版附解析)
展开
这是一份湖南省岳阳市临湘市2024-2025学年高三上学期12月月考数学试卷(Word版附解析),文件包含湖南省岳阳市临湘市2024-2025学年高三上学期12月月考数学试题Word版含解析docx、湖南省岳阳市临湘市2024-2025学年高三上学期12月月考数学试题Word版无答案docx等2份试卷配套教学资源,其中试卷共34页, 欢迎下载使用。
1. 已知集合,,则( )
A. B. C. D.
【答案】A
【解析】
【分析】将集合化简,再由交集的运算,即可得到结果.
【详解】因为,则,解得,
则,所以.
故选:A
2. 已知为虚数单位,复数,则( )
A. B. C. D.
【答案】A
【解析】
【分析】根据复数除法运算化简,由复数模长运算可求得结果.
【详解】,
.
故选:A.
3. 已知空间中不过同一点的三条直线m,n,l,则“m,n,l在同一平面”是“m,n,l两两相交”的( )
A. 充分不必要条件B. 必要不充分条件
C. 充分必要条件D. 既不充分也不必要条件
【答案】B
【解析】
【分析】将两个条件相互推导,根据能否推导的结果判断充分必要条件.
【详解】依题意是空间不过同一点的三条直线,
当在同一平面时,可能,故不能得出两两相交.
当两两相交时,设,根据公理可知确定一个平面,而,根据公理可知,直线即,所以在同一平面.
综上所述,“在同一平面”是“两两相交”的必要不充分条件.
故选:B
【点睛】本小题主要考查充分、必要条件的判断,考查公理和公理的运用,属于中档题.
4. 已知直线和直线,则“”是“”的( )
A. 充分不必要条件B. 必要不充分条件
C. 充要条件D. 既不充分也不必要条件
【答案】A
【解析】
【分析】根据的充要条件求得或,再由充分条件、必要条件的概念得解.
【详解】若,则,解得或.
若,则直线,直线,可知;
若,则直线,直线,可知,
综上所述:或.
所以“”是“”的充分不必要条件.
故选:A
5. 如图,已知等腰中,,点是边上的动点,则的值( )
A. 为定值B. 不为定值,有最大值
C. 为定值D. 不为定值,有最小值
【答案】C
【解析】
【分析】先记的中点为,然后利用是等腰三角形,得到,再利用向量数量积的几何意义求解即可.
【详解】如图,记的中点为,由题可知,,
,,所以.
故选:C.
6. 已知数列中,,若,则( )
A. 4B. 5C. 6D. 7
【答案】B
【解析】
【分析】根据给定条件,利用等比数列定义求出,利用构造法求出,再列式求解即得.
【详解】在数列中,由,得数列是首项为2,公比为2的等比数列,,
则,即, 因此数列是以为首项,为公差的等差数列.
则,即,由,得,
所以.
故选:B
7. 在中,点满足,过点的直线与、所在的直线分别交于点、,若,,则的最小值为
A. B. C. D.
【答案】B
【解析】
【分析】由题意得出,再由,,可得出,由三点共线得出,将代数式与相乘,展开后利用基本不等式可求出的最小值.
【详解】如下图所示:
,即,,
,,,,
,、、三点共线,则
,
当且仅当时,等号成立,因此,的最小值为,故选:B.
【点睛】本题考查三点共线结论应用,同时也考查了利用基本不等式求和式的最小值,解题时要充分利用三点共线得出定值条件,考查运算求解能力,属于中等题.
8. 已知函数,,若,则的最小值为( )
A. B. C. D.
【答案】B
【解析】
【分析】结合题意构造函数,得到,表示出,再借助导数求出的最小值即可.
【详解】∵,,
∴,
令,
∴在上单调递增,
∴,即,
∴,
令,则,
当时,,单调递减;
当时,,单调递增;
∴,
∴的最小值为,
故选:B.
二、多选题(共4小题,每小题5分,共20分)
9. 设函数,则( )
A. 当时,有三个零点
B. 当时,无极值点
C. ,使在上是减函数
D. 图象对称中心的横坐标不变
【答案】BD
【解析】
【分析】利用导数求出函数的极大值判断A;由恒成立判断B;由的解集能否为判断C;求出图象的对称中心判断D.
【详解】对于A,当时,,求导得,
令得或,由,得或,由,
得,于是在,上单调递增,在上单调递减,
在处取得极大值,因此最多有一个零点,A错误;
对于B,,当时,,即恒成立,
函数在上单调递增,无极值点,B正确;
对于C,要使在上是减函数,则恒成立,
而不等式的解集不可能为,C错误;
对于D,由,
得图象对称中心坐标为,D正确.
