湖南省岳阳市云溪区2024-2025学年高二上学期12月月考数学试卷(Word版附解析)
展开
这是一份湖南省岳阳市云溪区2024-2025学年高二上学期12月月考数学试卷(Word版附解析),文件包含湖南省岳阳市云溪区2024-2025学年高二上学期12月月考数学试题Word版含解析docx、湖南省岳阳市云溪区2024-2025学年高二上学期12月月考数学试题Word版无答案docx等2份试卷配套教学资源,其中试卷共29页, 欢迎下载使用。
1. 若平面,且平面的一个法向量为,则平面的法向量可以是( )
A. B. C. D.
【答案】A
【解析】
【分析】根据面面平行判断出,法向量互相平行即可求解.
【详解】若平面,
则两个平面法向量互相平行,
所以平面的法向量为,
所以当时,向量为,
故选:A.
2. 若方程表示双曲线,则实数的取值范围是( )
A. B.
C. D. 或
【答案】C
【解析】
【分析】利用双曲线方程的定义得到答案.
【详解】根据题意有,所以.
故选:C.
3. 已知正方体,点是上底面的中心,若,则等于( )
A. 2B. C. D.
【答案】C
【解析】
【分析】利用空间向量基本定理,结合正方体的结构特征求解作答.
【详解】正方体,点是上底面的中心,如图,
则,
不共面,又,于是得,
所以.
故选:C
4. 今有水平相当的棋手甲和棋手乙进行某项围棋比赛,胜者可获得48000元奖金.比赛规定下满五局,五局中获胜局数多者赢得比赛,比赛无平局,若比赛已进行三局,甲两胜一负,由于突发因素无法进行后面比赛,如何分配奖金最合理?( )
A. 甲24000元,乙24000元B. 甲32000元,乙16000元
C. 甲40000元,乙8000元D. 甲36000元,乙12000元
【答案】D
【解析】
【分析】根据甲乙两人最终获胜的概率即可按比例分配.
【详解】乙最终获胜的概率为,甲最终获胜的概率为,
所以甲乙两人按照分配奖金才比较合理,
所以甲元,乙元,
故选:D.
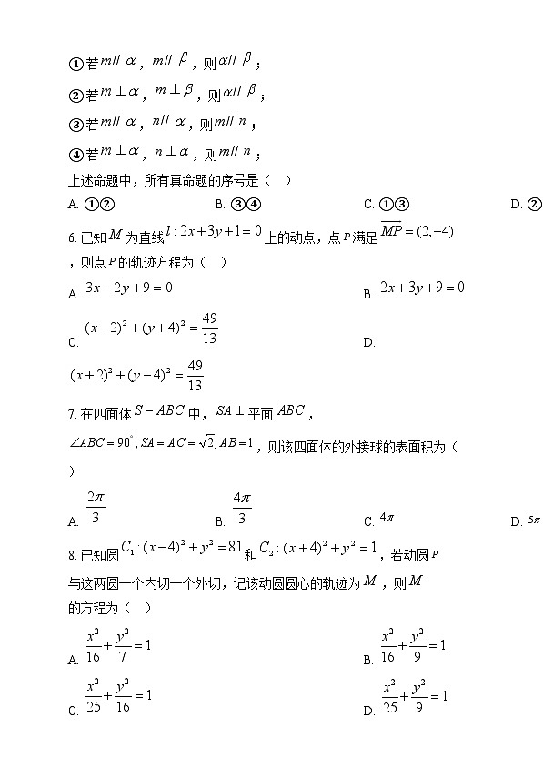
5. 设、为两条不同的直线,、为两个不同的平面,给出下列命题:
① 若,,则;
② 若,,则;
③ 若,,则;
④ 若,,则;
上述命题中,所有真命题的序号是( )
A. ①②B. ③④C. ①③D. ②④
【答案】D
【解析】
【分析】根据线线关系、线面关系、面面关系逐项判断可得答案
【详解】对于①,平面与平面也可能相交,故错误;对于②,根据垂直同一条的直线的两个平面平行得正确;
对于③,直线与直线可能相交,可能异面,故错误;对于④根据垂直同一平面的两条直线平行正确;
故答案为:D.
