


还剩13页未读,
继续阅读
河南省商丘市第一高级中学2023-2024学年高二(上)1月份半月考数学试卷(含解析)
展开
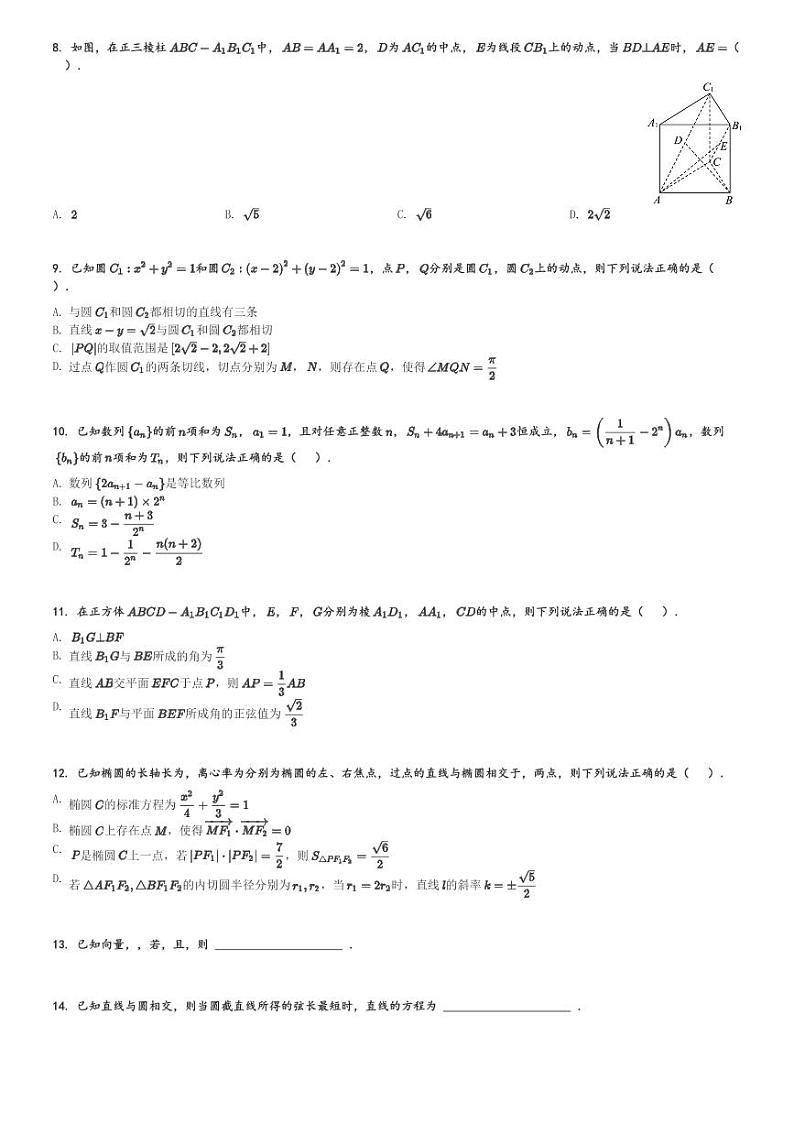
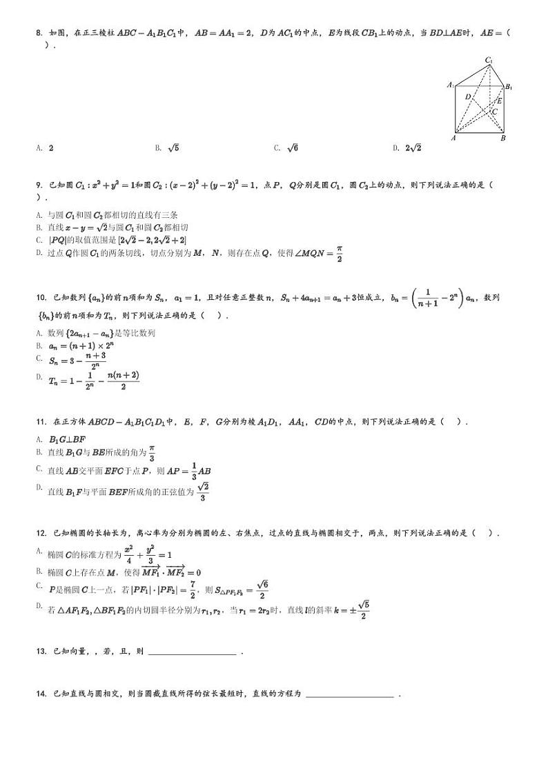
这是一份河南省商丘市第一高级中学2023-2024学年高二(上)1月份半月考数学试卷(含解析),共16页。
相关试卷
河南省漯河市高级中学2023-2024学年高二(上)1月月考数学试卷(含解析):
这是一份河南省漯河市高级中学2023-2024学年高二(上)1月月考数学试卷(含解析),共17页。
2024-2025学年河南省平顶山市叶县高级中学高二(上)月考数学试卷(9月份)(含解析):
这是一份2024-2025学年河南省平顶山市叶县高级中学高二(上)月考数学试卷(9月份)(含解析),共16页。试卷主要包含了单选题,多选题,填空题,解答题等内容,欢迎下载使用。
2024-2025学年河南省许昌高级中学高二(上)开学数学试卷(含解析):
这是一份2024-2025学年河南省许昌高级中学高二(上)开学数学试卷(含解析),共19页。试卷主要包含了单选题,多选题,填空题,解答题等内容,欢迎下载使用。