故选:BD
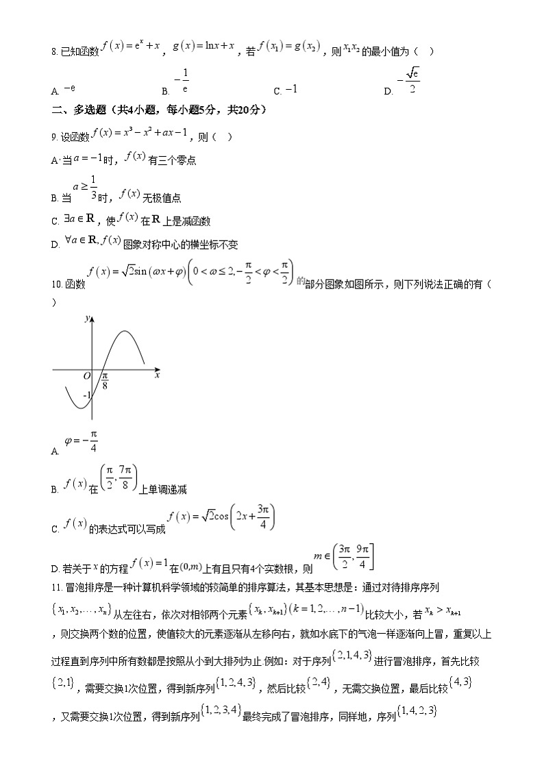
10. 函数的部分图象如图所示,则下列说法正确的有( )
A.
B. 上单调递减
C. 的表达式可以写成
D. 若关于的方程在上有且只有4个实数根,则
【答案】ABD
【解析】
【分析】根据函数图象过,,建立方程组求出的解析式,再根据正弦函数的图象和性质逐项判断即可.
【详解】由函数图象可知,,
因为在,附近单调递增,
所以,,,
又因为,所以,,
所以,A说法正确;
当时,,
所以由在单调递减可知在上单调递减,B说法正确;
因为,所以C说法错误;
令得,解得或,
方程在上有且只有4个实数根,从小到大依次为,
而第5个实数根为,所以,D说法正确;
故选:ABD
11. 冒泡排序是一种计算机科学领域的较简单的排序算法,其基本思想是:通过对待排序序列从左往右,依次对相邻两个元素比较大小,若,则交换两个数的位置,使值较大的元素逐渐从左移向右,就如水底下的气泡一样逐渐向上冒,重复以上过程直到序列中所有数都是按照从小到大排列为止.例如:对于序列进行冒泡排序,首先比较,需要交换1次位置,得到新序列,然后比较,无需交换位置,最后比较,又需要交换1次位置,得到新序列最终完成了冒泡排序,同样地,序列需要依次交换完成冒泡排序.因此,和均是交换2次的序列.现在对任一个包含个不等实数的序列进行冒泡排序,设在冒泡排序中序列需要交换的最大次数为,只需要交换1次的序列个数为,只需要交换2次的序列个数为,则( )
A. 序列是需要交换3次的序列B.
C. D.
【答案】BCD
【解析】
【分析】根据题意,不妨设序列的n个元素为,由题意可判断A中序列交换次数;再根据等差数列前项和公式即可判断B;得出只要交换1次的序列的特征即可判断C;利用累加法求出通项公式即可判断D.
【详解】对A,序列,比较,无需交换位置,比较,需要交换1次位置,得到新序
列,比较,无需交换位置,最后比较,需要交换1次位置,得到新序列,完成冒泡排序,共需要交换2次,故A错误;
对B,不妨设序列的n个元素为,交换次数最多的序列为,
将元素n冒泡到最右侧,需交换次次,
将元素n-1冒泡到最右侧,需交换次次,
,
故共需要,
即最大交换次数,故B正确;
对C,只要交换1次的序列是将中的任意相邻两个数字调换位置的序列,故有个这样的序列,即,故C正确;
对D,当n个元素的序列顺序确定后,将元素n+1添加进原序列,
使得新序列(共n+1个元素)交换次数也是2,
则元素n+1在新序列的位置只能是最后三个位置,
若元素n+1在新序列的最后一个位置,
则不会增加交换次数,故原序列交换次数为2(这样的序列有个),
若元素n+1在新序列的倒数第二个位置,则会增加1次交换,
故原序列交换次数为1(这样的序列有个),
若元素n+1在新序列的倒数第三个位置,
则会增加2次交换,故原序列交换次数为0(这样的序列有1个),
因此,,
所以,显然,
所以,故D正确.