6. 已知为直线上的动点,点满足,则点的轨迹方程为( )
A. B.
C. D.
【答案】B
【解析】
【分析】根据给定条件,用点的坐标表示出点的坐标,再代入直线的方程化简即得.
【详解】设点,由,得点,又点在直线上,
因此,整理得,
所以点的轨迹方程为.
故选:B
7. 在四面体中,平面,,则该四面体的外接球的表面积为( )
A. B. C. D.
【答案】C
【解析】
【分析】
根据题目条件先确定出外接球的球心,得出外接球半径,然后计算表面积.
【详解】因为平面,平面,所以,
又,,且平面,平面,
所以平面,所以.
因为,
所以,,,
根据该几何体的特点可知,该四面体的外接球球心位于的中点,
则外接球半径,
故该四面体的外接球的表面积为.
故选:C.
,
【点睛】本题考查棱锥的外接球问题,难度一般,根据几何条件确定出球心是关键.
8. 已知圆和,若动圆与这两圆一个内切一个外切,记该动圆圆心的轨迹为,则的方程为( )
A. B.
C. D.
【答案】D
【解析】
【分析】利用圆与圆的位置关系及椭圆的定义可得P点轨迹为椭圆,进而求出轨迹方程.
【详解】圆和的圆心、半径分别为,
由,得点在圆内,设动圆半径为,
依题意,,,则,
因此P点的轨迹为以为焦点的椭圆,其中,即,
而圆内切于,切点在P点的轨迹上,此点可视为极限位置的点,
所以椭圆方程为.
故选:D
二、多选题(共4小题,每小题5分,共20分)
9. 若是空间的一个基底,则下列各组中能构成空间一个基底的是( )
A. B.
C. D.
【答案】ABD
【解析】
【分析】利用空间基底的定义以及空间向量共面定理依次判断可得结论.
【详解】由于是空间的一个基底,所以不共面,
对于A,向量分别与共线,所以不共面,能构成空间一个基底;
对于B,不存在实数满足,因此不共面,能构成空间一个基底;
对于C,由于,因此这三个向量是共面的,不能构成基底.
对于D,不存在实数满足,因此不共面,能构成空间一个
基底.
故选:ABD
10. 点在圆上,点在上,则( )
A. 两个圆的公切线有2条
B. 两个圆上任意一点关于直线的对称点仍在该圆上
C. 的取值范围为
D. 两个圆的公共弦所在直线的方程为
【答案】BC
【解析】
【分析】求出两圆圆心坐标和半径确定两圆位置判断AD;求出两圆公共的对称轴判断B;利用圆上点最值关系判断C正确..
【详解】圆的圆心,半径,圆的圆心,半径,
对于A,由,得圆外离,这两个圆有4条公切线,A错误;
对于B,直线方程为上,因此直线为两圆的公共对称轴,B正确;
对于C,,,则的取值范围为, C正确;
对于D,由圆外离,得圆不存在公共弦,D错误.
故选:BC
11. 柜子里有双不同鞋子,从中随机地取出只,下列计算结果正确的是( )
A. “取出的鞋成双”的概率等于
B. “取出的鞋都是左鞋”的概率等于
C. “取出的鞋都是左鞋或都是右鞋”的概率等于
D. “取出的鞋一只是左鞋,一只是右鞋,但不成双”的概率等于
【答案】BC
【解析】
【分析】用列举法列出事件的样本空间,即可直接对选项进行判断.
【详解】记双不同的鞋子按左右为,
随机取只的样本空间为
,共种,
则“取出的鞋成双”的概率等于,A错;
“取出的鞋都是左鞋”的概率等于,B正确;
“取出的鞋都是左鞋或都是右鞋”的概率等于,C正确;
“取出的鞋一只是左鞋,一只是右鞋,但不成双”的概率等于,D错.
故选:BC
12. 已知直线的方向向量,为直线上一点,若点P(1,0,2)为直线外一点,则P到直线上任意一点Q的距离可能为( )
A. 2B. C. D. 1
【答案】AB
【解析】
【分析】
首先求得,再求得的值,设出与的夹角为,利用向量数量积求得的值,进而求得的值,利用求得点到直线的距离,利用P到直线上任意一点Q的距离要大于等于,从而求得结果.