故选:BCD.
【点睛】关键点点睛:在解与数列新定义相关的题目时,理解新定义是解决本题的关键.
12. 已知函数及其导函数的定义域均为,且为非常数函数,,为奇函数,则下列结论中正确的是( )
A. B.
C. D.
【答案】ABD
【解析】
【分析】由奇函数的性质得出的图象关于点中心对称,且,判断A,对求导,得出的对称性,从而判断B,由对称性得出周期性判断C,结合周期性求值判断D.
【详解】因为为奇函数,所以,即,即,
所以的图象关于点中心对称,且,故A正确;
由,两边求导,得,即.
由的图象关于点中心对称,得,因此,故B正确;
因为为函数的导函数,且,即,
所以,即,
所以的图象关于直线对称,
所以.又,
所以,所以的图象关于点中心对称,
,
,
所以是周期函数,4为它的一个周期,所以,故错误;
由,得.又,
所以3,所以,
所以,故D正确.
故选:ABD.
三、填空题(共4小题,每小题5分,共20分)
13. 已知复数满足,则______.
【答案】
【解析】
【分析】先根据复数的代数形式的除法求复数,再根据复数模的概念求.
【详解】由题意:.
所以.
故答案为:
14. 已知椭圆:,过左焦点作直线与圆:相切于点,与椭圆在第一象限的交点为,且,则椭圆离心率为______.
【答案】
【解析】
【分析】由题意利用直线与圆相切可得,再由余弦定理计算得出,利用椭圆定义即可得出离心率.
【详解】设椭圆右焦点为,连接,如下图所示:
由圆:可知圆心,半径;
显然,且,
因此可得,所以,可得;
即可得,又易知;
由余弦定理可得,
解得,
再由椭圆定义可得,即,
因此离心率.
故答案为:
15. 在中,,则的最大值为______.
【答案】##
【解析】
【分析】根据题意,利用向量的数量积的运算法则,两角和的正弦公式,以及正弦定理和三角形的内角和,化简得到,进而得到,再由两角差的正切,得到,结合基本不等式,即可求解.
【详解】因为,可得,
所以,可得,
由正弦定理得,
又因为,
所以,
所以,则,
因为为三角形的内角,所以,
由,
又因为,
当且仅当时,即时,等号成立,
所以.
故答案为:.
16. 英国生物统计学家高尔顿设计了高尔顿钉板来研究随机现象.如图是一个高尔顿钉板的设计图,每一黑点表示钉在板上的一颗钉子,它们彼此的距离均相等,上一层的每一颗钉子恰好位于下一层两颗打子的正中间,小球每次下落,将随机的向两边等概率的下落.数学课堂上,老师向学生们介绍了高尔顿钉板放学后,爱动脑的小明设计了一个不一样的“高尔顿钉板”,它使小球在从钉板上一层的两颗钉子之间落下后砸到下一层的钉子上时,向左下落的概率为向右下落的概率的2倍.当有大量的小球依次滚下时,最终都落入钉板下面的5个不同位置.若一个小球从正上方落下,经过5层钉板最终落到4号位置的概率是______.
【答案】
【解析】
【分析】向左下落的概率为向右下落的概率的2倍,所以向左下落的概率为,向右下落的概率为,由二项分布的性质计算概率即可.
【详解】因为向左下落的概率为向右下落的概率的2倍,所以向左下落的概率为,向右下落的概率为,
则下落的过程中向左一次,向右三次才能最终落到4号位置,
此时概率为:.
故答案为:.
四、解答题(共4小题,共70分)
17. 记内角,,的对边分别为,,,已知.
(1)求;
(2)若为等腰三角形且腰长为2,求的底边长.
【答案】(1)
(2)或
【解析】
【分析】(1)根据正弦定理边化角化简可得;
(2)分别讨论当为顶角和为底角时的底边长即可.
【小问1详解】
,由正弦定理得:
,∵
,
∵,
【小问2详解】
当为顶角,则底边,
,
当为底角,则该三角形内角分别为,,,则底边为
故的底边长为或.
18. 已知函数的导函数为,且.
(1)求函数在点处的切线方程;
(2)若对于任意的恒成立,求实数的取值范围.
【答案】(1)
(2)
【解析】
【分析】(1)求导,利用赋值法求得,求得解析式,进而可求得切线方程;
(2)法一,分,,三种情况分离变量,并求得最值求得的取值范围.法二,令,利用二次求导判断恒成立应满足的条件,进而求得的范围.