【详解】由题设条件可知,,
所以,
设与的夹角为,
则,
所以,
所以点到直线的距离为,
P到直线上任意一点Q的距离要大于等于,
故选:AB.
【点睛】该题考查的是有关空间距离问题,涉及到的知识点有利用向量解决点到直线的距离问题,属于简单题目.
三、填空题(共4小题,每小题5分,共20分)
13. 已知向量,,满足,则______.
【答案】6
【解析】
【分析】根据空间向量减法和数量积的坐标表示公式进行求解即可.
【详解】,∵,则,解得.
故答案为:6.
14. 唐代诗人李顾的诗《古从军行》开头两句说:“白日登山望烽火,黄昏饮马傍交河”,诗中隐含着一个有趣的数学问题——“将军饮马”问题,即将军在观望烽火之后从山脚下某处出发,先到河边饮马后再回到军营,怎样走才能使总路程最短?在平面直角坐标系中,设军营所在的位置为,若将军从山脚下的点处出发,河岸线所在直线方程为,则“将军饮马”的最短总路程为__________.
【答案】
【解析】
【分析】求出点关于直线对称点的坐标,再利用两点间距离公式计算得解.
【详解】设点关于对称点,则,解得,
即,所以“将军饮马”的最短总路程为.
故答案为:
15. 如图,边长为的正的中线与中位线相交于,已知是绕旋转过程中的一个图形,现给出下列命题,其中正确的命题有___________(只需填上正确命题的序号).
①动点在平面上的射影在线段上;
②三棱锥的体积有最大值;
③恒有平面平面;
④异面直线与不可能互相垂直;
⑤异面直线与所成角的取值范围是.
【答案】①②③⑤.
【解析】
【分析】由为正三角形可探讨过作面的垂线的垂足的位置在上,从而可以得到①②③,利用异面直线所成角的定义可知⑤的正确性,通过举反例否定④,即可得答案.
【详解】过作面,垂足为,
为正三角形且中线与中位线相交,
,.
又平面,
面 ,
面,∴面面,即平面平面,
且面面,在上,故①对,③对.
,
底面的面积是个定值,
当为时,即底面时,三棱锥的体积最大,故②正确.
由题意可知,故异面直线与所成角即为和的夹角,
结合图形知:和有可能垂直(当时),故它们的夹角范围为,
故异面直线与所成角的取值范围是,故⑤正确.
由于,故为异面直线与所成角或其补角,
而,故当时,,
即,即在是绕旋转的过程中,异面直线与可能互相垂直,故④不正确.
故答案为:①②③⑤
16. 已知抛物线的焦点为F,A为抛物线C上一点.以F为圆心,FA为半径的圆交抛物线C的准线于B,D两点,A,F,B三点共线,且,则______.
【答案】2
【解析】
【分析】求得抛物线的焦点和准线方程,由,,三点共线,推得,由三角形的中位线性质可得到准线的距离,可得的值.
【详解】抛物线的焦点为,,准线方程为,
因为,,三点共线,可得为圆的直径,如图示:设准线交x轴于E,
所以,则 ,
由抛物线的定义可得,
又是的中点,所以到准线的距离为,
故答案为:2.
四、解答题(共4小题,共70分)
17. 如图,在空间直角坐标系中有长方体,,,.求:
(1)向量,,的坐标;
(2),的坐标.
【答案】(1),,
(2),
【解析】
【分析】(1)先写出点的坐标,进而可得向量的坐标;
(2)利用向量的坐标运算加法和减法即可.
【小问1详解】
由已知,
则,,;
【小问2详解】
,
.
18. 在平面直角坐标系中,圆经过和点,且圆心在直线上.
(1)求圆的标准方程;
(2)若直线被圆截得弦长为,求实数的值
【答案】(1);
(2).
【解析】
【分析】(1)先求线段的垂直平分线所在直线的方程,进而求圆心和半径,即可得方程.
(2)由垂径定理可得圆心到直线的距离,利用点到直线的距离公式运算求解.
【小问1详解】
依题意,线段的中点,直线的斜率,
则线段的垂直平分线的方程为,由,解得,
因此圆的圆心,半径,
所以圆的方程为.