【小问1详解】
求导得,
令,则,
,即:.
【小问2详解】
方法一,,
①当时,左边右边,不等式显然成立.
②当时,
令
当时,在上单调递减
③当时,
令,当时,单调递减;
当时,单调递增.
综上:的取值范围为.
法二,令,,
令,所以恒成立,在上递增.
①若,即对
在单调递减,,
与矛盾,无解,舍去.
②若,即,
在上递增
.
故.
③若即:时,
使得,,即:
即:
,故
综上.
19. 设数列的前n项和为,已知,().
(1)求证:数列为等比数列;
(2)若数列满足:,.
① 求数列的通项公式;
② 是否存在正整数n,使得成立?若存在,求出所有n的值;若不存在,请说明理由.
【答案】(1)数列为等比数列,首项为1,公比为2.(2),
【解析】
【分析】(1)由题设的递推关系式,得到(),即可证得数列为等比数列.
(2)① 由(1)知,,化简得,则数列是首项为1,公差为1的等
差数列,即可求得.
②利用乘公比错位相减法,求得,进而得到,显然当 时,上式成立,设,由,所以数列单调递减,进而得到结论.
【详解】(1)解:由,得(),
两式相减,得,即().
因为,由,得,所以,
所以对任意都成立,
所以数列为等比数列,首项为1,公比为2.
(2)① 由(1)知,,
由,得,
即,即,
因为,所以数列是首项为1,公差为1的等差数列.
所以,
所以.
② 设,
则,
所以,
两式相减,
得 ,
所以.
由,得,即.
显然当时,上式成立,
设(),即.
因为,
所以数列单调递减,
所以只有唯一解,
所以存在唯一正整数,使得成立.
【点睛】点睛:本题主要考查等差、等比数列通项公式及求和公式、数列求和的“错位相减法”,此类题目是数列问题中的常见题型,对考生计算能力要求较高,解答中确定通项公式是基础,准确计算求和是关键,易错点是在“错位”之后求和时,弄错等比数列的项数.本题将数列与解析几何结合起来,适当增大了难度,能较好的考查考生的数形结合思想、逻辑思维能力及基本计算能力等.
20. 维向量是平面向量和空间向量的推广,对维向量,记,设集合.
(1)求,;
(2)(i)求中元素的个数;
(ii)记,求使得成立最大正整数.
【答案】(1),
(2)(i);(ii)
【解析】
【分析】(1)列举出所有可能的情况,根据可求得结果;
(2)(i)设中元素的个数为,根据定义可得递推关系式,结合等比数列求和公式可推导求得;
(ii)首先确定的必要条件为当时,,由此可得;验证当时充分性成立,从而得到结果.
【小问1详解】
,
当时,;当时,;当时,;当时,,
;
,
当时,;当时,;当时,;当时,;当时,;当时,;当时,;当时,,
.
【小问2详解】
(i)设中元素的个数为,
,,
为偶数时,,且,
,
中的元素个数为.
(ii)①当时,
;
②当时,
;
③当时,
;
;
要使得成立,其必要条件是当时,,
令,则,
数列为递增数列,又,,
的解为;
当时,,
即充分性成立;
使得成立的最大正整数.
【点睛】关键点点睛:本题考查数列与向量结合的新定义问题的求解,解题关键是能够根据的定义,确定为偶数时,,从而进一步确定递推关系式,将问题转化为数列问题来进行求解.
相关试卷
这是一份湖南省多校联考2024-2025学年高三上学期11月月考数学试卷(Word版附解析),文件包含湖南省多校联考2024-2025学年高三上学期11月月考数学试题Word版含解析docx、湖南省多校联考2024-2025学年高三上学期11月月考数学试题Word版无答案docx等2份试卷配套教学资源,其中试卷共24页, 欢迎下载使用。
这是一份湖南省岳阳市临湘市2024-2025学年高二上学期11月期中考试数学试卷(Word版附解析),文件包含湖南省岳阳市临湘市2024-2025学年高二上学期11月期中考试数学试题Word版含解析docx、湖南省岳阳市临湘市2024-2025学年高二上学期11月期中考试数学试题Word版无答案docx等2份试卷配套教学资源,其中试卷共29页, 欢迎下载使用。
这是一份湖南省长沙市雅礼中学2024-2025学年高三上学期月考(三)数学试卷(Word版附解析),共15页。试卷主要包含了选择题,填空题,解答题等内容,欢迎下载使用。