【小问2详解】
由直线被曲线截得弦长为,得圆心到直线的距离
因此,解得,
所以实数的值为.
19. 某校为选拔参加数学联赛的同学,先进行校内数学竞赛,为了解校内竞赛成绩,从所有学生中随机抽取200名学生,记录他们的首轮竞赛成绩,并作出频率分布直方图,根据图形,请回答下列问题:
(1)求频率分布直方图中a的值.若从成绩不低于70分的同学中,按分层抽样方法抽取12人的成绩,求12人中成绩不低于90分的人数.
(2)用样本估计总体,估计该校学生首轮数学竞赛成绩的平均数以及中位数.
(3)若甲、乙两位同学均进入第二轮的复赛,已知甲复赛获一等奖的概率为,乙复赛获一等奖的概率为,甲、乙是否获一等奖互不影响,求至少有一位同学复赛获一等奖的概率.
【答案】(1),12人中成绩不低于90分的人数为1;
(2)平均数约为分,中位数约为分;
(3).
【解析】
【分析】(1)根据频率分布直方图的频率和为1可求的值,再根据分层随机抽样可得12人中成绩不低于90分的人数;
(2)根据频率分布直方图及平均数与中位数的定义计算即可;
(3)根据相互独立事件的概率乘法公式及对立事件的概率公式即可求解.
【小问1详解】
由频率分布直方图可得,解得.
的频率为,的频率为,
的频率为,按分层抽样方法抽取12人的成绩,
则12人中成绩不低于90分人数为.
小问2详解】
该校学生首轮数学竞赛成绩的平均数为:
.
的频率为,
的频率为,
设中位数为,则,
则,解得,
故该校学生首轮数学竞赛成绩的平均数约为分,中位数约为分.
【小问3详解】
设“至少有一位同学复赛获一等奖”,
则,
故至少有一位同学复赛获一等奖的概率为.
20. 已知抛物线的焦点为为坐标原点,为抛物线上一点,且.
(1)求抛物线的方程;
(2)过焦点的直线与抛物线交于两点,若点在抛物线的准线上,且为等边三角形,求直线的斜率.
【答案】(1)
(2)
【解析】
【分析】(1)根据抛物线的定义得出,从而得出,,再由面积公式解出;
(2)讨论直线的斜率是否存在,设出其方程,并与抛物线方程联立,利用韦达定理以及中点坐标公式得
出的中点坐标,在由斜率公式得出点坐标,求出,,最后根据得出直线的斜率.
【小问1详解】
不妨设点在第一象限,因为,所以,则,
因为,所以
即抛物线的方程为
【小问2详解】
当直线的斜率不存在时,,要使得为等边三角形,则,但是,,不满足边长相等
当直线的斜率存在时,设直线的方程为:
由,化简得
则,
故线段的中点为
设,因为,所以,即
因为为等边三角形,所以
即,即,
相关试卷
这是一份湖南省岳阳市汨罗市第一中学2024-2025学年高二上学期12月月考数学试卷(Word版附解析),文件包含湖南省岳阳市汨罗市第一中学2024-2025学年高二上学期12月月考数学试题Word版含解析docx、湖南省岳阳市汨罗市第一中学2024-2025学年高二上学期12月月考数学试题Word版无答案docx等2份试卷配套教学资源,其中试卷共46页, 欢迎下载使用。
这是一份湖南省岳阳市临湘市2024-2025学年高一上学期12月月考数学试卷(Word版附解析),文件包含湖南省岳阳市临湘市2024-2025学年高一上学期12月月考数学试题Word版含解析docx、湖南省岳阳市临湘市2024-2025学年高一上学期12月月考数学试题Word版无答案docx等2份试卷配套教学资源,其中试卷共14页, 欢迎下载使用。
这是一份湖南省岳阳市临湘市2024-2025学年高二上学期12月月考数学试卷(Word版附解析),文件包含湖南省岳阳市临湘市2024-2025学年高二上学期12月月考数学试题Word版含解析docx、湖南省岳阳市临湘市2024-2025学年高二上学期12月月考数学试题Word版无答案docx等2份试卷配套教学资源,其中试卷共18页, 欢迎下载使用。

